两挡AMT(电驱桥)新型无摩擦式同步器设计及仿真
2021年12月20日 11:39本文中设计了一种新型的无摩擦式同步器,可以实现在较大的速度差范围内的无摩擦同步,可以有效的改善传统同步器同步时间长、速度不连续、顿挫感较强等问题。
1 新型同步器三维建模及原理分析
1.1 无摩擦式同步器结构介绍
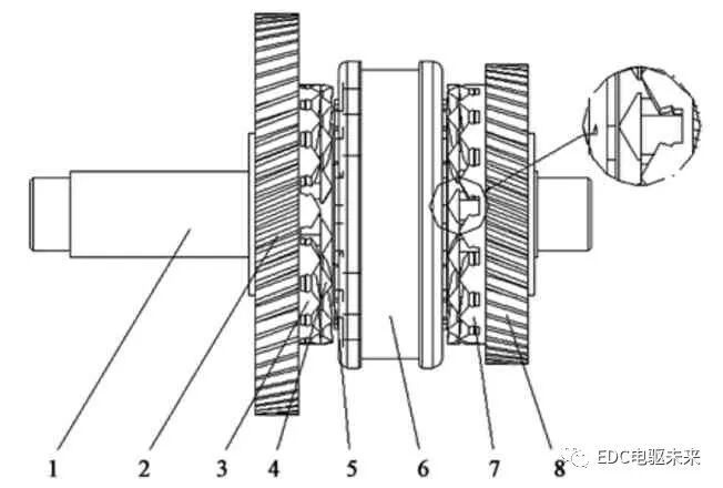
无摩擦式同步器整体结构和分解示意图,分别如图1、图2 所示,该装置包括传动轴、花键毂、结合套、两个导向环、大(小)齿轮结合部、大(小)齿轮、用于齿轮结合部与导向环之间传递周向动力的螺旋弹簧(在图中未显示,在建立Adams 虚拟样机模型时以约束的形式建立)。无摩擦式同步器主要部件的介绍如下所示:
传动轴:它的外花键与花键毂的内花键处于常啮合状态,且大小齿轮通过轴承安装在传动轴上。
花键毂:通过花键安装在传动轴上,花键毂和传动轴处于固连状态,且其外花键与结合套内花键处于常啮合状态。
结合套:它由换挡驱动机构通过换挡拨叉驱动,其通过花键安装在花键毂上,且其可以相对花键毂沿着传动轴的轴向左右移动,但周向相对于花键毂处于静止状态,因而传动轴及花键毂与结合套有着相同的旋转角速度。它的主要功能是在换挡速度同步过程中与导向环相接合,且在换挡完成处于锁止状态时,与大(小)齿轮结合部互相咬合锁止。
图1 无摩擦式同步器整体结构示意图
1.转动轴;2.大齿轮;3.大齿轮结合部;4.导向环;5.花键毂;6.结合套;7.小齿轮结合部;8.小齿轮
螺旋弹簧:一端与大(小)齿轮结合部的螺旋弹簧受力部连接,另一端与导向环的螺旋弹簧受力部相连接;通常情况下,在挂挡速度同步过程中,导向环压缩或拉伸螺旋弹簧,螺旋弹簧弹性变形,将大(小)齿轮结合部与导向环之间的角速度差产生的能量转化为弹性能储存起来,从而减小了它们之间的角速度差产生的冲击能,同时给螺旋弹簧两端的大(小)齿轮结合部和导向环施加一个较为柔和的预加速扭力,使其角速度连续变化,从而使得它们之间的角速度差趋向于0,从而可以最大化的减小最后结合部与大(小)齿轮结合部咬合时产生的冲击。
导向环:两个导向环对称的分布在花键毂的两侧,空套在传动轴上;导向环朝向花键毂的一面沿周向分布1圈双向的导向斜面,用于引导结合套内插齿光滑的插入其导向孔内;一旦结合套内插齿插入导向环的导向孔内,则结合套和导向环将以相同的角速度转动。
大(小)齿轮结合部:与大(小)齿轮固连在一起,用于同步匹配大(小)齿轮与结合套(花键毂或传动轴)之间的角速度,其朝向导向环一面周向分布1 圈插槽用于在完成换挡后与结合套内插齿互相锁止咬合,起到锁住挡位,防止脱挡的作用。且在结合部插槽内侧周向分布1圈条形腔,用于安置螺旋弹簧。
大(小)齿轮:通过轴承安装在传动轴上,可以绕着传动轴自由转动,但是轴向固定,不能沿着传动轴左右移动。
