提升全电动注塑机料筒温控系统的实用方法——CNC 人工蜂群算法
 2022年2月14日 17:28
   2022年2月14日 17:28引 言
全电动注塑机的动力机构与传统注塑机相比,其动力系统从液压系统换成了伺服电机系统,这使其传输效率更高、更环保、注塑精度更高、响应速度更快[1 -2] 。但是,其对于控制系统的要求要比传统的液压系统高[3] ,全电动注塑机整机结构如图 1 所示。由图 1 可知,左边为全电动注塑机的合模装置,右边为注射装置,一般的全电动注塑机整体结构均由这两部分组成。料筒在注射装置中,物料从常温的状态到加热至高温状态,再经过压射、保压、成型,这些过程中的温度控制均会直接影响塑料制品的质量,温度过高容易造成气泡,温度过低容易增大注塑机扭矩 [4 -5] 。
与传统注塑机的控制系统相似,全电动注塑机的温度闭环控制使用比例积分微分(PID)控制算法,此算法不仅简单实用,而且能够使用其他的算法对其进行优化。因为只使用 PID 算法对于强耦合性、大时滞性的注塑机温控系统进行控制,显然是不现实的,超调量和调节时间必定较大。
图 1 全电动注塑机整机结构图
目前,常用的智能算法有粒子群算法、模糊神经网络算法和遗传算法等 [6] 。但是,这些算法因其特定的局限性均无法获得较好的控制参数,例如,粒子群算法易早熟,神经网络算法需要大量样本训练,遗传算法容易陷入局部极值等[7 -8] 。文章提出循环交换领域人工蜂群算法(CNC-ABC),该方法不仅可以有效解决上述算法的问题,还能够更进一步提升注塑机料筒温控系统的控制性能。
图 2 料筒电加热模型示意图
一、全电动注塑机料筒电加热模型的建立
通常,全电动注塑机的加热方式采用电加热块加热的模式,物料进入料筒时均是低温物料,经过电加热块的加热、前后物料的导热、料筒壁的散热、螺杆的摩擦剪切等操作,当物料最终到达压射口时,要使其处于一个恒定高温的状态,这是一个非线性且较为复杂的过程,需要对其简化研究。
料筒简化的热平衡等式,如式(1)所示
式中:M 为电加热块的质量;C 为系统的比热容;T i 和T i -1 分别为 i 时刻和 i -1 时刻的电加热块的温度值;H为料筒的热传递系数;S 为料筒的截面积;Q i 为 i 时刻输送到电加热块的热量。
纯阻性电加热块的发热量仅与电压和阻值相关,如式(2)所示。
式中:t 为时间的累计值。
要想得到温度的变化随电压的变化,需对式(2)取微分,获得温度变化值随电压变化的关系,如式(3)所示。
加入惯性环节,拉欧拉斯变换可以得出系统的传递函数,如式(4)所示。
式中:K 为比例系数;T 为时间常数;s 为复变量;τ 为滞后系数
[12] 。
针对 MA1600 海天注塑机,对系统进行曲线拟合[13] ,通过多组数据得出系统最终的传递函数,如式(5)所示。
二、人工蜂群算法的引入
人工蜂群算法(ABC),蜜蜂采蜜本来有其特定的规律,除了蜂王之外其余均是工蜂,但是,为使蜂群算法为研究所用,人为将工蜂分为引领蜂、跟随蜂和侦查蜂,这 3 种蜂分别担任不同的角色,引领蜂负责确定蜜源,跟随蜂跟随引领蜂,丢失蜜源的引领蜂变为侦查蜂[14] 。
对于具体的问题进行优化,将解的个数看做寻找蜜源的引领蜂,蜜源花蜜的数量看做解的适应度值。与一般的群体智能算法类似,种群的初始阶段先规定种群规模 N,将这个种群映射到 D 维空间中,如式(6)、(7)所示。
式中:i 为第 i 个解;d 表示有 d 个待优化的解;ub、lb 表
示解的上下限取值。
初始化种群之后,蜜蜂在解空间内对解寻优,迭代计算适应度值,可以理解为引领蜂对蜜源进行搜索,寻
找到最优的蜜源,而最优的蜜源即花蜜数量最多的蜜源。
引领蜂通过跳八字舞的形式将蜜源信息传递给跟随蜂[15 -17] ,实际的算法直接将信息传递,不存在信息交互的障碍,无需跳舞,跟随蜂得到所有引领蜂传递过来的蜜源信息后,对蜜源信息进行筛选,筛选方法如式(8)所示,即为通常所说的二次寻优。
