科研分享 | 单桩基础海上风力发电机的模态阻尼识别
2022年4月30日 17:1301
许多大型海上风电场项目使用单桩基础来实现经济高效的设计。在这些单桩结构的设计过程中,由于风荷载和波浪荷载的共同作用而产生的疲劳是需要考虑的最重要问题之一。
结构共振与风力涡轮机动力的重合可能导致大幅度应力和随后的加速疲劳。正确估计风力发电机的阻尼比非常重要,因为共振时的振动振幅与阻尼比成反比。海上风力发电机第一弯曲模态的整体阻尼包括空气动力阻尼、由结构装置(如调谐质量阻尼器)产生的阻尼和附加阻尼(如结构、水动力和土壤阻尼)的组合。与陆上结构相比,附加阻尼进一步受到土壤阻尼和水动力阻尼等效应的影响.现有的分析方法可用于估算静止和旋转风力涡轮机的气动弹性阻尼。然而,需要实验结果来验证和/或改进分析方法。
02
在本文中,通过实际测量和仿真确定海上风力发电机的阻尼值。海上风力涡轮机总阻尼的估算(考虑空气动力、水动力和土壤荷载的影响)给出了风力涡轮机稳定性特征的定量视图。考虑了超速停机和环境激励两种工况。
本篇推送摘录其中的超速停机工况。
03
超速停机工况测试模态阻尼
图1 传感器的布置
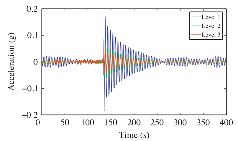
图2 实测时域数据
图3 FA方向3个不同水平上获得的加速度的快速傅里叶变换
图4 应用最小二乘频域估计的稳定图
04
05
1、MIMO Modal Parameters Identification in Frequency Domain.
https://ww2.mathworks.cn/matlabcentral/fileexchange/82380-mimo-modal-parameters-identification-in-frequency-domain?s_tid=FX_rc1_behav
2、Operational modal analysis with automated SSI-COV algorithm
https://ww2.mathworks.cn/matlabcentral/fileexchange/69030-operational-modal-analysis-with-automated-ssi-cov-algorithm?s_tid=FX_rc2_behav
3、B.Peeters,H.Van der Auweraer,P.Guillaume,J.Leuridan The polymax frequency-domain method: a new standard for modal parameter estimation?Shock and Vibration,11 (3–4) (2004), pp.395-410
4、Parloo, E., 2003. Application of Frequency-Domain System Identification Techniques in the Field of Operational Modal Analysis, Ph.D. Thesis.
5、Verboven, P., 2002. Frequency-Domain System Identification for Modal Analysis. Ph.D. Thesis.
广告
关于CELab
-CELab提供“试验服务、工程应用、软件模拟、论文润色”方面的服务
-具体分类服务信息也会结合微信小程序“CELab”予以展示(点击链接-)
-若有兴趣加入我们,请添加联络员微信:celab001
-对创业与科研服务有兴趣的你,将获得创业经验/科研与实践本领/生活补贴,优秀者有机会成为项目合伙人。
-CELab长期征集原创内容,内容在公众号登出后给予报酬,详细内容点击链接(征稿50-500元/篇|土木经验观点原理|CELab)
公众号其他文章阅读
工程师必备
- 项目客服
- 培训客服
- 平台客服
TOP




















