交流电磁场检测技术仿真分析
近年来,随着能源需求不断增加,海上石油勘探和开发已经成为一种集资金、技术、风险于一体的新兴产业,海上能源开发的有效工具就是海上石油平台。海洋平台体积大、造价贵、结构复杂,与陆地设施相比,所处的海洋环境恶劣,容易受到台风、巨浪、海底腐蚀、海啸等自然环境的影响。目前我国部分海洋平台进入了服役的中后期,迫切需要对这些海洋平台进行安全评估和可靠性分析。
目前,主要的水下无损检测技术有水下成像检测、水下超声波检测、水下磁粉检测等。水下成像检测对水质要求比较高,当水质浑浊的情况下难以发现缺陷。水下超声波检测主要针对焊缝内部缺陷的检测、水下钢结构的检验和评价,通常需要水下和陆地上同时进行检测,需去掉待测试件表面涂层。水下磁粉检测对水流要求严格,不能应用于流速过快的水下,需要检测对象表面光滑。
交流电磁检测(Alternating Current Field Measurement,ACFM)技术结合了交流电位降(ACPD)和涡流检测(ET)两种方法。检测原理为均匀交变磁场在被测工件表面产生均匀的感应电流,当工件表面存有缺陷时,由于工件与空气电导率不同,感应电流绕过缺陷并在端面处产生聚集,缺陷周围磁场产生二次畸变。根据二次磁场畸变信号即可对工件表面的缺陷定性和定量分析,实现快速扫查。
与其他水下无损检测技术相比,ACFM技术具有以下优点:
(1)ACFM技术对水质没有要求;
(2)ACFM技术产生的磁场能够很容易穿透金属上面的涂层,可对不处理涂层的工件进行检测;
(3)ACFM技术通过检测可以判断缺陷长度与深度,实现对缺陷进行定量分析。
综合考虑水下海洋平台的检测环境与检测成本,交流电磁场检测技术是解决海洋平台石油输送管道和关键结构最具潜力的技术方法。
ACFM技术的研究是建立在分析待测试件表面感应电流及磁场分布上的,然而,感应电流和磁场分布难以直观体现。此外,ACFM技术检测过程中的影响因素众多,需要分析不同影响因素对接收信号的影响规律,完全通过试验手段设计优化ACFM传感器并进行缺陷定量,增加耗材与时间成本。
通过多物理场仿真软件建立ACFM模型,仿真模型将空间矢量磁场直观展示在我们面前,加深我们对ACFM技术原理的掌握。模型建立完成后只需修改参数,即可快速准确地获得各参数影响规律,为传感器参数优化和缺陷定量分析提供便利。不光节省了材料与时间成本,还对研究路线具有重要的指导意义。此处提供一个多物理场仿真案例。
交流电磁仿真
1、模型建立
根据ACFM技术原理建立多物理场三维仿真模型。考虑ACFM传感器密闭内部填充为空气,待测试件周围介质为水,而电磁信号在水与空气衰减情况相似,为简化模型设置空气域,仿真模型如图1所示。
