熟悉了这些,通吃 COMSOL一切思路!
2022年9月26日 11:44超导带材交流损耗
- COMSOL -
目前,高温超导材料在电力、轨道交通、航空航天及医疗设备等方面的研究越来越多,而交流损耗是判定超导材料性能优劣的重要参数。
有限元仿真软件可以方便快速地得出不同运行环境、不同结构参数下高温超导带材的交流损耗规律,为确定超导电力设备的最优结构参数、交流损耗实验测试提供了理论基础,避免人力、财力、物力各方面的浪费。
今天还是通过COMSOL Multiphysics 有限元仿真软件,利用将求解域划分成小的细致网格进行求解的有限元思想,从单根超导带材的二维仿真模型入手,研究在仅通入交流传输电流时的交流损耗。
Vol.01 H方程
计算交流损耗的方法有很多,使用最多的是磁矢量 - 电标量方程( A - V 方程) 、电矢量 -磁标量方程( T - Ω 方程) 和基于磁场分量的 H方程,H 方程相比于其他两种计算方法,具有变量少、迭代速度快、收敛性高的优点,所以这次将用 H 方程法在二维中进行计算分析。
在 COMSOL Multiphysics 有限元仿真软件中建立一根超导带材的二维计算模型,因变量有两个为 H = [ Hx,Hy ],对传输电流进行只在沿 z 轴方向上流动的假设,因此,电流密度和电场强度只有z 方向的分量,即 Jz 和 Ez。
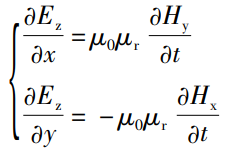
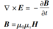
根据法拉第电磁感应定律和本构方程有:
可以写为:
根据全电流定律有:
可以写为:
根据欧姆定律有:
综上,可以推出:
Vol.02 参数设置
仿真参数设置都是以上海超导生产的第二代高温超导带材为依据,在 COMSOL Multiphysics 有限元仿真软件中建立一根超导带材的仿真模型。
上海超导带材的参数见表 1。由于生产厂家考虑安全因素给定的临界电流为多次实验测得的临界电流最小值,并不能真实地反映超导带材临界电流,首先对超导带材进行临界电流测试,实验得到超导带材的临界电流为 598 A,拟合的 n值为 30,仿真模型中的参数设置采用实验所得数据。
表 1 上海超导带材测试样品参数
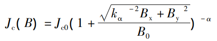
建立单根超导带材的二维仿真模型时,选择空间维度为二维,使用一般形式的偏微分方程的物理场,研究形式为瞬态,以上海超导生产的第二代高温超导带材的规格为设置参数的依据,利用COMSOL 中的几何绘图部分绘制宽度为 10 mm,厚度为 0. 1 mm,得到扁平的矩形带材结构,在带材外设置足够大的圆形空气域。设置临界电流为598 A,n 值为 30,频率为 50 Hz,真空磁导率为1. 256 6 × 10 - 6,空 气 电 阻 率 为 1 Ω · m。基 于Kim 模型,考虑外加磁场对临界电流密度的影响,有经验公式
Vol.03 网格划分
网格的剖分精度和求解时间往往是相互制约的,在对网格进行剖分时,既要保证求解结果的准确性,又要考虑计算时间不宜过长,因此需要对网格剖分进行设置。对于计算求解的超导带材区域进行细致的网格剖分,以保证计算结果尽可能精确,而对于设置空气域,为了缩短仿真的计算时间,对空气域进行常规的网格划分,这样可以在保证计算精度的同时满足计算时间的要求。
一根超导带材的二维网格剖分如图 1 所示,超导带材模型长 10 mm,宽 0. 1 mm,对超导带材设置长度方向分布单元数为 100,宽度方向分布单元数为 10 的映射网格,对空气域采用常规的自由三角形网格剖分,这样在保证原有网格剖分精度基础上,细致剖分超导带材区域网格,保证计算准确性,缩短仿真时间。
图 1 一根超导带材的网格剖分图
Vol.04 物理场
1. 一般形式偏微分方程参数设置
在 Comsol 二维仿真模型中 PDE 模块的一般形式偏微分方程形式为:
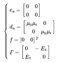
这里,u 是非独立变量的矢量形式,ea 是质量系数矩阵,da 是阻尼系数,f 是源项,Γ 是通量向量。需要指出的是 Γ、ea、da 和 f 是空间坐标 x、y和 z、求解矢量 u、u 对空间坐标 x、y 和 z 的导数以及 u 对时间 t 的导数。得到:
由于本模型为一阶方程,因此质量系数矩阵ea 取 0,得到:
综上,PDE 模块的控制方程可以写为
2. 逐点约束条件设置
超导带材在通入直流电流时不会产生交流损耗,此次将分析超导带材通入交流传输电流时的交流损耗变化规律。定义正弦交流传输电流,如下式:
其中,Im 为从 0.1-0.9Ic 以 0.1Ic 为间隔变化的交流传输电流的幅值,f 为交流传输电流的频率,t 为一个周期内的任意时间。
对超导带材的横截面进行电流密度的面积积分,施加逐点约束条件:
其中,J 为超导带材的电流密度,S 为超导带材的横截面积。
Vol.05 结论
首先推导了求解交流损耗 H 方程法的数值计算公式,然后利用 COMSOL Multiphysics 有限元仿真软件 PDE 模块建立单根超导带材仿真模型,并介绍模型参数、网格剖分和物理场设置等流程和细节,系统分析不同幅值交流传输 流下的磁场分布和交流损耗。仿真结果显示,磁场强度较大的位置在超导带材的两端,并向中间区域逐渐减小。随着通入交流传输电流的幅值增加,超导带材内部及周围空气的磁场强度、磁场穿透深度和交流损耗也有了明显的增加。
本文来自:COMSOL仿真交流
—END—
工程师必备
- 项目客服
- 培训客服
- 平台客服
TOP




















