实例说明如何计算和选择比例/伺服阀(转自 液压传动与控制)
2021年2月20日 22:06* 建议阅读时间:20分钟 *
在计算和选择比例/伺服阀时,首先需要了解以下基本信息。
1. 执行器类型:对称缸、差动缸或者液压马达
2. 机械设备对执行器的要求
执行器的尺寸
执行器的的最大动作速度
质量/负载大小
系统控制类型:位置控制、力控制或者速度控制
3. 可能的扰动以及工作环境等
在得到上述信息之后,比例/伺服阀的计算和选型基本可按如下五步来进行。
计算执行器所需的负载压力
计算比例/伺服阀上的压降
计算所需的最大流量
计算执行器的自然频率
查询样本选择合适的比例/伺服阀
现在,通过一个实例来说明如何完成上述的五步过程。
基本信息如下。
1. 执行器类型:如上图所示,假设为对称缸
2. 机械设备对油缸的要求(这些信息通常不是液压工程师确定的)
油缸尺寸:D=φ63mm / d=φ45mm / H=400mm
计算油缸活塞腔环形工作面积
A=3.14*(D2-d2)/4=1.53x10-3m2
负载要求的最大运动速度:Vmax=0.2m/s
负载M=900Kg,即F=9000N。为了理解与计算,简化为只有负载质量本身,无弹簧质量系统。
安装方式:油缸水平安装,伺服阀置于油缸缸体上。
下面,我们将通过五步法的原则来顺序进行
Step 1:计算执行器所需的负载压力
根据油缸的所受的负载和油缸活塞腔的环形面积,计算油缸活塞腔的负载压力:
P =F/A = 9000 / (1.53 x 10-3) ≈ 59 x 105Pa = 59bar ≈ 60bar
Step 2:计算比例/伺服上的压降
当负载压降为系统压力的2/3时,伺服液压控制系统的效率最高。据此原则,可计算得知伺服阀总压降约为30bar。
Step 3:计算执行器需要的最大流量
执行器所需的最大流量Q
Q = Vmax * A = 0.2 * (1.53 x 10-3)= 3.06 x 10-4m3/s = 18.4 L/min
Step 4:计算执行器的最大自然频率
我们认为所有液压油都是可以压缩的,其像弹簧一样工作。因此油缸可认为是液压弹簧-质量系统。等效图如下,油缸的负载假定只有质量部分的影响,没有考虑机械弹簧-质量系统的存在。
液压缸就像一个线性弹簧,其总刚度K等于各腔受压液体产生的液压弹簧刚度之和。当活塞处于中位时,体积V1 = V2 = V / 2,此时的总刚度为最小,频率最低,系统性能最差。
液压油缸固有角频率计算
式中:
K,液压弹簧刚度
m,油缸质量系统,考虑等效值,此处为900Kg
β,液压体积弹性模量,取值1.4x 109Pa
A,油缸活塞腔有效环形作用面积,此处为1.53x 10-3m2
V,油缸的总容积,V = A * H = 6.12 x 10-4 m3
液压缸自然频率计算
Step 5:选择合适的比例/伺服阀
选择伺服阀时,我们需要考虑所用的伺服阀是用在什么样的控制系统,是位置/速度控制,还是力/压力控制?或者两者有之?
如果是位置和速度控制,我们这样选择伺服阀:
伺服阀规格不宜过大,实际流量越接近额定流量越好
伺服阀的频宽应该在液压油缸自然频率的3倍以上。
尽量减少阀与油缸之间的油液堆积比如减少管路,从而提高液压缸刚度极其频率(参考刚度计算公式来理解),如可以把比例/伺服阀集成在油缸上。
如果是力/压力控制,我们这样选择伺服阀:
伺服阀规格不宜过大,实际流量越接近额定流量越好
伺服阀的频宽应该在液压油缸自然频率的3倍以上。如果频率更高,系统稳定更好,更有利于做闭环控制。
对于阀与油缸之间的油液容积多少没有严格限制。反而多一些,对控制更好。
选频率
基于上述原则,此处选择的伺服阀频率应该在:25 * 3 = 75Hz 以上,并按25%信号考虑(假定可以满足工作的大部分区域)。
选流量
根据前面的计算得知,阀的实际负载所需流量为:18.4L/min。
计算额定流量Qn(按额定压差70bar计算)
如果压差按10bar考虑(比例阀的话),则计算出来的额定流量Qn = 10.6 L/min。
选择伺服阀型号
根据上述关于频率和额定流量的计算,我们可以考虑选择的伺服阀为(可选择不同品牌和型号的,现假定为MOOG):D661-…G…A,额定流量为40L/min的伺服阀。如果是10%的电流幅值,频率可达约200Hz;如果是25%的电流幅值,频率可达约80Hz。相关的技术参数和伯德图可以查看样本获取,摘取部分如下。
当具体的阀选定之后,也可以反过来求通过阀的实际压差(如果希望至油缸的流量不变)或者实际流量(如果希望阀的压降不变)。这与是位置控制还是力控制有关。
结语
伺服阀的选择是一个平衡的过程,取决于你希望或者实际阀大部分时间在哪个给定区域工作。因此,可备选的阀可能不止一个,需要大家从技术与成本方面去权衡了。
上述的分析和计算也只是考虑了伺服阀的频率和额定流量。作为系统计算和选择来说,这是完全不够的。除此之外,还需考虑品牌、阀的先导控制类型、中位机能、响应时间、故障保险、输入信号、安装方式、工作环境、阀芯遮盖量、控制油与泄油方式、使能选择等等一系列的问题。此处不赘述了。
知识加点料
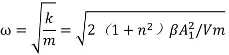
为了计算的方便,我们上述采用的是对称缸,如果是非对称缸,其固有频率(非质量弹簧负载时)
式中:
A1 :无杆腔作用面积
n:液压缸有杆腔与无杆腔有效面积比A2/A1。当n=1,即为对称缸
工程师必备
- 项目客服
- 培训客服
- 平台客服
TOP




