设计的新型无摩擦式同步器与传统的同步器的最大区别在于:汽车换挡进行速度同步时,不再依靠传统的摩擦式同步器摩擦进行速度同步,而是依靠导向环与齿轮结合部之间的螺旋弹簧进行速度同步,实现无摩擦同步。齿轮结合部的整体结构示意图如图3所示。齿轮结合部朝向导向环的一端与导向环之间形成沿周向延伸的条形腔,且该条形腔被螺旋弹簧受力部分隔为几段,齿轮结合部与导向环分别在条形腔内设置有4个螺旋弹簧受力部,这样周向1 圈共有8 个螺旋弹簧受力部,且导向环的螺旋弹簧受力部与齿轮结合部的螺旋弹簧受力部交替排布,螺旋弹簧的两端分别与其中一个受力部的一端连接,共可安装8个螺旋弹簧。在齿轮结合部与导向环发生相对转动时,螺旋弹簧可处于压缩或拉伸状态。沿齿轮结合部的径向,条形腔在所述插槽的内侧,使得结构布置精致紧凑。
1.2 无摩擦式同步器的工作原理及阶段划分
将新型无摩擦式同步器应用于某纯电动汽车的两挡AMT 中,整车的动力传递路线如图4 所示。为了方便对装有无摩擦式同步器的整车换挡过程进行动力学分析,将图4 进行等效转换,等效图如图5所示。
为了清晰展示新型无摩擦式同步器的工作过程,其被简化为4个主要的部件:结合套被简化为两个内插齿、导向环被简化为两个导向块、齿轮结合部被简化为两个插槽,导向环与齿轮结合部之间安装的8个螺旋弹簧(不在图中展示,因为它们被安装在装备体的内侧),如图6所示。
图2 无摩擦式同步器整体结构分解示意图
1.转动轴;2.结合套;3.导向环;4.小齿轮结合部;5.小齿轮;6.导向环的螺旋弹簧受力部;7.花键毂;8.结合套内插齿;9.导向环导向孔;10.导向环导向块
图3 齿轮结合部整体结构示意图
1.齿轮结合部的螺旋弹簧受力部;2.条形腔;3.插槽
图4 整车动力传递路线图
图5 整车动力传递的等效动力学模型图
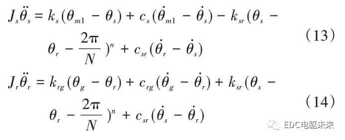
如图7所示,新型无摩擦式同步器的工作过程可以划分为5个阶段。
阶段1:该阶段开始时,结合套内插齿处于中间空挡位置,然后确定要啮合的齿轮,以换挡至1挡齿轮(左边的大齿轮)为例。换挡拨叉推动结合套内插齿向左移动,在结合套内插齿没有接触到导向块时,导向环与大齿轮结合部通过螺旋弹簧连接,以相同的角速度绕着传动轴转动。由于结合套内插齿和导向块及大齿轮结合部的角速度不一致,因此,结合套内插齿和导向块及大齿轮结合部之间会产生相对转动,一直到结合套内插齿斜面与导向块导向斜面相接触。该阶段属于结合套内插齿的空行程阶段。
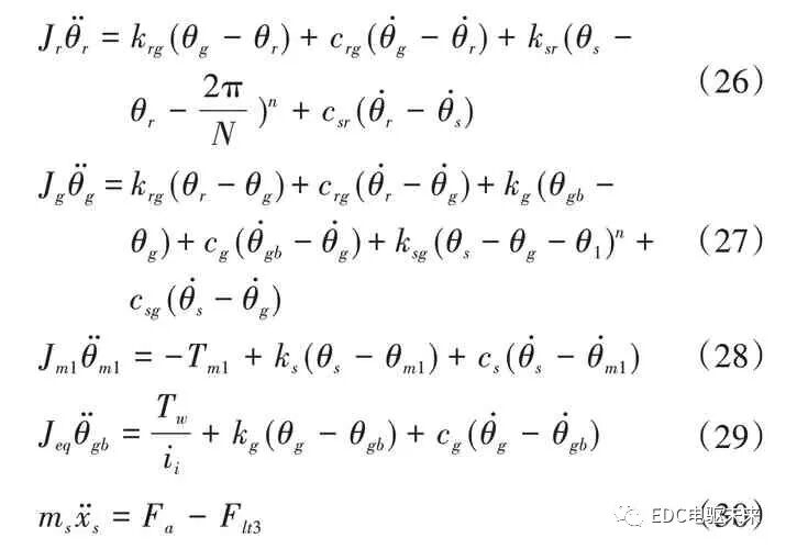
图6 无摩擦式同步器结构简化示意图
1.导向环导向块;2.导向块导向孔;3.导向环导向斜面;4.结合套内插齿;5.内插齿斜面;6.插槽斜面;7.结合部插槽
图7 换挡同步过程5个阶段原理示意图
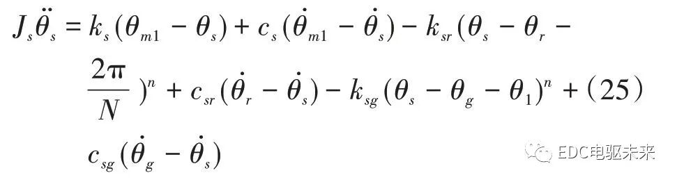
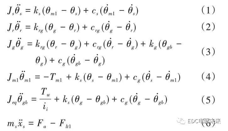
