基于节点位移的应力强度因子外推法
2022年2月28日 13:10浏览:3899 评论:4 收藏:7
今天木木给大家分享的是基于节点位移求解应力强度因子,相比于上一期出的基于单元应力求解应力强度因子得出的结果更加接近解析解。这一期包括以下内容:(1)简要讲述INP文件(2)运用最小二乘法进行线性拟合(3)对裂尖数据进行特殊处理。
例题及解析解可见:基于单元应力的应力强度因子外推法
位移外推法公式:
部分INP及Dat文件如下:(可在易木木响叮当号内回复:位移外推法)这里代码敲不上!
注意这里编写INP文件的风格,通过输入四个关键点的坐标即可自动生成节点编号与坐标。
需要输入裂尖后端的位移,所以建立一个Set,
通过ABAQUS输出以上节点的坐标和U2位移到.dat文件中:
运用最小二乘法进行线性拟合
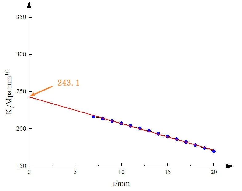
通过以上操作即可得到我们想要的数据:(r和U2),利用最小二乘法进行线性拟合得出r=0时的应力强度因子K。利用最小二乘法线性拟合的方法有很多,Origin和Matlab都可以实现,根据自己喜好任选其一,木木选用Origin的Speedy fit工具箱进行最小二乘线性拟合:
与解析解(
对裂尖数据进行特殊处理
我们从图中看,靠近裂尖位置的应力强度因子仍然有很多波动,于是剔除掉裂尖数据,在进行拟合计算:
这次的结果与解析解相对误差仅为-0.2%。
以上算例说明:剔除裂尖数据可以增加计算结果的精度。
以上就是木木今天所分享的内容~期待我们下次再见!
技术邻APP
工程师必备
工程师必备
- 项目客服
- 培训客服
- 平台客服
TOP
3
4
7




















