劲爆COMSOL资源,解决你的痛点
流-热-湿
多物理场耦合
前言
预制舱式变电站作为智能变电站应用中的一种结合新技术、新材料及新设备的综合应用成果,凭借其智能化、标准化、模块化、预制化的技术特点,已逐步推广并投入到当前的工程应用中。
C
O
M
S
O
L
COMSOL Multiphysics® 作为多物理场仿真平台,提供了模拟单个物理场,以及耦合多个物理场的功能和工具。软件自带的模型开发器提供了支持建模工作流程中从几何、材料参数、物理场设置到结果后处理所有步骤的相应工具。
下面利用COMSOL灵活快速的模块化建模功能,采用传热、传质等模块对舱体内外环境所涉及的复杂物理过程进行分析建模,构建气体绝缘变电站(gas insulated substation, GIS)舱全尺寸多物理场耦合分析模型。
多物理场模型
1. 几何模型
以110 kV预制舱式变电站的GIS舱为例进行仿真分析,首先建立全尺寸几何模型,如图1所示。建模时将智能柜、就地控制柜(local control panel, LCP)和GIS管道简化等效处理为不同大小的长方体发热源。电缆终端处于预制舱舱体侧墙外部,拼接处有严密封堵措施,因此在模型中将该部分予以简化处理。为进一步提高计算效率,节约计算资源,利用对称性在模型截面处对模型进行对称处理。
图1 GIS舱仿真几何模型
2. 流场模型
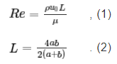
实际工况下,舱体内部的湿空气会在空调及排风口风机作用下形成强制对流,模型中将舱内湿空气视作干燥空气与水蒸气的理想状态混合气体,选用雷诺数Re来描述舱内湿空气的流体运动特征:
式(1)、(2)中:ρ为湿空气密度,取1.121 kg/m3;u0为湿空气平均流速,取1.5 m/s; L为舱体纵截面的特征长度m; a、b分别为舱体纵截面的宽度、高度,取a=1.8m, b=3.6 m;μ为湿空气的动力黏度,取18.448×10-6Pa·S。
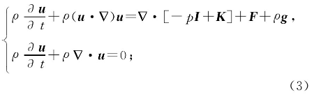
由式(1)、(2)计算可得Re=2.188×105,远大于工程上湍流的临界值(Re=2300),故选用“湍流,k-ε”模型模拟计算舱内湿空气的流体运动。此外,考虑到舱内湿空气的流速相对较低、压力变化相对较小,将其视为不可压缩牛顿流体,并考虑重力场影响,其瞬态数学模型﹝包括质量守恒方程、动量守恒方程(纳维斯托克方程)和能量守恒方程﹞描述如下:
式(3)—(9)中:u为流体流速;p为流体压力,Pa; g为重力加速度常数;I为单位矩阵;K为应力项展开式;F为体积力矢量;k为湍流动能;G为壁距离导数;ε为湍流耗散率;lref为湍流参考长度;lw为湍流长度;μT为湍流黏度;fε、fμ分别为耗散率函数、动力黏度函数;Pk为生成项展开式;σk、σε、Cμ、Cε1、Cε2、σw均为经验常数;t为时间;▽为哈密顿算子;U=(▽ux,▽uy,▽uz),ux、uy、uz为三维空间矢量u的x、y、z轴分量。
3. 热场模型
预制舱舱体与外界环境直接接触,舱体外壳与外界环境空气之间存在热交换,舱体内壁与舱内湿空气之间存在热交换,舱体内部电气设备在实际运行过程中的损耗也会以散发热量的形式与舱内空气及舱壁发生热交换。由于在整个模型域内同时存在固体和流体,选用“固体+流体传热”模型来对传热过程进行模拟计算。其瞬态数学模型描述为:
式中:Cp为定压热容,J/(kg·K);q为热流密度,W/m2;λ为导热系数,W/(m·K);Q为热源项;T为温度,K。
4. 湿度场模型
为充分模拟预制舱内部水分的对流、扩散及一定条件下舱内设备表面及舱壁发生冷凝的具体过程,选用“空气中的水分输送”模型来对水汽传输过程进行模拟计算。其瞬态数学模型描述为:
式中:Mv为水蒸气的摩尔质量,kg/mol; ϕw为相对湿度;cv和csat分别为水蒸气的浓度和饱和浓度,mol/m3;D为水蒸气在空气中的扩散系数,m2/s; gw为蒸汽扩散通量,kg/(m2·s);Z为湿气源项。式(11)从左至右分别为时变项、对流项、扩散项及源项。
多物理场耦合
1. 网格剖分
舱体仿真几何模型的网格疏密程度与计算资源的需求紧密相关,由于舱体内部除固体外均为湿空气域,将固体域以外的空间域网格校准为细化的流体动力学网格,选用自由四面体网格,总网格定点数目为96 826,网格数为552 114。
图2 几何模型网格剖分图
2. 边界条件设定
采用“湍流,k-ε”模型来模拟舱体内部的流场,使用“入口”边界条件作为空调的进风口。依据设计图纸,在图2(a)顶棚处、图2(b)左侧舱壁处设置长方形边界,其出风速度为1.5 m/s; 左侧舱体侧壁上设置有3个通风阀,分别为上部2个事故风阀,下部1个通风阀,使用“入口”边界条件作为通风阀的进气口,其进气速度为0.5 m/s; 右侧舱体侧壁对应设置有3个排风机,分别为上部1个日常排风机,下部2个事故风机,使用“风扇”边界作为排风机的排气口,传递流量为0.05 m3/s。
采用“固体+流体传热”模型来模拟舱体内部的热场,定义空气域为“湿空气”,其余部分均定义为“固体”,舱体内部环境温度初始值设定为35 ℃。对应空调出风口及通风阀进气口,使用“流入”边界条件,设定空调出风口的上游温度值为16 ℃,通风阀进气口处的温度为环境温度;使用“发热源”边界条件,将舱体内的设备柜和GIS管道等效为发热源,热耗率分别为设定为200 W(LCP柜)、100 W(智能柜)、500 W(GIS管道);使用“热通量”边界条件,定义舱壁与环境空气进行热交换的传热系数为2.5 W/(m2·K)。
采用“空气中的水分传输”模型来模拟舱体内部的湿度场,舱体内部环境初始相对湿度设定为80%,对应空调出风口及通风阀进气口,使用“流入”边界条件,设定空调出风口的上游温度值为16 ℃,上游相对湿度为60%,通风阀进气口处为环境温度和环境相对湿度;使用“潮湿表面”边界条件,将舱体内壁、地面和设备柜表面均设置为可在其表面发生蒸发或冷凝效应,设定各表面的蒸发率因子为1 m/s, 初始液态水浓度为0。
3. 计算流程
4. 求解器设定
采用COMSOL所提供非线性求解方法中的向后差分公式(backward differentiation formula,BDF)求解所构建多物理场模型中的时变项,同时将非线性求解器采用的求解时间步长设为自由。由于瞬态仿真设置的结果存储步长为1 min,故将非线性求解器的最大仿真步长约束设定为0.5 min,以满足容差限制。
问题解答
如果模拟中相对残差大于相对容差,大概有七个原因:
1. 模型高度非线性化
2. 边界条件不连续
3. 没有稳态解
4. 有多解
5. 网格划分的过于粗糙
6. 非线性时间相关模型
7. 时间相关的波模型
本文来自:COMSOL仿真交流
推荐阅读
工程师必备
- 项目客服
- 培训客服
- 平台客服
TOP




