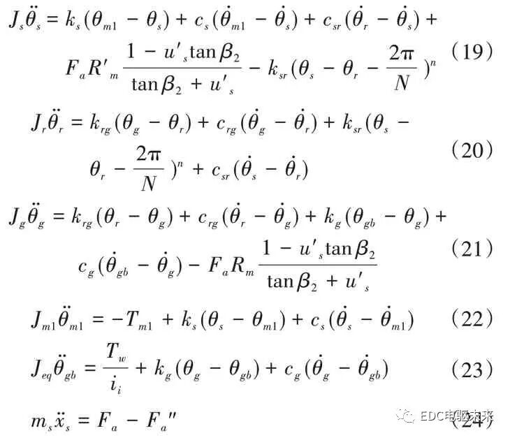
阶段1过程中的动力学方程为
式中,Js 为结合套上的等效转动惯量,它包括结合套和花键毂的转动惯量;ks、cs 分别为驱动电机输出轴和无摩擦式同步器输入轴之间耦合装置的刚度和阻尼系数;kg、cg分别为无摩擦式同步器输出轴和变速器输入轴之间耦合装置的刚度和阻尼系数;Jr 为导向环的转动惯量;krg、crg 分别为螺旋弹簧的等效刚度和阻尼系数;Jg 为结合部的转动惯量;Jm1为驱动电机输出轴的转动惯量;ii(i=1,2)为变速箱1,2挡的速比;Tm1为电机的驱动转矩;Jeq 为变速器和整车部分的等效转动惯量;Tw 为整车阻力矩;θs、θgb、θg、θm1、θr 以及它们对时间的1 阶和2 阶倒数分别为结合套、变速器输入轴、结合部、驱动电机输出轴以及导向环的角位移、角速度以及角加速度;ms 为结合套质量;xs 为结合套的轴向位移;Fa 为结合套的轴向驱动力;Flt1 为空挡处限位装置对结合套内插齿的轴向阻力。
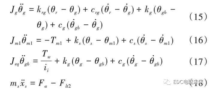
阶段2:该阶段开始时,内插齿斜面与导向块斜面相接触。在换挡推力的作用下,内插齿继续沿着导向块斜面滑动,同时,内插齿挤压导向块,使得导向块与结合部插槽产生相对转动,从而导致插槽与导向块之间的螺旋弹簧被压缩或拉伸,从而给结合套内插齿和大齿轮结合部施加一个较为柔和的调速转矩,起到了调速和降低换挡冲击度的作用。该阶段结束时,内插齿与导向块的斜面分离并与导向块的侧平面相接触,即结合套内插齿正对着导向环导向孔。
阶段2过程中的动力学方程为
式中,Rm 为结合套内插齿与导向环导向块接触时的平均接触半径;β1为导向块斜面的导向斜角(如图6所示);μs 为该斜面的摩擦因数;Fa'为结合套内插齿与导向块斜面相接触时产生的法向力的轴向分力。
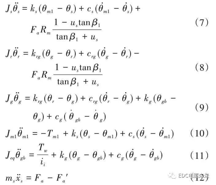
阶段3:该阶段开始时,内插齿与导向块的侧平面相接触,在换挡推力的推动下,内插齿继续向左滑动插入导向孔内,此时,该结合套内插齿便会与导向环导向块以相同的角速度转动,直到内插齿斜面与插槽斜面相接触。
阶段3过程中的动力学方程为
式中,ksr、csr分别为结合套内插齿与导向块侧面挤压的等效刚度和阻尼系数;N 为结合套内插齿数目,N=16;n为非线性指数因子,n=2.2;Flt2为结合套内插齿插入导向环导向孔时产生的轴向反作用阻力。
阶段4:该阶段开始时,内插齿斜面与插槽斜面相接触。在换挡推力的作用下,内插齿继续沿着插槽斜面滑动,并推动导向块,使之与插槽继续产生相对转动,使得插槽与导向块之间的螺旋弹簧被进一步压缩或拉伸,从而给结合套内插齿和大齿轮结合部施加一个更大的调速转矩,使其角速度连续变化,进一步起到调速和降级换挡冲击度的作用。该阶段结束时,内插齿斜面与插槽斜面分离并与插槽的侧面相接触。