式中: j 和 k 从{1,2,. . . ,d}之间随机取值,r ij 取值为rand( -1,1)。
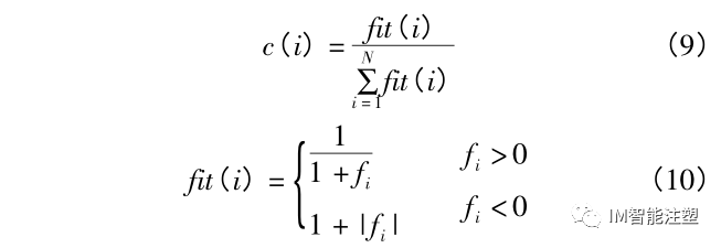
最终食物源也就是最优的蜜源被选择如式(9)、(10)所示。
式中:c 表示第 i 个蜜源被选择的概率;fit(i)和 f i 分别为编号为 i 的解的适应度函数值和目标函数值 [18 -19] 。
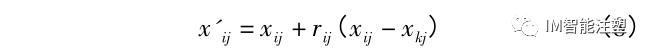
在人工蜂群算法迭代过程中,必然有蜜源被选择,有蜜源被放弃,这会使部分引领蜂变为侦查蜂,侦查蜂会按照式(11)产生新的解,来寻找新的蜜源[20] 。
式中:x min,j 和 x max,j 分别为第 j 维空间里的最小解和最大解。
侦查蜂重新寻觅蜜源体现出人工蜂群算法的全局性,跟随蜂的二次寻优则体现了人工蜂群算法的局部搜索能力,表明算法的全局遍历能力和局部搜寻能力均较强。但是,仍存在一个问题,侦查蜂对新的解(蜜源)的探索过程是通过随机的方法完成的,这种算法会导致寻优的速度较慢,影响注塑机料筒温控系统的快速性。
在塑机料筒温控系统研究领域中,为加快算法的收敛速度,引入了循环交换领域算法(CNC-ABC)来增大解(蜜源)的搜索范围,让引领蜂在这个领域内进行搜索。
CNC 人工蜂群算法可以表示为将子集中的解进行交换(即将种群规模为 N 的解进行依次交换),例如,将 x 1 、x 2 、…、x N 的解中 x 1 与 x 2 做交换,x 2与 x 3 做交换,x N -1 与 x N 做交换,如图 3 所示。使用式(12)表示。
图 3 交换解过程
通过这样的交换方式,期望得到的评价函数比原来更加优良,即能够满足式(13)。
这样进行交换才有意义。
对于侦查蜂而言,当算法停滞按照式(11)来寻找新的蜜源,算法过于随机,不利于最终 PID 寻优的收敛,因此,在 CNC 人工蜂群算法中,通过使用混沌搜索来解决此问题,将式(11)中的随机数使用混沌序列替代,提高算法收敛的速度。当侦查蜂使用 Logistic 混沌映射方法产生新的蜜源时,步骤如下:
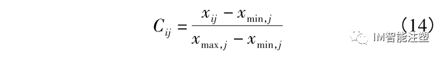
(1)构建混沌序列的初始值,按照式(14)生成。
式中:C ij 为混沌初始值,从式(14)中可以看出,其为一个在[0,1]之间的数值。
(2)根据式(15)构建混沌序列。
(3)利用混沌序列按照式(16)构建新的解,比较其是否优于原来的解,若优于原来的解,就使用混沌序列的新解替代原来的解,否则保留原来的解。
(4)迭代算法,直到满足规定的最大迭代次数,不
满足则回到步骤(2)继续迭代。
CNC 人工蜂群算法能够优化引领蜂、侦查蜂的寻优过程,提升收敛速度和寻优的准确度,特别适合于需要快速寻优的注塑机料筒温控系统。将 4 种智能算法与 CNC 人工蜂群算法的收敛速度进行比较,收敛速度仿真框图,如图 4 所示。
分别将粒子群算法(PSO)、遗传算法(GA)、蚁群算法(ACO)、人工蜂群算法(ABC)与 CNC 人工蜂群算法进行对比,种群规模统一设定为 50,迭代 200 次,引领蜂寻优解次数设定为 35 次,侦查蜂混沌迭代次数设定为 30 次,查看超调量、调节时间、目标函数值,如表1 所示。
从表1 中可以看出,CNC 人工蜂群算法在超调量、调节时间、目标函数的指标上均优于其余 4 种群体智能算法。
图 4 收敛速度仿真框图
图 5 为这几种算法的收敛速度对比,从图 5中可以看出,CNC 人工蜂群算法的收敛速度明显优于未进行优化的人工蜂群算法和智能群体算法(包括GA 遗传算法、ACO 蚁群算法和 PSO 粒子群算法),迭代17 次算法就可以收敛,而其余4 种算法至少迭代20次才能够收敛,因此,CNC 人工蜂群算法特别适合要求快速响应的注塑机料筒温控系统。
图 5 收敛速度曲线
三、CNC 人工蜂群算法 PID 控制器设计
