基于线性变参数系统的四轮转向自主地面车辆路径跟踪控制及实验验证
2021年9月2日 09:30来源 | 同济智能车研究所
编者按:近年来,随着汽车智能化技术的飞速发展,轨迹跟踪控制作为智能车辆的重点研究问题,成为国内外学者广泛关注的热点。四轮转向车辆可控自由度高,能有效改善车辆行驶的操纵性、稳定性及安全性,是汽车未来发展的重要方向之一。目前大多数的轨迹跟踪控制的研究集中于前轮转向的车辆上,而对四轮转向车辆的轨迹跟踪控制的关注较少。这篇文章提出了一种基于四轮转向自主地面车辆的路径跟踪控制方法,具有前瞻性的研究意义。
摘要:在本研究中,提出了一种新型四轮转向电动汽车作为自主地面车辆。本文的目的是研究四轮转向自主地面车辆智能驾驶的路径跟踪控制算法。在单轨模型的基础上,建立了用于轨迹跟踪控制器设计的轨迹跟踪模型。接着建立了线性变参数系统模型,使路径跟踪控制器能够适应不同的纵向速度和路面摩擦系数。再者,设计了一种用于路径跟踪的线性二次型调节器控制器,并进行了稳定性分析。为了消除干扰引起的误差,将前馈控制与线性二次型调节器控制器相结合。
为了验证所设计控制器的路径跟踪性能,基于在CarSim中建立的高保真整车模型进行了数值仿真。此外,还进行了实际道路试验。仿真和实验结果表明,所设计的控制器具有良好的路径跟踪性能。另外,路径跟踪控制器对不同的纵向速度和路面摩擦系数具有良好的鲁棒性。
关键词:四轮转向,自主地面车辆,路径跟踪,线性变参数系统
1 引言
近年来,随着各种交通问题(包括拥堵和事故)的增加,自主地面车辆(AGV)已成为研究的热点。AGV的研究主要集中在环境感知、规划决策和运动控制方面。运动控制是AGV的基本能力和首要任务,主要包括纵向运动控制和侧向运动控制。AGV的纵向运动控制可以描述为跟踪目标纵向速度1。AGV的侧向运动控制可以描述为路径跟踪控制,其目的是使AGV自动跟踪目标路径2。
AGV的路径跟踪控制问题可定义为最小化侧向偏移和航向误差3。各种控制算法已应用于路径跟踪控制,包括滑模控制(SMC)4-6、最优控制7,8、模糊控制9,10、模型预测控制(MPC)11-13、鲁棒控制14–16和智能控制17,18。然而,大多数路径跟踪控制算法是为前轮转向(FWS)的AGV设计的。与前轮转向的AGV相比,四轮转向(4WS)的AGV具有更多的运动控制自由度(DoF)。这表明4WS AGV具有更好的路径跟踪性能19。
基于逆推方法为4WS AGV设计了一种路径跟踪控制器,该控制器能够很好地跟踪具有锐边的轨迹和圆形轨迹20。为了处理系统不确定性,如转弯功率扰动、路径半径波动和侧风干扰,基于SMC为4WS车辆设计了自动的路径跟踪控制器,这也表明自动4WS控制器比FWS控制器具有更稳定和更精确的路径跟踪能力21。采用MPC和前馈控制设计了一种集成路径跟踪控制器,可显著提高车辆稳定性和对期望路径的跟踪性能22。尽管MPC路径跟踪控制器表现出良好的性能和鲁棒性,但它会带来大量的计算,并且难以在实际中使用普通硬件实现。为了减少车辆参数不确定性的影响,采用μ综合法为4WS AGV设计了鲁棒路径跟踪控制器23。为了减少计算量并使控制器更实用,线性二次调节器(LQR)、比例积分微分(PID)和模糊控制广泛应用于路径跟踪控制器的设计24–26。同时,采用遗传算法对控制器参数进行优化,使控制器更加具有自适应能力27,28。
由以上分析可知,所设计的控制器应具有良好的路径跟踪性能和自适应能力。此外,控制器还应具有很强的鲁棒性,以应对系统不确定性和外部干扰。事实上,我们已经使用H鲁棒控制和μ综合法设计了一些用于路径跟踪的鲁棒控制器算法2,29。为了提高对参数不确定性和干扰的鲁棒性,设计的鲁棒控制器的阶数通常非常高。使用普通车辆电子控制单元(ECU)进行测试很困难。为了满足上述性能要求,使控制器更加实用,本文采用线性变参数(LPV)系统和LQR算法,并结合前馈控制设计了4WS AGV的路径跟踪控制器。