阶段4过程中的动力学方程为
式中,β2为结合部插槽斜面的导向斜角(图6);u's为此斜面的摩擦因数;R'm 为结合套内插齿与结合部插槽斜面接触时的平均接触半径;Fa"为结合套内插齿与插槽斜面相接处产生的法向力的轴向分力。
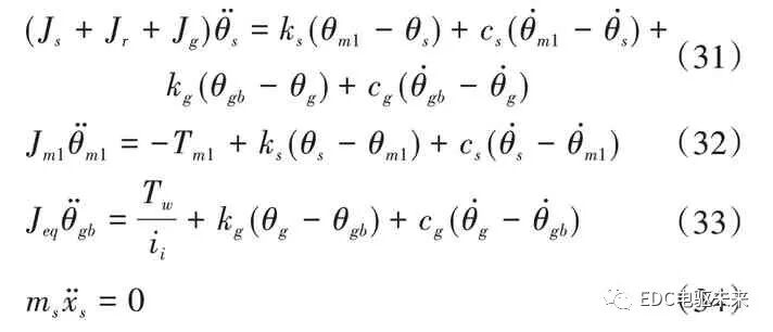
阶段5:该阶段开始时,内插齿与插槽的侧面相接触,在换挡推力的作用下,内插齿被快速推向插槽的底部,直到换挡完成。
阶段5过程中的动力学方程为
式中,ksg、csg 分别为结合套内插齿与结合部插槽侧面相互挤压的等效刚度和阻尼系数;Flt3 为结合套内插齿插入结合部插槽底部时产生的轴向反作用阻力。
在完成换挡以后,结合套内插齿完全插入插槽底部,此时,大齿轮结合部、导向环以及结合套以相同的角速度转动,内插齿齿形与结合部插槽的形状相配合,形成一种啮合锁止。
换挡完成以后的动力学方程为
需要注意的是,在完成换挡以后,螺旋弹簧将会一直处于压缩状态。当下一次换挡开始时,结合套将会从啮合位置轴向移动返回到中间空挡位置。与此同时,导向环将在螺旋弹簧压缩或者拉伸所产生的旋转力的作用下转回到初始位置。
2 模型建立
2.1 Adams模型
运用Adams 软件,建立了无摩擦式同步器的动力学模型。
为了对无摩擦式同步器的工作过程进行正确仿真,需要对无摩擦式同步器各个零部件的运动进行约束定义,如表1所示。
表1 各零部件约束定义和自由度分析
通过上述对新型无摩擦式同步器的原理分析可知,其换挡过程速度的同步及锁止主要是依靠结合套、导向环、齿轮结合部结构的相互配合以及导向环与齿轮结合部之间的螺旋弹簧的调速缓冲作用。
由于无摩擦式同步器模型结构较为复杂,用AdamsView 中的实体建模工具无法直接建立此模型,因此,先用三维软件CATIA 建立此三维实体模型,如图1、图2 所示;然后将此三维实体模型导入AdamsView 中,建立无摩擦式同步器虚拟样机模型,如图8所示。不同的是,上述结构中螺旋弹簧的作用在Adams 中以约束的形式建立即可。新型无摩擦式同步器模型的整体尺寸与某纯电动汽车用同步器的整体尺寸相近。
2.2 Matlab模型
在Matlab/Simulink 中建立了两挡AMT 纯电动汽车整车模型,利用Adams 和Simulink 进行联合仿真,研究装有新型无摩擦式同步器的两挡AMT 纯电动汽车的换挡同步过程所需要的时间和此过程中汽车产生的冲击度,此模型共有5个模块,分别为:驾驶员模块、电机模块、整车模块、换挡过程控制模块和联合仿真窗口模块(即将Adams 中的无摩擦式同步器虚拟样机模型代入到Simulink 中进行联合仿真计算)。
图8 无摩擦式同步器虚拟样机模型示意图
3 同步过程分析
3.1 评价指标及初始参数设置