图1 ACFM仿真模型
图1所示ACFM仿真模型主要包含绕组激励线圈、激励探头磁轭、带缺陷的试件、检测线圈和空气域等。
完成几何模型建立后,对模型各部分进行材料属性赋值和网格划分。关键参数设置完成后,进行频域计算。根据仿真模型计算结果提取裂纹区域的感应电流,结果如图2所示。
图2 电流密度分布
图2可以看出磁轭附近的感应电流呈涡旋状,磁轭中心部分电流沿y轴方向流动。试件上离缺陷较远处电流分布均匀,缺陷处电流绕过缺陷间隙并在其两端聚集,缺陷两端电流偏转方向相反。
2、特征值提取
裂纹缺陷引起感应电流发生偏转,会导致磁场分布发生畸变,提取裂纹所在区域不同方向磁通密度,绘制磁通密度曲面图,如图3所示。
图3 磁场分布
图3(a)为磁通密度分量Bx,在缺陷两端感应电流密集形成磁场波峰,缺陷中央部分感应电流稀疏形成磁场波谷。图3(b)为磁通分量By,沿y轴方向流过感应电流在缺陷处发生偏转,在缺陷四个端点处产生聚集。由于偏转方向相反,感应的磁通分量方向也相反,磁通波峰波谷交替出现。图3(c)为磁通密度分量Bz,裂纹左端面感应电流顺时针方向偏转,裂纹右端面感应电流逆时针方向偏转。根据右手定则,左端面感应出磁通方向向下的波谷,右端面感应出磁通方向向上的波峰。由于磁通分量By分布对裂纹缺陷表征不明显,不利于后期定量计算,因此在实际检测中采用磁通分量Bx、Bz的分布特征,实现裂纹缺陷的检测以及定量化评估。
3、缺陷检测
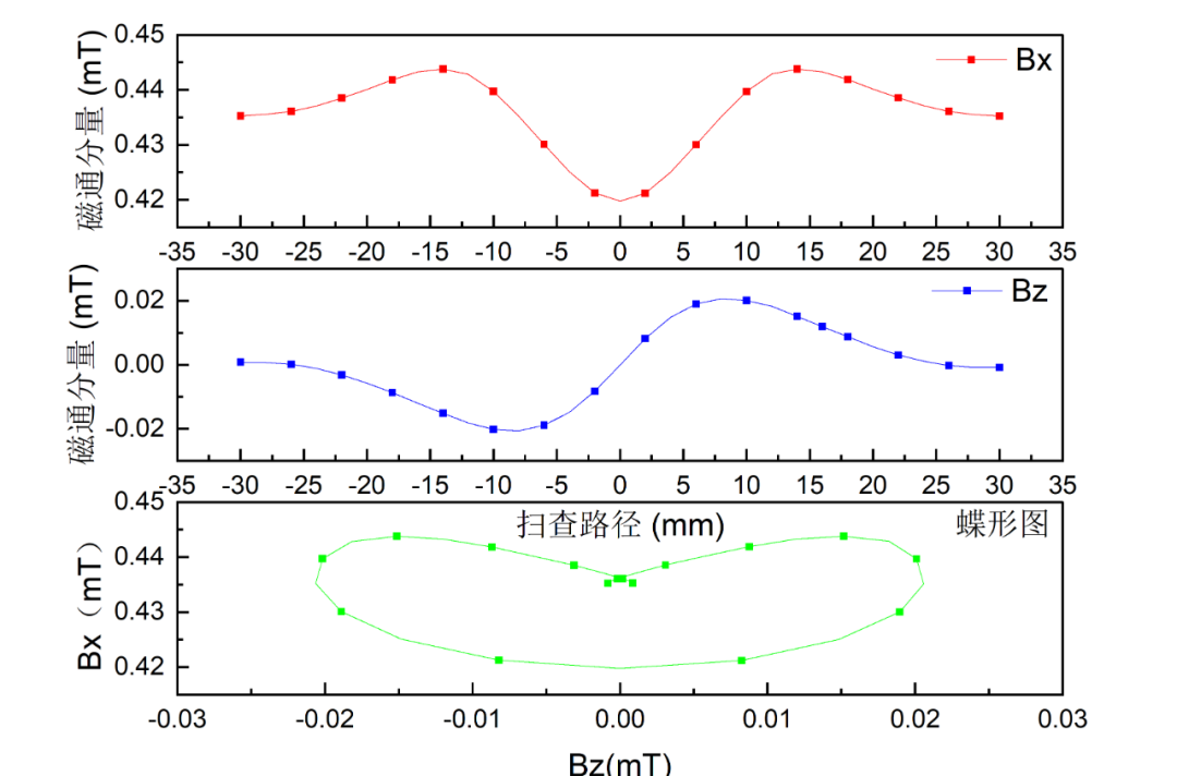
为了直观反映缺陷处磁通畸变情况,采用移动激励探头和检测线圈方式提取不同位置磁通分量,移动扫描过程如图4所示。
图4 移动扫查过程
随着激励探头的移动,检测线圈提取行径路线上的磁通分量Bx、Bz,结果如图5所示。对比图3磁场分布图,图5中磁通曲线Bx出现两个波峰一个波谷。图5磁通曲线Bz在缺陷端面处形成波峰波谷,与磁通密度分布情况相符合。采用磁通曲线Bx、Bz绘制呈蝶形图。通过磁通曲线Bx、磁通曲线Bz和蝶形图可以对缺陷进行检测分析。
仿真模型不但可以分析单裂纹检测情况,还可对多裂纹情况进行分析。在试件表面分别设置3个尺寸不同的缺陷,其缺陷尺寸如表1所示。
表1 缺陷尺寸
激励探头沿x轴方向逐一检测缺陷,结果如图6所示。对比不同裂纹磁通曲线,可以看出裂纹长度的改变对磁通曲线Bz信号的波峰波谷出现位置影响明显;缺陷深度的改变对磁通曲线Bx波谷幅值影响显著。
文章来源:市场监管领域数字孪生重点实验室
工程师必备
- 项目客服
- 培训客服
- 平台客服
TOP




