文章的其余部分组织如下。在“4WS AGV的结构”一节中,介绍了4WS AGV的结构。在“4WS AGV控制器设计的建模”一节中,基于二自由度简化动力学模型,建立了4WS AGV的路径跟踪模型和LPV系统模型,用于路径跟踪控制器设计。在“路径跟踪控制器的设计”部分,使用线性二次调节器(LQR)和前馈控制设计了路径跟踪控制器,并分析了闭环控制系统的稳定性。在“仿真分析”部分和“实验验证”部分,进行了仿真和实验,以验证路径跟踪控制器的性能。最后,在“结论”部分总结了本文的工作。
2 4WS AGV的结构
图1显示了名为春晖ZX的4WS AGV原型车辆,从中可以看出,4WS AGV主要由四个线控转向(SBW)模块组成29。SBW模块集成了转向系统、驱动系统、制动系统和悬架系统。正是因为SBW模块,4WS AGV的每个车轮的转向角都可以独立控制。也就是说,4WS AGV具有更多的动态控制自由度。因此,4WS AGV的转向和运动模式比普通车辆更加多样化。这意味着4WS AGV可以在低速时通过前后轮反相转动来减小转弯半径以提高机动性。在高速行驶时,4WS AGV可通过主动后轮转向(ARS)实现零质心侧偏角和期望的横摆角速度,以提高操纵稳定性。为此,4WS AGV可被视为一种理想的AGV平台。
考虑到蓄电池重量占车辆质量的很大一部分,因此蓄电池在电动汽车中的位置对车辆稳定性有着重要影响。所有电池均均匀放置在座椅下。
图1 4WS AGV
对于路径跟踪控制,将全球定位系统(GPS)和惯性导航系统(INS)相结合的定位系统应用于4WS AGV。个人计算机(PC)用于监控和收集来自控制器局域网(CAN)的数据。所有的控制算法都下载到ECU并在ECU中运行。传感器、执行器和ECU之间的通信通过CAN总线实现,数据采集通过CAN工具进行。此外,4WS AGV的主要结构参数如表1所示。
表1 4WS AGV的结构参数
3 4WS AGV控制器设计的建模
A.简化动力学模型
在本节中,为控制器设计建立了4WS AGV的简化动力学模型。为此,忽略了俯仰和侧倾运动,仅考虑水平面上的侧向和横摆运动。假设4WS AGV的纵向速度为恒定值。因此,具有2个自由度的简化平面运动模型如图2所示。
图2 4WSAGV的平面运动模型
此外,四轮平面运动模型可以简化为两轮单轨模型,即图2中的蓝色模型。车身坐标系固定在4WS AGV的重心(CG)处。Fxi和Fyi(i=fl、fr、rl、rr、f、r)分别表示每个轮胎的纵向力和侧向力。vx和vy分别是纵向速度和侧向速度。β和r是质心侧偏角和横摆角速度。
两个模型中的转向角关系应满足Ackerman转向几何结构,可表示为以下2
其中δi(i=fl、fr、rl、rr、f、r)表示每个车轮的转向角。
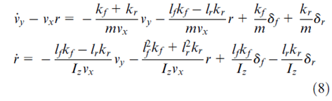
基于牛顿第二定律,4WS AGV的侧向动力学模型可推导如下
式中,ay表示4WS AGV重心处的侧向加速度。
此外,4WS AGV的横摆动力学模型可以表示为
假设高速时车轮的转向角非常小,则得出和
。因此,等式(2)和(3)可简化为
由于假设车轮的转向角在高速时非常小,因此可以认为轮胎侧偏角非常小。因此,可以得到轮胎侧向力与轮胎侧偏角之间的线性关系,可以表示为
其中,轮胎侧偏角定义为
将等式(6)和(7)代入(4)和(5)中,得到以下线性动力学模型:
B.路径跟踪模型
为了设计路径跟踪控制器,基于图2中的单轨模型,建立了四轮转向AGV的路径跟踪模型,如图3所示。除了车体坐标系xy,xdyd坐标系表示车辆在其目标路径上的方向,XY坐标系是大地坐标系。四轮转向AGV的路径跟踪问题可以描述为最小化偏航角误差和横向位置误差
。
图3 四轮转向AGV路径跟踪模型
偏航角误差可以表示为
其中是目标偏航角,它的导数可以写成2
其中Rd是目标路径的曲率半径。
在等式(9)的两边取一个关于时间的导数,得到
横向位置误差定义为从目标路径点P到x轴的垂直距离,其二阶导数可写成
其中ayd是目标横向加速度,可以表示为
此外,等式(12)可以重写为
由于纵向速度假定为常数,在积分方程(14)后,得出
基于上述方程,可以导出以下路径跟踪模型
此外,路径跟踪模型可以用状态空间的形式重写
其中状态向量,控制向量
,外部输入向量
,系数矩阵由下式给出
C.LPV系统模型