对于有级变速器而言,由于汽车的动力传动系统是一个多转动惯量的系统,在换挡过程中总会产生一定的冲击度,一般采用换挡时间和冲击度这两个指标来评价换挡过程。近年来,换挡同步过程中产生的二次冲击也越来越受到关注。文中利用无摩擦式同步器虚拟样机模型得到结合套位移,结合套、导向环及齿轮的角速度随时间的变化曲线以及采用无摩擦式同步器的整车冲击度,可用这些数据来分析无摩擦式同步器的同步时间和换挡过程产生的冲击度。
无摩擦式同步器的部分初始参数为:螺旋弹簧刚度为0.7 N∙m(/°),结合套与导向环及齿轮结合部工作面之间的摩擦因数为0.1,结合套内插齿半角、导向环导向斜角以及结合部插槽斜角均为30°,轴向换挡力为120 N,同步过程时的车速为60 km/h,以换挡至左边的大齿轮为例,结合套与大齿轮结合部之间的转速差为50 r/min,即结合套转速为1 950 r/min,大齿轮结合部、导向环的转速为2 000 r/min。
虚拟样机模型中各个零部件之间的碰撞力用Adams 中的刚体接触来定义,碰撞力由两部分组成:①2 个零部件之间的相互切入而产生的弹性力;②2 个零部件之间相对速度产生的阻尼力。根据无摩擦式同步器尺寸和材料选取接触定义时相应的参数值,选择Adams 中数值计算效率最高的积分求解器GSTIFF 进行求解,同时选择计算精度较高的积分格式SI2,积分误差设为0.001,仿真时间为0.5 s,步长为0.000 1 s。
3.2 无摩擦式同步器同步过程分析
在设置好各初始参数后,利用Adams和Simulink进行联合仿真对无摩擦式同步器换挡同步过程进行仿真分析。以换挡至左边的大齿轮为例,图9、图10 所示为在上述初始设置参数下的仿真曲线图。从图9 所示结合套的位移曲线可以看出,在0.02 s 前,结合套快速移动,直到0.02 s时结合套内插齿碰到导向块,该阶段属于结合套的空行程阶段。在0.02 s 后,结合套内插齿沿着导向块的导向斜面滑动,此时结合套轴向移动速度缓慢,持续时间较长,结合套与导向环角速度趋于一致,一直到0.07 s时,结合套内插齿穿过导向环导向孔,此时结合套与导向环以相同的角速度转动。结合套继续轴向移动,然后与大齿轮结合部插槽的导向斜面相接触。此时结合套内插齿继续沿着大齿轮结合部插槽的导向斜面滑动,速度较快。在0.08 s 时,结合套内插齿完全插入大齿轮结合部的插槽中,至此换成同步换挡过程,结合套、导向环以及大齿轮结合部以相同的角速度转动,此时结合套处于轴向最大位移处,为13 mm。
图9 同步过程曲线图
在结合套内插齿完全插入齿轮结合部插槽中,处于啮合锁止时,导向环与齿轮结合部之间有一相对转角,使得其之间的螺旋弹簧处于变形状态,使得导向环与结合套内插齿处于压紧状态,从而可能对退挡有影响,造成退挡困难。
为了分析此因素是否会造成退挡困难,在完成同步换挡后,在0.12 s 时给结合套一个反向的退挡力,大小为30 N,从图9所示可以看出,在0.18 s时候,结合套的位移为0 mm,即结合套处于空挡位置,完成退挡过程,退挡时间为0.06 s,退挡迅速且所需退挡力仅仅为30 N,所以此因素并不会造成退挡困难。
