什么是相位?相位的物理意义
2022年11月7日 17:12图1 以波德图显示某个频域信号
在这,我们以最为简单的质量-弹簧表示的单自由度系统(见图2)为例来说明。这个单自由度系统的位移方程为
y=Asin(ωt+90°)
图2 质量-弹簧系统的位移轨迹
图3 在图2的基础上时间移动1/4个周期
因此,相位是同一部件不同位置处的振动或不同部件之间的振动在时间先后关系上或空间位置关系上相互差异的标志。
对于旋转部件而言,每旋转一圈,表示转过360°,因此,两个振动之间的相位差就是转过此角度的时间差。通过角度不仅表示空间、而且表示时间,这便是相位的奥妙之处。
图4 键相信号
我们把从键相器脉冲信号触发到某个特定频振动信号(如1频、2倍频、0.5倍频…)第一个正峰值之间的角度,称为绝对相位。绝对相位是具体测得的相位,习惯上简称相位。说“某测点、某频率的相位为某某度”指的就是绝对相位,也就是相对于轴上固定标志通过键相探头的那一时刻及位置,此频率的最大振动与该测振探头之间的角度。由键槽和键相探头的位置及转子旋转方向,绝对相位还能给出最大振动具体的空间方位。
相位差是两个振动的相位之差。而相对相位是两个振动信号波形最近对应点(如波峰与波峰)之间的角度,如图2与图3两个信号的相对相位为90°。在实际应用中,往往并不讲相对相位,而只讲相位差,是因为实际上已经将相对相位所强调的“最近的对应点” 溶进了相位差中。例如,假设A点、B点相位分别为31°、346°,它们之间的相位差既可以讲为315°,也可以讲为45°。
通过相位差,可以很具体地想象到两个振动矢量在时间和空间上的相互关系:
谁先谁后:相位小的在先、称超前,相位大的在后、称滞后,因为相位小的先到达第一个正峰、即最大振动点处。对于图2所示的单自由度系统而言,其振动位移、速度和加速度三者之间的相位关系如图5所示,我们称振动速度超前振动位移90°,振动加速度超前振动速度90°,振动加速度超前振动位移180°。从图中可以看出,在0时刻之后,加速度最先达到正峰,然后是速度,最后才是位移。
图5 振动位移、速度和加速度三者之间的相位关系 -
相差的时间t:t=相位差×周期/360°=相位差/(频率×360°),实际中很少算,主要是由相位差(角度)的大小想象两者间隔时间的长短。对于图2和图3的信号,我们知道,二者相位相差了90°,对应的时间差为1/4个周期。另外,也可以利用相位差来计算信号的时间延迟。 -
空间位置:相位差就是空间方向差夹角的角度。特别对于有键相信号的旋转部件测量得到的振动信号,这一点更易于理解。
相位差表面上看是一个角度,实际上是反映了两个振动在时间先后关系上或空间位置关系上,是否存在差异、存在什么差异、存在多大差异。在分析振动原因和判断振动故障类型时,往往更关注相位差,而不是相位。
相位在振动领域有着许多重要的应用,主要用于比较不同振动之间的关系,比较不同部件的振动状况,比较激振力与响应之间的关系,确定动不平衡量的方位,等等,例如:
a)判断同相振动、反相振动
当两个振动的相位相同、即相位差为0°(或360°)时,则称此两振动为同相振动。当两个振动的相位相反、即相位差为180°时,则称此两振动为反相振动。
同相振动、反相振动十分清晰地表明了两个振动在时间和空间上的相同或相反的相互关系,因此常用来说明同一振动不同测点之间、不同部件之间的这种相同或相反的特殊关系。例如确定具体的振型、不对中类型等。
对挠性转子,两端轴承振动相位同相为一阶振型、三阶振型、…,反相为二阶振型、四阶振型、…。
图6 转向架同步与异步模态振型
b) 比较同频率振动在时间上的先后关系
