利用CFD(计算流体动力学/流体仿真技术)判断液力扭矩系数
2022年3月29日 17:57
对于直角回转阀门而言,扭矩是指转动阀门的关闭元件(阀球、阀瓣、旋塞)或将其保持在特定位置所需的力矩。确定阀门的扭矩,对决定执行器的规格相当重要。与转轴总扭矩相关的主要因素包括阀座、轴承、填料摩擦力矩,以及流致液力扭矩。本文将探讨如何利用CFD(计算流体动力学/流体仿真技术)计算液力扭矩。
液力扭矩(Td)是一种由流体导致的,而且是纯粹因流体作用在阀门转动零件上而产生的扭矩。液力扭矩是和以下各项都相关的函数:阀门设计、阀门开度、压降和流体方向(对偏心阀而言)。业界通常的做法是利用液力扭矩系数(Cdt)计算相关运行压力下的液力扭矩。
液力扭矩系数是液力扭矩的无量纲表达式,它是阀体两端静压降和阀门尺寸决定的。液力扭矩系数的计算公式:
按照常规做法,动态扭矩(和流量)系数是通过阀门流量回路试验来确定的。该试验通常以水为试验介质,在均衡的行进流速,且完全湍流(全紊流)、无空化流的条件下,在长而直的管道中进行。
液力扭矩的计算方法是开启扭矩和关闭扭矩的平均值,因为这两个扭矩值相加,可以抵消掉摩擦扭矩。压降的测量规程是上游侧距阀门端口两倍阀门直径,下游侧距离阀门端口六倍阀门直径,分别在不同流率条件下,针对不同的阀门开度进行测量。
对于大型高压阀门,由于缺乏专门的试验设施,其动态扭矩是通过等比例缩小的产品原型估算的。但随着电脑技术的发展,可以利用计算流体动力仿真软件判断各种流体系数。
计算流体动力仿真技术
过去数十年来电脑技术不断地飞速发展,计算流体动力(CFD)已经成为工程设计的重要工具。CFD利用数字技术解算流体流动方程,不需要阀门的实体模型。流体的流动可以用电脑计算实现模拟。流体动力仿真模拟的步骤通常如下:
预处理
· 通过CAD软件的几何参数获取流体体积信息。
· 将相应体积的虚拟流体分割成有限数量的单元,以便用数字方式解算流体流动方程。
· 设定模型的边界条件。
解算
· 利用高性能电脑进行迭代计算,解算数字化的流体流动方程。
后期处理
· 最后通过后期处理,获取仿真计算的量化数据。
计算流体动力(CFD)技术利用有限单元或有限差分法,迭代解算偏微分形式的控制方程(驱动方程),从而获取流速、质量流量、压力、温度、湍流等参数,以及其它流体特性参数。这种数字仿真技术需要先将流体分割成有限数量的单元,以数字形式解算每个单元对应的偏微分控制方程,从而获知特定参数条件下,特定变量的近似值。
强大的工具
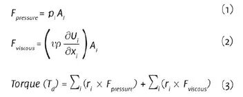
图1:流体应力作用在阀瓣上某个有限元的表面。图片来源:simulationHubAutonomousValveCFD
图1表示的是粘度和压力作用在某个有限元表面,以及应力作用点与阀瓣转轴之间的径向距离。在特定的开度下,通过计算转轴受到的总粘度扭矩和压力扭矩,我们就能获知作用在阀门动部件上的总扭矩。
“i”是接触到阀瓣的流体单元数量,Fpressure(压力)和Fviscous(粘度)分别是作用在阀瓣表面单元上的压力和粘滞应力。“r”是阀瓣表面单元与转轴之间的径向距离。“v”是流体的动粘滞率(运动粘度)。“p”是流体密度,“u”是流体流速,“x”是流动方向上的表面线性尺寸。“A”是表面单元的表面积。
Fpressure(压力)和Fviscous(粘度)分别是作用在阀瓣表面单元上的压力和粘滞应力。“r”是阀瓣表面单元与转轴之间的径向距离。“v”是流体的动粘滞率(运动粘度)。“p”是流体密度,“u”是流体流速,“x”是流动方向上的表面线性尺寸。“A”是表面单元的表面积。
计算流体动力(CFD)技术看来的确是强大的工具,能估算出液力扭矩和性能系数,但它并不是所有人都能轻松驾驭的。传统的CFD技术需要有相关技术的支 撑,比如流体体积提取、网格划分、设置边界条件。此外还需要进行后期处理,以便获得准确且有用的结果。另外,CFD仿真软件需要高性能电脑的支撑。
案例分析
下面将用CFD技术研究蝶阀在若干情况下的液力扭矩系数。
案例1:基于阀门偏心度
一台同心蝶阀和一台双偏心蝶阀,两者尺寸相同。自20°至90°,每次间隔10°,依次计算两台阀门在不同开度下的液力扭矩系数。
仿真模拟的结果(见图2)表明,同尺寸的同心阀和偏心阀,它们的液力扭矩系数是不相同的,而且最大值大约发生在开度60°至80°之间。由此可见双偏心蝶阀的扭矩是大大小于中线蝶阀的。
案例2:基于流向
对于同心蝶阀而言,Cdt(液力扭矩系数)曲线特性和流向之间没有关联,而且不会随流向改变而改变。但双偏心蝶阀的情况就不同了,由于其独特的几何结构,一旦流体方向从阀座侧变为阀轴侧,Cdt就会急剧改变。仿真分析的结果(见图3)表明,偏心蝶阀的Cdt是由流体的流向决定的。此外,当开度在80°左右,流向为转轴上游方向时,Cdt会急剧改变。
案例3: 朝向和弯头
液力扭矩纯粹是由流体作用在阀瓣上产生的,因此如果上游流体受到任何干扰,就会大幅改变液力扭矩系数。上游流体受干扰的原因主要是管道元件(例如弯头、泵、三通接头等)。下图是蝶阀和弯头在三种不同安装配置下的不同表现。显然,液力扭矩系数和阀门朝向、弯头和阀门转角密切相关。
自主CFD
对于上述种种技术要求,自主CFD可以利用智能算法和云电脑集群,自动完成上述所有步骤(CAD模型清理、流体体积提取、网格建立、解算、后期处理)。如此一来,设计师可以集中精力研究零部件的设计,所有的CDF步骤都由智能算法独立落实。专门为阀门设计师开发的simulationHub阀门自主CFD,就是这样一种工业专用的自主CFD应用软件。使用时只要将设定的几何形状和参数输入电脑,例如阀门开度参数和流体流向等,然后就可以运行软件了。与之配套的还有专门开发的一款app,可以将不同开度时的仿真结果用Cv、Kv和Cdt的形式表达出来。
总结
上述案例表明,阀门的液力扭矩系数是由多项因素共同决定的,包括系统状况、阀门设计、阀瓣位置和转动角度等。而传统的流量回路试验虽能判断操作扭矩,但对阀门设计师而言,它的分析能力还是缺乏足够的深度。
显然, 计算流体动力(CFD)技术不仅能解算动态扭矩,还能在阀门投产前分析出设计中的差错或不足之处。不仅如此,CFD技术还在不断发展,例如基于人工智能的自主CFD,以及更强大的计算能力等。可以预见,阀门设计将会迎来革命性的进步
工程师必备
- 项目客服
- 培训客服
- 平台客服
TOP




