从图10所示整车冲击度及结合套轴向位移曲线可以看出,在0.071 s 时,结合套内插齿穿过导向环导向孔继续轴向移动与大齿轮结合部插槽的导向斜面相接触碰撞,会产生一个冲击度峰值,约为7.1 m/s3。在0.1 s 时,整车会产生一个较大的二次冲击,约为6.5 m/s3。在0.12 s 进行退挡过程中,整车产生的冲击度均小于5 m/s3,因而可知,不论是在速度同步挂挡还是在退挡过程中,产生的整车冲击度都能控制在合理的范围内,能平顺地进行换挡。
图10 整车冲击度及结合套位移曲线图
传统摩擦式同步器在换挡过程中依靠摩擦进行速度同步,一般依靠摩擦式同步器进行换挡速度同步的AMT等变速器,其挂挡时间一般为0.25 s左右,退挡时间为0.15 s 左右,而文中提出的新型无摩擦式同步器的挂挡时间仅为0.08 s,退挡时间仅为0.06 s,远优于传统的摩擦式同步器。从整车冲击度角度看,在上述设置的初始参数下,整车的冲击度峰值为7.1 m/s3,且大部分冲击度都小于5 m/s3,能够保证平顺地进行换挡。而依靠传统摩擦式同步器进行换挡速度同步的AMT 等变速器在换挡过程中会产生明显的顿挫感,舒适性较差,也正是因为这点导致AMT 变速器在乘用车上的应用得到限制。在后文中通过优化螺旋弹簧刚度、换挡力等值,可以保证在换挡速度同步时间基本不增加的情况下进一步降低整车冲击度,保证整车冲击度峰值小于3 m/s3,能进一步体现该新型无摩擦式同步器的优势。
4 设计参数对同步过程的影响
4.1 同步过程时车速的影响
为了分析同步过程时车速对同步过程时间及整车冲击度的影响,分别在车速为30 km/h、45 km/h、60 km/h、75 km/h、90 km/h 时进行仿真分析,从图11 所示可以看出,随着车速的增加,同步时间略微变化,基本可以忽略不计。
图11 不同车速下的结合套位移曲线图
同理,从图12所示可以看出,随着车速的增加,整车冲击度略有变化,对舒适性影响不大,也同样可以忽略不计。
图12 不同车速下的整车冲击度曲线图
因而可以得出结论,换挡速度同步时的车速对同步过程基本没有影响。
4.2 螺旋弹簧刚度的影响
在新型无摩擦式同步器换挡过程中,螺旋弹簧起到同步齿轮结合部与结合套角速度及降低换挡冲击度的作用,对换挡同步过程的好坏起着至关重要的作用。因此,不同的螺旋弹簧刚度值对换挡同步过程产生的影响也不同,如图13、图14所示。
从图13 中结合套的位移可以看出,在换挡初始时,结合套位移为0 mm,即结合套处于空挡位置;当结合套在换挡力作用下轴向移动13 mm 时,至此完成同步换挡过程。从图13 中也可以看出,在其他参数保持不变时,随着螺旋弹簧刚度的增加,换挡时间也逐渐增加,但差别不是太大。但是当螺旋弹簧刚度大于0.7 N·m(/°)后,在其他参数保持不变时,会出现换挡同步时间大大延长的现象。因此,为了保证换挡同步过程迅速进行,螺旋弹簧的刚度值不能过大。