在路径跟踪模型中,纵向速度vx被视为恒定值,以获得用于路径跟踪控制器设计的线性模型。然而,vx不能保持不变,它必须是时变的。因此,所设计的控制器必须能适应vx的变化。此外,在路径跟踪模型中,轮胎侧偏刚度也被视为恒定值。众所周知,轮胎侧偏刚度主要受路面摩擦系数的影响。因此,所设计的控制器应具有抑制参数摄动的鲁棒性。为此,采用LPV系统使控制器获得优越的路径跟踪性能和鲁棒性。
在LPV系统模型中,轮胎侧偏刚度可视为一个可变参数,并可写成
其中kf0和kr0是前后轮胎的标称轮胎侧偏刚度,μ是路面摩擦系数。
根据方程(17)的结构,选择三个辅助时变参数为,
和
。变参数向量定义为
之后,控制器设计的LPV系统可以表示为
其中
矩阵的仿射模型可以写成
其中
考虑到(i=1,2,3),因此,变参数向量
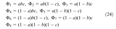
有八种组合形式
对于不同的参数变化向量(j=1,2,…8),等式(20)可以改写为
其中k表示最小值或最大值。可以发现,等式(21)是等式(20)对不同变参数向量的扩展。
此外,具有八个顶点的路径跟踪控制模型的LPV模型可以表示为
其中是八个顶点的权重。此外
为了简化,八个顶点的权重如下29
其中
在LPV模型中,μmin=0.25,μmax=1,vxmin=0,vxmax=20。
4 路径跟踪控制器的设计
图4显示了四轮转向AGV的控制系统结构。可以发现,控制系统主要由纵向运动控制和路径跟踪控制两部分组成。由于纵向运动控制不是本文的主要研究内容,这里就不介绍了,读者可以在之前的工作中看到1。本文主要关注路径跟踪算法设计。四轮转向AGV的目标路径信息和实际位置被设置为路径跟踪控制器的输入。然后,转向角和
可以被路径跟踪控制器计算出。
图4 四轮转向AGV的控制系统结构
基于阿克曼转向几何,可以计算出每个车轮的转向角,并将其发送给电子控制单元。电子控制单元将控制四个线控转向系统跟踪目标转向角。之后,四轮转向AGV可以实现路径跟踪控制。
A.LQR控制器设计
如上所述,所设计的用于路径跟踪的LQR控制器旨在最小化偏航角误差和横向位置误差
。因此,状态反馈LQR控制器设计的性能指标定义为
其中Q和R是对角加权矩阵,Q是半正定矩阵,R是正定矩阵。
然后,哈密顿函数由下式给出
其中是拉格朗日乘子向量。
根据哈密顿函数,控制方程可以推导为
此外,控制向量U可以在变换后计算出来
另外,欧拉方程可以推导为
拉格朗日乘子向量定义为
在对时间求导数后,得出
由于在稳态下可以视为零,所以P(t)是以下黎卡提方程的解
在计算出P(t)之后,将等式(31)代入等式(29)得出
在LQR控制器设计中,Q和R分别给定为Q=diag[1000,10,300,3],R=diag[1,2]。
B.闭环系统的稳定性分析
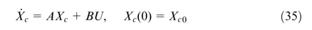
至于LQR反馈控制器方程(34),它不能处理外部干扰。这个问题将在第4.3节中解决。首先,用LQR控制器对闭环系统进行稳定性分析。如果外部干扰暂时被忽略,那么
将等式(34)代入等式(35)得到闭环系统
为了分析闭环系统方程(36)的稳定性,我们首先引入以下引理。
引理130:如果线性时不变系统方程(35)中存在扰动D(t),即,其中D(t)独立于控制向量U,则扰动D(t)不会改变系统方程(35)的可控性。
由于本文中的扰动是由独立于控制向量U的和
组成的,因此可以得出结论,扰动不会改变系统方程(35)的可控性。
此外,对于稳定性分析,提出了以下引理。
引理2: 对于线性时不变系统方程(35),它具有用于状态反馈LQR控制器设计的性能指标方程(26)。如果{A,B}是可控的,且{A,F}是可观测的,其中FFT=Q,则闭环系统方程(36)是渐近稳定的。XcTPXc是一个李雅普诺夫函数,其中P是一个对称正定矩阵,它是黎卡提方程(33)的唯一解。
定义线性二次函数
其中,当且仅当。由于
。因此,等式(37)是一个李雅普诺夫函数。很显然满足下式:
在对时间求导后的等式如下:
将方程(33)和(36)代入方程(39)得出:
由于Q是一个半正定矩阵,而R是一个正定矩阵,。因此
如果。根据方程(40),可以得到:
由于,等式(44)可以写为:
由于,可以推导出
。因此,该系统方程的零输入响应可以表示为:
将等式(45)带入等式(42)得到:
等式(46)表明:
它和是可观察的条件是相矛盾的。因此,假设
是错误的。
最后,可以得出结论,闭环系统方程(36)可以看作是全局渐近稳定的。这证明了引理2。
C.LQR控制器与前馈控制相结合
从方程(34)可以看出,控制向量U仅与状态向量Xc相关。它不能处理外部干扰。
是可以得到的,并由
和
组成。因此,采用前馈控制来减小外部干扰引起的路径跟踪误差。
根据上述分析,路径跟踪控制器可以表示为前馈控制器和LQR反馈控制器的和。
其中,需要求解,并根据方程(34),LQR反馈控制器可以表示为:
将方程(49)带入方程(14)得到:
假设状态向量的初始值为零,经拉普拉斯变换后,式(50)可得改变成:
其中表示对变量向量进行拉普拉斯变换。
如上所述,假设是常数。可以得到:
然后:
假设前馈控制器是恒定的稳态,可以得到:
将方程(53)和(54)代入方程(51)得到:
根据拉普拉斯变换的终值定理,系统状态的稳态误差可以表示为:
如果,可以得到:
此外,还有:
最终,前馈控制器可以算出并表示为:
为了简化轨迹跟踪控制器的设计过程,在控制器设计和稳定性分析中使用了模型方程(17)。事实上LPV模型用于最终控制器设计。考虑到以下由方程(22)描述的LPV闭环控制系统具有八个顶点,LPV-LQR控制器应该表示为八个惯性控制器的加权和。等式如下:
其中,是第j个顶点模型的第j个控制器,可根据等式(49)和(59)计算得出。
5 仿真分析
为了评估所设计控制器的路径跟踪性能,通过CarSim-Simulink平台使用高度准确的整车模型进行联合仿真。4WS AGV路径跟踪仿真框图如图5所示。仿真中4WS AGV的结构参数如表1所示。在车辆测试,双车道变换(DLC)是最常见和最典型的动作之一。它可以很好地评估车辆的横向动力性能。对于自动驾驶汽车,DLC 机动也是一个至关重要的动作。该测试不仅可以验证控制器的路径跟踪性能,还可以评估车辆的操纵稳定性。因此,选择DLC作为条件。
图5 4WS AGV仿真框图
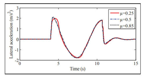
A.不同的路面摩擦系数
在本仿真案例中,4WS AGV以不同的路面摩擦系数进行DLC机动,旨在验证所设计控制器的路径跟踪能力。此外,它还可以评估该路径跟踪控制器对不同路况的鲁棒性。4WS AGV的纵向速度设定为15m/s,道路摩擦系数设定为0.25,0.5和0.85来模拟不同路面条件,即结冰路面、湿路面和干路面。
图6 不同摩擦系数路面下的路径跟踪结果
表2 不同摩擦系数路面下的路径跟踪误差
图7 不同摩擦系数路面下的横向位置误差
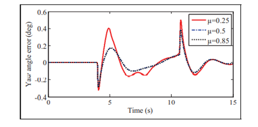
图8 不同摩擦系数路面下的偏航角误差
不同摩擦系数路面的路径跟踪结果如图6所示。可以发现,即使在冰面上,路径跟踪误差也很小。详细分析了跟踪误差。横向位置误差和偏航角误差如图7和图8所示。此外,表2中列出了最大值和均方值(RMS)。可以看出,结冰道路上横向位置误差的最大值和RMS值为0.0711m和0.0272m。偏航角误差值的最大值和RMS为0.5021。和0.1231。。这表明,所设计的控制器具有良好的路径跟踪和抗参数扰动的鲁棒稳定性。
图9 不同摩擦系数路面下的横向加速度误差
图10 不同摩擦系数路面下的前轮转向角误差
图9为4WS AGV的横向加速度。在湿路面和干路面上,最大横向加速度不是很大。但在结冰路面条件下,横向加速度非常大。前轮和后轮的转向角分别如图10和图11所示。可以发现,控制器必须提供更大的转向角,以在低路面摩擦系数条件下保持鲁棒稳定性和路径跟踪能力。
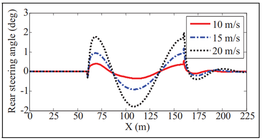
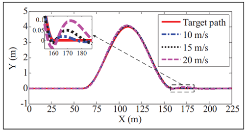
B.不同的纵向速度