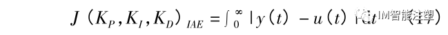
CNC 人工蜂群算法 PID 控制器示意图,如图 6 所示。从图 6 中可以看出,原来的全电动注塑机温控系统的控制系统 PID 参数直接输出,将 CNC 人工蜂群算法嵌入其中,仿真平台中会使用模块或“. m”来实现算法的嵌入,在每次输出 PID 参数之前,使用 CNC 人工蜂群算法对原来的参数进行优化,选择绝对误差积分(IAE)对输出的参数进行评价,评价函数如式(17)所示。
例如,当施加一个新的较大温度输入时,按照原来的温度调节闭环 PID 参数,P、D 的数值会非常大,I 参数会随着时间的积累越来越大,P、D 参数会逐渐减小,这会使超调量和调节时间均较大。但是,评价函数的存在会使 CNC 人工蜂群算法在输出 PID 参数前对其进行进一步的处理,从而避免过大的超调量和较长的调节时间。
图 6 人工蜂群 PID 控制器示意图
在注塑机的闭环控制系统中,传递函数为式(5),CNC 人工蜂群算法用于优化注塑机温控系统的PID 3 个参数,即解的维度是三维的,其优化过程如下:
01
给定注塑机温控系统要达到的温度值,当注塑机温控的比例积分微分参数输入后,对三维解空间x i 进行初始化,计算初代解的适应度值。
02
引领蜂按照 CNC 算法在领域内对解进行循环交换,按照式(12)、(17)分别计算新的解和其对应的目标函数值,其中,y(t)和 u(t)分别为系统的输出和输入。
03
使用式(9)计算被选择概率,跟随蜂根据计算出来的不同解概率值,在邻域内对解进行搜索,然后,根据式(8)、(17)分别计算解和其对应的目标函数值。
04
根据计算出的目标函数值选择优良的解,此时产生的 PID 参数未经蜂群算法的再次寻优,不是最优的解。
05
从引领蜂变为侦查蜂的个体进行混沌搜索,产生新的解。
06
真平台要求决定,不同的注塑机温控系统仿真平台不
尽相同,例如,可以规定一个较小的数值 0. 01),未达到,需返回步骤(2)继续迭代。迭代算法,查看是否满足输出要求或达到迭代次数。输出要求是系统的输出 Y(s)与输入 U(s)的差值是否达到规定的最小差值(最小差值视注塑机仿真平台要求决定,不同的注塑机温控系统仿真平台不尽相同,例如,可以规定一个较小的数值 0. 01),未达到,需返回步骤(2)继续迭代。
07
输出最优的 PID 参数给本次温度调节使用,系统达到新的稳态温度,等待下一次的温度调节给定值。
四、实验仿真及产品小批验证
建立智能 PID 控制器仿真平台,施加 0 到 1 的阶
跃输入,如图 7 所示。图 8 是分别对 CNC 人工蜂群算
法、人工蜂群算法、遗传算法构成的 PID 控制器进行阶
跃输入。从图 8 中可以看出,CNC 人工蜂群算法的快
速性和准确性均优于其余 2 种算法。
图 7 智能 PID 控制器仿真平台
图 8 阶跃激励控制效果图
对 MA1600 海天注塑机进行小批量验证,在一种模具中,使用同一种熔融料聚乙烯进行压射成型,每一种算法压射成型 200 个制品,观察制品的成型次品率,如表 2 所示。
从表2 中可以看出,相对于其余4 种算法,CNC 人工蜂群算法的次品率在 1% 之内,超调量大幅降低,调节时间也比其余 4 种算法减小了至少 4 ms,完全优于其余的算法,充分显示了算法在实际应用中的良好性能。
五、结论
在全电动注塑机料筒温控系统中引入 CNC 人工蜂群算法,将人工蜂群算法嵌入到闭环控制系统中,加入循环邻域算法提升寻优的速度,收敛速度从至少 20次缩短到 17 次以内,明显优于其余 4 种算法,充分证明了加入循环邻域算法的必要性。通过仿真实验发现,算法能够将 PID 闭环控制系统的调节时间控制在15 ms 之内,超调量控制在 3% 之内。并且,小批实验次品率的大幅降低也验证了算法的优良性能。
 
 工程师必备
-  项目客服
-  培训客服
-  平台客服
TOP
 
 



