在图2所示的简谐振动的弹簧质量块系统中,假设位移向上为正,当压紧质量块到最大位移位置(上限)后释放瞬间,位移为正向最大,速度为0,加速度为负向最大(图5中横轴0时刻);在质量块由正向最大位移位置向0点运动的过程中,位移为正、变小,速度为负、变大,加速度为负、变小;当质量块运动到0点时(图5中横轴T/4时刻),位移为0,速度为负方向最大,加速度为0;当质量块通过0点向上运动时,位移为负、变大,速度为负、变小,加速度为正、变大;当质量块运动到上限时(图5中横轴T/2时刻),位移为负方向最大,速度为零,加速度为正方向最大。依此关系,得到三者之间在相位上的关系:简谐振动中,振动速度超前振动位移90°,振动加速度超前振动速度90°,振动加速度超前振动位移180°。
c)主动消音
图7 频率幅值相同,相位相反的两个信号叠加为零
d) 比较激励力与响应在空间上的相互关系
由arctan函数的定义可知,其取值区间为(-90°, 90°),周期为180°,因此,频响函数的相位变化不会超过180°。实际上,位移频响函数的相位变化区间为(-180°, 0°),速度频响函数的相位变化区间为(-90°, 90°),加速度频响函数的相位变化区间为(0°, 180°)。
在频率比β=0处,相位φ=0,此时对应为静力状态,位移与外力完全同相位:即位移与外力同方向;在β=1处,相位φ=arctan(-∞)=-90°,而且与阻尼大小无关,系统处于共振状态,位移滞后外力90°;在β>1,且趋向于+∞时,相位φ=arctan0=-180°,此时,位移与外力反向。因此,位移的频响函数的相位在固有频率附近,首先从近0°,经过-90°,突变接近-180°,发生180°的相位变化。
图8 同一结构在同一个固有频率处的位移、速度和加速度的频响函数
e) 相位判断共振
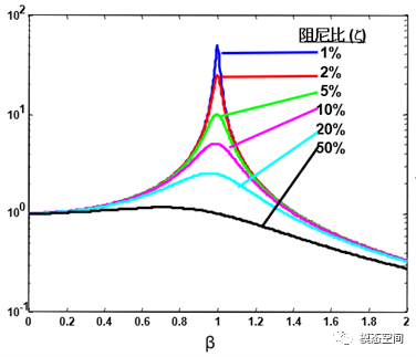
通过前面的《什么是共振?》一文,我们知道,对于单自由度系统在受简谐力作用下,当频率比β=1,即强迫振动频率和系统固有频率相等时,动力放大系数迅速增加,引起系统共振。共振时振幅和相位都有明显的变化,通过对这两个参数进行测量,我们可以判别系统是否达到共振点,从而确定出系统的各阶振动频率。
图9 单自由度系统在不同激励频率下的动力系数与阻尼变化
f) 用相位作为参考
在频谱的基础上,衍生出了相位参考谱。故名思义,在计算相位参考谱时,需要选择一个信号作为参考信号,那么与此信号相关的成分将不会被平均掉,而与此信号不相关的成分将会被平均掉。像在做发动机TPA时,经常在发动机上表面安装一个单向的加速度传感器,这个单向加速度传感器信号作用之一就是用来做相位参考的。
我们经常讲单参考TPA或多参考TPA,那么这个“参考”是指为了确定不相关的激励源的个数,用作相位参考的信号的个数。对于单参考TPA模型,如动力总成TPA,通常取发动机顶部的单向加速度信号作为参考,只需要一个参考信号,就可以确定各个激励源之间的相位关系。多参考TPA模型中,如路噪TPA,通常需要选择多个信号(如驾驶室内部多个声压目标点信号)作为参考,以确定实际不相关的激励源的数量。
G) 在转子故障诊断中的应用
通过前面的绝对相位,我们知道,对于转子而言,键相信号是必不可少的信号之一。它为转子各类故障提供了有用的空间位置(角度)。如刚性联轴器,平行(径向)不对中时两侧轴承振动的相位差为180°,角度(端面)不对中时两侧轴承振动的相位相同;带中间短接的齿式联轴器不对中时两侧轴承振动的相位差为180°。
在动平衡测试中,它为准确增加或去掉质量块提供了必要的位置信息。
在大机组的在线状态检测中,如果不采集键相信号,就无法获得相位信息,许多有价值的振动分析图谱将难以生成,经专业技术处理后显示的某些基本图谱(如频谱图),也会因转速波动、不平衡不明显等客观原因而存在瑕疵,会给故障诊断带来困难。
沈立智 大型旋转机械的状态检测与故障诊断 第四期全国设备状态监测与故障诊断实用技术培训班讲义
文章来源:模态空间
工程师必备
- 项目客服
- 培训客服
- 平台客服
TOP




