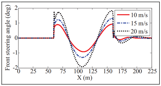
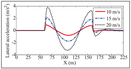
由于路径跟踪控制器是基于单轨模型设计的,其中假设纵向速度恒定。因此,有必要对不同纵向速度条件下4WS AGV的跟踪性能进行评估。道路摩擦系数设置为0.85,4WS AGV的纵向速度分别设置为10 m/s、15 m/s和20 m/s。
三种不同纵向速度条件下的路径跟踪结果如图12所示。可以看出,所设计的控制器能够以较小的误差跟踪目标路径,且稳态跟踪误差接近于零。横向位置误差和偏航角误差分别如图13和图14所示。误差分析结果如表3所示,从中我们可以发现,无论是横向位置误差还是偏航角误差,跟踪误差都随着纵向速度的增加而增加。由此可得,高速下的路径跟踪问题具有更大的挑战性。
图11 不同附着系数路面下的后轮转向角
图12 不同纵向速度下的路径跟踪结果
图13 不同纵向速度下的侧向位移误差
表3 不同纵向速度下的路径跟踪误差
RMS: 均方根值
图14 不同纵向速度下的横摆角误差
图15 不同纵向速度下的侧向加速度
在纵向速度小于20m/s时,这个4WS AGV的最大横向位置误差可以限制在0.1m内,最大横摆角误差不超过0.8°。
从误差分析可以总结出,该路径跟踪控制器可以有效跟踪目标路径,并且在面对系统不确定因素时有良好的鲁棒性。
图15显示了三种不同纵向速度条件下的侧向加速度。可以发现,最大的横向加速度可以达到接近4m/s2。前轮和后轮的转向角分别如图16和图17所示。前轮和后轮的转向角都随着纵向速度的增加而增加,这意味着该4WS AGV需要更大的侧向力来保持系统的稳定性和提高路径跟踪性能。
6 实验验证
为了进一步验证路径跟踪控制器的性能,我们用DLC机动装置进行了一次实车实验。在测试条件下,驱动电机的最大转速和最大扭矩为800rpm和180N·m。转向电机的最大转向角为30°。考虑到SBW系统的可靠性较差以及驾驶的安全性,车辆的纵向速度被限制在3m/s内。测试道路如图18所示。
图16 不同纵向速度下的前轮转向角
图17 不同纵向速度下的后轮转向角
图18 测试道路
图19 实车验证下的路径跟踪结果
图20 实车验证下的侧向位置误差
图21 实车验证下的横摆角误差
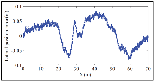
实车实验的路径跟踪结果如图19所示。可以发现,设计的控制器在实车实验条件下可以很好地跟踪目标路径。此外,图20和图21显示了侧向位置误差和横摆角误差。侧向位置误差最大为0.08m,组合定位系统的定位精度为0.05m,所以这个误差非常小。横摆角误差最大为3.5°,组合定位系统的偏航角精度为2°,所以横摆角误差也非常小。
从误差分析中,我们可以得出这样的结论:本文所设计的控制器在道路测试中显示出良好的路径跟踪性能。图22和23分别显示了横向加速度测试结果和四个车轮转向角的变化情况。
7 总结
本文设计了一个用于四轮独立转向无人小车的路径跟踪控制器,主要目的在于减小车辆的侧向位置误差和横摆角误差。为了简化控制器的设计,使用一个单轨模型来建立路径跟踪模型。将LPV系统模型应用于控制器设计,使路径跟踪控制器对纵向速度和道路摩擦系数等参数扰动获得良好的鲁棒性。路径跟踪控制器是在LQR和前馈控制的基础上设计的,前馈控制被用来消除干扰引起的误差。为了评估所设计的路径跟踪控制器的性能,进行了仿真和实车试验。仿真和实验结果表明,本文所设计的控制器不仅表现出良好的路径跟踪性能,而且还具有很强的鲁棒性,可以处理参数不确定性问题。
利益冲突声明
作者声明与本文的研究、作者身份和/或发表没有潜在的利益冲突。
经费声明
本文的研究、撰写和/或发表接受了以下财务支持。这项工作得到了中国国家重点研发计划(批准号:2018YFB0104802)、中国国家自然科学基金(批准号:U1564207)和上海汽车工业科技发展基金会项目(批准号:1734)的部分支持。
ORCID ID (科研人员与投稿身份识别码):
工程师必备
- 项目客服
- 培训客服
- 平台客服
TOP




