图13 不同螺旋弹簧刚度下的结合套位移曲线图
图14 不同螺旋弹簧刚度下的整车冲击度曲线图
但是从图14 中可以看出,随着螺旋弹簧刚度的增加,整车冲击度逐渐减小,是因为螺旋弹簧刚度的增加能更好地吸收速度同步过程中因齿轮结合部与导向环转速差不同而产生的冲击能,更好地起到调速缓冲作用,从而降低整车换挡冲击度。因此,选取较大的螺旋弹簧刚度有利于降低整车冲击度,但同时螺旋弹簧刚度的增加会增加换挡时间,因而形成了矛盾。因此,要选择一个合适的螺旋弹簧刚度值,从而保证换挡同步时间和整车冲击度都能控制在合理的范围内。
综上考虑,选择螺旋弹簧的刚度值为0.7 N·m(/°),虽然相比于更小的螺旋弹簧刚度值时,同步时间有所增加,但是增加量并不大,没有发生突变。且在螺旋弹簧的刚度值为0.7 N·m(/°)时,整车冲击度相比于更小的螺旋弹簧刚度值时有很大幅度的降低,保证了整车冲击度在合理的范围内。
4.3 换挡力的影响
在新型无摩擦式同步器换挡过程中,换挡力的大小影响着换挡速度同步时间以及整车换挡冲击度,对同步过程的好坏同样起着至关重要的作用。由图15 所示结合套的位移可以看出,随着换挡力的减小,换挡时间逐渐增加,但差别不是太大。但是当换挡力低于100 N 为80 N 时,换挡时间大大延长,因而换挡力不能过小。
从图16 中可以看出,随着换挡力的减小,整车冲击度有所降低。选取较小的换挡力有利于降低整车换挡冲击度,但是,较小的换挡力会使得同步时间增加,因而形成了矛盾。因此,要选择一个大小合适的换挡力,从而保证换挡速度同步时间和整车冲击度都能控制在合理的范围内。综上考虑,选择换挡力为100 N,虽然相比于更大的换挡力时,同步时间有所增加,但是增加量并不大,没有发生突变。且在换挡力为100 N时,整车冲击度相比于更大的换挡力时有很大幅度的降低,保证了整车冲击度在合理的范围内。
图15 不同换挡力下的结合套位移曲线图
图16 不同换挡力下的整车冲击度曲线图
5 结论
设计了一款新型无摩擦式同步器,运用三维软件CATIA 建立三维实体模型,并将实体模型导入Adams 中,建立无摩擦式同步器的虚拟样机模型,同时,在Matlab/Simulink 中建立一两挡纯电动汽车整车模型,利用Adams 和Simulink 进行联合仿真,模拟新型无摩擦式同步器的速度同步及退挡过程。然后利用该模型分析了同步过程时的车速、螺旋弹簧刚度值以及换挡力大小对同步过程的影响。仿真结果表明,同步过程时的车速对同步过程基本没有影响;增加螺旋弹簧刚度可减小整车换挡冲击度,但是换挡时间将有所增加,针对这一矛盾,给出了最佳的螺旋弹簧刚度值;增加换挡力可减小换挡同步时间,但其会产生更大的整车换挡冲击度,同样,针对这一矛盾,给出了最佳的换挡力值。以上结论为进一步设计、控制和优化此新型无摩擦式同步器提供了一种有效途径。
工程师必备
- 项目客服
- 培训客服
- 平台客服
TOP




















