建议收藏:一文搞懂离心铸造的转速计算
2022年2月8日 17:59离心铸造是特种铸造工艺中的一种。该工艺将液态金属倒入旋转的模具中,在金属充型凝固的整个过程中,模具持续以一定的速度(或阶梯变化的转速)旋转。
金属液通过旋转离心力作用,紧贴金属模具的壁面发生相对滑移流动,此过程中产生的气体和熔渣将移动到铸件的中心区域,因此铸件获得了强度更高的致密结构。
因为以上工艺优势,离心铸造特别适合于于圆筒形铸件的单件与批量生产,常见的离心铸造产品包括:管道、衬套、套筒、活塞环、滑轮、大型螺母等
离心铸造可以分为立式和卧式两种,前者的旋转轴与重力方向一致,后者旋转轴为水平,和重力方向垂直。
以上两种情况下,重力与离心力的交互作用不同,因此在离心铸造转速的计算上,存在一些差异。这点需要特别注意。
离心铸造转速对铸件品质的影响:
离心铸造转速对铸件中产生的气孔,夹渣,缩松,偏析等缺陷都会产生直接影响,此外,铸件的圆周度以及铸件内部的组织致密程度,也与转速息息相关。
由于旋转本身的特点,铸件外周所受离心力要大于内部,因此,离心铸造产品更容易产生偏析。而提高转速,有助于增加金属液紊流程度,形成自搅拌效果,部分抵消偏析的不良影响,也有利于结晶组织均均匀化,有利于减轻前期“云斑”偏析。[1]
此外,转速不足,离心力不足时,容易产生“淋落”现象,即合金液无法附着在先前浇入的合金液表面而产生的雨淋般跌落) ,可能在外表面形成纵向裂纹。
当然,转速也不宜过高,过高的转速会对离心机的制造和安装提出严苛的挑战,不但影响机器寿命,如果精度不足,甚至会引起铸型剧烈跳动,造成重大安全事故。
离心铸造转速的计算方法汇总
关于离心铸造转速的计算方法共有20多种,大多数基于模具类型,铸件大小和厚薄等尺寸特征,合金类型分别适用,本文中主要介绍5种较为常用的计算公式。
方法一:康斯坦丁诺夫公式
康斯坦丁诺夫认为,不管金属液种类如何,铸件内表面“有效重度”达到3.4x10^6N/m^3,就能保证得到组织细密的离心铸造件。铸型转速用下式计算[2]:
n:铸型转速(r/min);
R:铸件内表面半径(m);
γ:合金重度(N/m^3);
β:调整系数(可按下表选取)。
表一 :康斯坦丁诺夫调整系数β速查表
| 种类 | β |
|---|---|
| 铜合金卧式离心铸造套类件 | 1.2~1.4 |
| 铜合金立式离心铸造环类件 | 1.0~1.6 |
| 铸铁套类件 | 1.2~1.5 |
| 铸钢套筒类件 | 1.0~1.3 |
| 铝合金套类件 | 0.9~1.1 |
注意:该公式适用于水平离心铸造,且铸件(外径/内径)比值不大于1.5的情况。
关于外径内径比值导致的康斯坦丁诺夫适用性,业界存在多种不同的声音。比如《铸造手册第六卷:特种铸造》中认为该比值不应大于1.15,即仅适用于薄壁件。而武昌船舶重工的杨为勤根据30多年来上百例厚壁件的实际应用情况,认为在外径内径比值大于2的铸件也基本适用。[3]
方法二:布鲁左夫计算公式
布鲁左夫公式采用重力系数计算离心铸造转速
n:铸型转速(r/min);
R:铸件内表面半径(m);
G:重力系数,可按下表查询
表二:布鲁左夫重力系数速查表
| 铸件名称 | G | 铸件名称 | G |
|---|---|---|---|
| 中空冷硬轧辊 | 75~150 | 轴承钢圈 | 50~65 |
| 内燃机气缸套 | 80~110 | 铸铁管(砂型) | 65~75 |
| 大型缸套 | 50~80 | 铸铁管(金属型) | 30~60 |
| 钢背铜套 | 50~60 | 双层离心铸管 | 10~80 |
| 钢管 | 50~65 | 铝硅合全套 | 80~120 |
注意:理论上G取20即可使筒、管形铸件成形,但实际选用数值远高于此,如上表所示。
方法三:凯门公式
n:铸型转速(r/min);
R:铸件内表面半径(m);
C:综合系数,可按下表查询
表三:凯门公式综合系数速查表
方法四:非金属铸型转速计算公式
n:铸型转速(r/min);
P:非金属铸型能承受的最大离心压力(MPa),可表四查询;
γ:合金密度(kg/m^3);
R外、R内:铸件外径与内径(m)。
表四:非金属型转速计算最大离心压力P值速查表
| 砂型 | 组芯造型 | 陶瓷型 |
|---|---|---|
| 0.003~0.004 | 0.004~0.006 | 0.006~0.008 |
该计算公式主要考虑确保铸型不因离心力而受损,因此大于该公式计算结果的转速,可能会带来铸型损坏的风险。
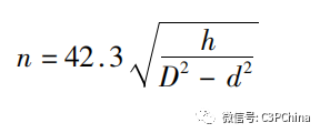
方法五:根据铸件内孔上下允差计算铸型转速
n:铸型转速(r/min);
P:非金属铸型能承受的最大离心压力(MPa),可表四查询;
γ:合金密度(kg/m^3);
D、d:铸件内孔允许的半径(m)。
立式离心铸造中,旋转轴为竖直方向,因此,如转速不足,可能导致铸件内孔孔径存在上下差异,实际取用转速需大于所计算的转速。
以上五种计算公式中,除了康斯坦丁诺夫公式是精确推到之外,其他公式均为经验公式,具有较强的适用性约束条件,而且假设与系数选择有很大的取用空间。通常认为,转速差异在小于15%的偏差时,一般不会对浇注过程和铸件质量产生明显影响。
由于历史问题,我国与前苏联采用康斯坦丁诺夫公式计算转速较多,欧美国家采用布鲁左夫公式与凯门公式较为普遍。
参考
^谢应良. 典型铸铁件铸造实践 [M]. 北京:机械工业出版社,2013.
^孟欣等编委会. 离心铸造新工艺新技术与铸件质量控制及检验实务全书 [M]. 北京:北方工业出版社,2006.
^杨为勤. 大型壁厚螺母的离心铸造工艺研究 [J]. 铸造,2010(7):695-699
工程师必备
- 项目客服
- 培训客服
- 平台客服
TOP




















