轴承的修正额定寿命
2021年6月21日 09:38继续上一次的话题.
我们在上一篇中之介绍了三个修正系数中的第一个。轴承的可靠性系数a1,今天我们来说说剩下两个修正系数a2和a3。
在上一篇文章中我们提到过,由于现代轴承的质量提高了很多,在某些应用中,轴承的实际工作寿命可能会高于其基本额定寿命;但是又因为污染,润滑选择的不合适,安装不正确等等原因,实际工作寿命又可能受到负面影响。
因此,国际标准组织在上世纪90年代就在轴承寿命中加入了一些修正系数,来补充基本额定寿命的不足。早期,这个修正系数被称作a23,后来某欧洲轴承制造商将其升级为以自己品牌命名的修正系数,直到现在很多的轴承使用者仍然在使用这样命名的系数。但是由于标准组织的原因,这个系数最后在被写入标准时被称作aISO,而且不同的轴承制造商也在更改在这个系数背后的定义。
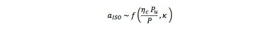
首先,我们看一下这个修正系数跟什么有关系。
从以上的这个方程里,我们可以看到,这个修正系数基本上涵盖了轴承在使用时会与之参与的各种因素。当然,载荷是最主要的,其次是润滑,然后是轴承所处的环境。
轴承的安装,是一个非常主观的因素。我们没有办法非常客观的在某一个公式里把这个因素考虑进去,因为不同的人,采用不同的安装方法,使用不同的安装工具,都会对轴承造成效果不一的影响。
因此,轴承的安装时一个非常需要技术的工作,我们需要通过统一的安装条件,更合适的安装设备,让轴承在安装过程不要受到任何的损害,把因为安装所导致的影响尽可能的放到最小。这部分的内容,如果大家有兴趣,我们可以在后面单独跟大家介绍。
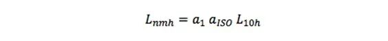
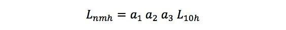
再跟大家明确一个概念,我们把上篇文章的公式:
改成如下的公式:
系数对修正寿命的影响是双向的,当润滑选的好,或者污染控制的好,也就是
的值大于1时,轴承的修正寿命是会高于额定寿命的,反之,当
小于1时,修正寿命则会低于额定寿命。
这也从理论的角度告诉我们,轴承的寿命不仅仅受到载荷大小的直观影响。当我们需要一个已经选择好大小的轴承更长时间的运行,或者能够运行到他的期望寿命时,合适的润滑和更整洁的环境时非常重要的。这个结论也跟我们在实际应用中的感受时一致的。
的理论计算是一个相对来说比较复杂的过程。根据轴承类型的不同,计算公式也不尽一样。因此,作为非轴承从业者来说,我们不需要取了解理论的计算公式是什么。各家轴承制造商已经为我们做好了计算,通过一个非常直观的表格做选择就可以了。
也就是说,对于一个给定的轴承,疲劳载荷极限是给定的,只要我们知道了载荷,选择好了润滑,定义了运行环境,我们可以简单的通过查表的方式得到这个轴承的修正系数。一般,这个表格都会在各轴承制造商轴承样本里。同样,您也可以在轴承标准中查到这个表格。
对于所有的轴承使用者来说,我们现在都知道对轴承的运行,润滑是一个相当大的影响因素,即使轴承选的再合适,一个不正确的润滑会让所有的轴承选型工作功亏一篑。
润滑的选择包括:润滑类型的选择,润滑机油粘度的选择,润滑皂基的选择,在选择过程中要考虑到轴承的类型、载荷、转速、温度、润滑是否方便等等一系列的因素。
这些如何选择,之前在《轴承问题终结者》的其他文章中已经有一些简单的介绍,如果大家感兴趣可以在历史消息中查找。如果大家对这个还想有更深入的了解,关于润滑我们后续会再开新的篇章。
在这个系数中,我们引入了一个全新的概念:粘度比。这里我不展开关于这个系数的具体意思,我们以后专门会给大家介绍。这里大家只需要记住如下的结论就好。
(kappa)粘度比指的是,轴承所选的“润滑剂在工作温度下的实际所需粘度“与“在工作温度下的参考粘度“的比值。如果采用的是脂润滑的方式,那么这里的润滑剂粘度指的就是润滑脂的基油粘度。
对于滚动轴承,在选择润滑剂的粘度时,值可以做为我们选择润滑剂时的一个参考标准。
在不同的轴承制造商的型录中,可以找到选择这个值的表格,如果大家对这个感兴趣,我们后续可以再给大家介绍如何根据kappa值选择合适的润滑剂。
污染修正系数考虑了润滑中污染物对额定寿命的影响,因为润滑剂中的固体颗粒会降低轴承的额定寿命,而且影响的程度与下列因素相关:
轴承的尺寸
颗粒的类型、尺寸、硬度和数量,
润滑油膜的相对厚度,
由于这些影响之间有比较复杂的相互作用,因此这个污染系数也只是一个相对近似的参考值。污染系数的取值范围在0.1到1之间,0.1代表极重度污染的情况,1表示极清洁的环境。根据不同的污染程度,这个取值的经验因素更重要。根据多年的轴承实际运行经验,不同的轴承制造上也给出了一些参考经验值,这个值同样可以从轴承的型录中获得。
轴承的极限疲劳在标准中规定的定义是指在实验室条件中,轴承在此载荷下运行不会发生疲劳。
这个值做为轴承的固有参数,一般会在轴承型录中的产品表中与额定静载荷和额定动载荷一起标注出来。
用一句简单的话来说,如果我们选择的轴承的实际运行载荷小于这个极限载荷的话,理论上轴承是可以永远运行下去而不产生金属材料疲劳的。
关于润滑,极限疲劳等一些列的概念,我们会在后续的文章中给大家穿插介绍。
--- END ---
工程师必备
- 项目客服
- 培训客服
- 平台客服
TOP




















