【EDF开源CAE】TELEMAC-MASCARET在洪患和坝溃数值模拟中的应用
更新于2021年3月29日 13:48TELEMAC-MASCARET是法国电力集团(EDF)的法国国立水利与环境实验室开发的一款研究水动力学和水文学领域的高性能数值仿真开源软件。基于有限元法,使用不规则三角网格,让复杂的海岸线和河口的描绘更为精确。该软件可以构建1D,2D和3D水动力学模型以解决波浪传播, 波浪振动特性,水质污染,泥沙输运和海床形态变化等问题,拥有丰富的用户技术支持和广泛的工业应用及验证。
研究目的
本案例是采用TELEMAC 2D水力学模型模拟河流动力学中的两种主要风险类型:洪患和溃坝,并研究模型中不确定度的传播。不确定性的传播由TELEMACMASCARET SYSTEM的开源平台SALOME-HYDRO和TELAPY模块(PYTHON API)模拟完成。
不确定度
目前,大部分的参数是采用后验校准,如果因为缺乏数据而无法进行校准,那么将基于人为判断进行结果的验证,这将导致结果存在很大的不确定性。因此,不确定性量化是一种很有价值的决策工具,它可以确定结果的置信区间,判断结果是否符合设计要求。
不确定度量化的具体计算方法分为以下三个步骤:
定义模型、统计量以及对应的标准;
量化模型输入参数中不确定度的来源,这些不确定度将通过适当的概率分布来描述;
将输入的不确定度在模型中传播。
数值模拟
我们假设溃坝的发生周期为5000年,并假设支流的发生周期系数为10,即支流的溃坝周期为500年。建模过程中,我们在上游边界给定流量特性曲线(rating curve),下游边界给定排放量(discharge)。当模拟结果超过了基于专家判定的大坝稳定性阈值时,大坝状态被判断为发生溃坝事件。
在本研究中,我们关注的变量是最大自由表面海拔和最大水位(用于洪灾量化),关注的统计量为平均值、方差以及敏感度。
量化不确定性参数
不确定性参数的量化主要基于模型输入数据的类别:
流量参数
指三个支流的洪峰流量值。对于此模型,仅干流和其中一个支流的流量被认为是不确定的。它们的概率分布是截断的正态分布,其均值采用Schadex方法确定,干流和支流的方差分别为5%和25%。
Strickler系数
本文的模型分为5个具有不同Strickler系数的区域。所有系数符合均匀概率密度分布。我们根据文献值估算了这些分布的边界,如下表所示:
溃坝阈值
当模拟结果超过了大坝稳定性阈值时,大坝状态被判断为发生溃坝事件。大坝稳定性阈值的概率分布是截断的正态分布。
大坝流量特性曲线系数
用于评估流量特性曲线的方程中包括几个经验系数,这些系数是不确定的且遵循均匀分布。
灵敏度分析及不确定度传播
灵敏度分析和不确定度传播是使用C++/PYTHON中用于处理不确定性的OPENTURNS库实现的,其中的TELAPY模块可以方便地与TELEMAC 2D水力学模型耦合。
由于需要量化的不确定性参数数量巨大,我们采用Morris筛选方法进行测试以减小问题的维数。输入参数根据其影响可分为:
可忽略
线性不相关
非线性相关
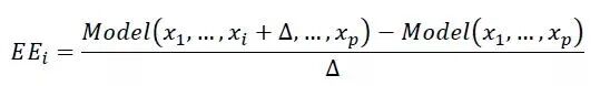
不确定性量化基于将一个样本因子在一个特定时间(OAT)在输入的物理空间中移动一个步长Δ,其基元效应使用下方公式进行量化。得到这些基元效应的绝对值的均值和标准差的过程即为灵敏度分析。
其中x1,...,xp为模型的不确定性因子,EEi为参数xi的基元效应。
我们采用经典的蒙特卡罗算法来计算不确定性的传播,来计算一些物理量的统计矩,例如最大水深和最大速度的均值和方差,这些统计矩将用于评估洪水产生的破坏程度。
数值模拟结果
将7200个蒙特卡洛模拟的最大液面高度的平均值进行可视化处理,结果如下图所示。
由于最后一个大坝的下游最容易受到破坏,因此我们只对最后一个大坝对下游的易损性进行数值模拟,使用FLOODRISK插件来模拟的易损性图如下图所示。
结论
在本文中,我们采用TELEMAC 2D水力学模型模拟了溃坝过程和不确定度的传播。模拟过程的主要困难在于,仿真次数和TELEMAC案例的计算时间之间的矛盾,这个困难是处理不确定性传播的概率模型所共有的,也是我们有待改进的地方。
TELEMAC-MASCARET软件进行泥沙输运仿真计算基础理论和仿真方法指导
TELEMAC-MASCARET软件进行水动力及泥沙输运耦合计算案例的上机实践
TELEMAC-MASCARET软件在工业领域的应用实例介绍
识别下方二维码可线上报名
更多资讯可登录格物CAE官方网站
远算在bilibili、技术邻、知乎定期发布课程视频等内容
敬请关注
工程师必备
- 项目客服
- 培训客服
- 平台客服
TOP




















