浅谈那些年里被COMSOL拿捏过的...
2022年10月27日 16:08COMSOL
多孔介质声学是近几年发展起来的应用性很强的声学分支。1956年Biot提出流体饱和多孔介质声传播理论,奠定了该声学分支的理论基础。1980年Plona用实验证实在流体饱和多孔介质中存在包括Biot慢纵波在内的三种体声波,对Biot理论的研究和应用起了巨大的推动作用。后来,人们对Biot理论进行了多方面的修正、完善,使其成为最成功的多孔介质声学理论,并广泛应用于资源的声波勘探和其它领域。
接下来研究的泡沫铝是通过金属与气体的共品凝固产生,其内部储藏大量气体和骨架通道,当声波传播至材料内部时,由于材料内部具有许多微小间隙和纵横交错连续贯通的气泡,局部共振和摩擦会导致部分声能转化为内能从而起到很好的隔音降噪能力。
COMSOL
下面基于Delany-Bazley -Miki 多孔介质声学模型,来构建泡沫铝阻性消声器的三维几何模型和声学模型,运用 COMSOL 有限元软件计算原泡沫铝阻性消声器的传递损失。
几何建模
首先利用COMSOL有限元软件对泡沫铝阻性消声器进行了三维几何建模,其中穿孔管位于膨胀腔内部并于进出口两端相连。
图1 泡沫铝阻性消声器三维几何模型
图2 泡沫铝阻性消声器内部穿孔管
控制方程
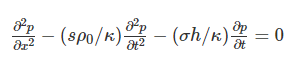
泡沫铝阻性消声器内部存在两种介质:空气和泡沫铝吸声材料。对于均质吸声材料中的声波,需要在理想静态气体声波方程的基础上进行修改以考虑孔隙率、流阻率和结构因子的影响。得到的修正声波方程如下所示:
边界条件
在传递损失的计算中主要需要用到的几种边界条件如下所示:
1. 硬声场边界,适用于声场的固定边界与对称边界。
2. 平面波辐射边界,适用于消声器的进出口边界。
给定入射声压 pi时有:
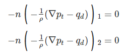
3. 内部多孔管边界,适用于消声器的穿孔区域。
式中,角标“1”、“2”代表穿孔管的两侧;μ表示动力粘度系数;σ表示孔隙率;tp表示壁厚;dh表示孔径;δh表示端部修正;θf表示流阻。
4. 内部硬声场边界,适用于声场内部固体边界。
材料定义
在COMSOL中定义消声器内部流体材料为空气、吸声材料为泡沫铝、内部板为穿孔管。
表1 空气基本属性参数
表2 泡沫铝材料基本属性参数
表3 内部穿孔管基本属性参数
传递损失
传递损失定义为出口无反射端时,消声器进口处入射声功率级与出口处透射声功率级之差,表示为:TL=KWi-KWt=10lg(Wi/Wt)
在应用COMSOL软件对消声器的声学性能进行声学仿真时,其进出口边界均被定义为平面波辐射边界,则其出口声压即为透射声压,而入射声压为给定值 。故只用利用出口声压就可以求得消声器的传递损失,即:
网格划分
图3 泡沫铝阻性消声器声学网格
COMSOL
当频率范围在100-2200Hz左右时,泡沫铝阻性消声器消声性能随着频率的增大而不断升高,峰值约为72dB。之后随着频率的不断增加其消声性能不断降低。
图4 泡沫铝阻性消声器传递损失
本文来自:COMSOL仿真交流
工程师必备
- 项目客服
- 培训客服
- 平台客服
TOP




















