ABAQUS单位问题
2022年11月22日 17:24ABAQUS没有固定的量纲系统(单位制),所输入的数据必须具有一致性的量纲系统(单位制)。
常用的一致性量纲系统(单位制)如下:
案例分析
使用三种单位制m-kg-s,mm-tonne-s和cm-g-us求解下面案例,演示三种单位制用法,并比较结果。
如图所示梁部件,长度为L=1m,梁截面为正方形,边长B=0.2m,梁一段固支,另一端施加静力F=10kN载荷,梁材料为钢材密度为7800kg/m3,杨氏模量207GPa(=2.07e11Pa),泊松比0.3。求解梁应力应变分布、最大值以及应变能。
1. Part(部件)和Assembly(装配)
建立梁部件,三种单位制输入参数如下:
进一步创建装配体。
2. Mesh(网格)
对梁部件进行网格划分,三种单位制的网格全局种子尺寸、单元数量和类型设置如下:
3. Property(材料属性)
创建材料属性,三种单位制参数如下:
静态分析与密度无关,可以不设置密度,泊松比为无量纲量。
然后,创建截面属性,并赋予部件。
4. Step(分析步)
选用Static, General算法,建立静态分析步。注意静态分析中设置的时间并非表示真实时间,以下参数仅为比较三种单位制换算关系:
5. Interaction(相互作用)
若将集中载荷施加在梁端面上,可以通过创建点-面耦合约束实现,首先创建参考点RP-1,然后创建耦合约束,将参考点与梁的端面耦合在一起,并约束点面所有自由度创建。这样施加在参考点的力便会传递到梁端面上。
6. Load(载荷)
创建载荷和约束,梁一端完全约束,载荷F施加在参考点RP-1上,载荷F方向为全局坐标Y轴负方向,因此在CF2填入负值,三种单位制下CF2数值如下:
7. Job(作业)
提交作业。
8. Visualization(后处理)
下面比较三种单位制(m-kg-s,mm-tonne-s和cm-g-us)下梁应力应变分布、应变能以及最大值。
m-kg-s单位制下,Mises应力分布(最大值8.538e6Pa,即8.538MPa)
mm-tonne-s单位制下,Mises应力分布(最大值8.538MPa)
cm-g-us单位制下,Mises应力分布(最大值8.538e-5Mbar,即8.538MPa)
三种单位制下,应变分布(最大值4.372e-5,应变为无量纲量)
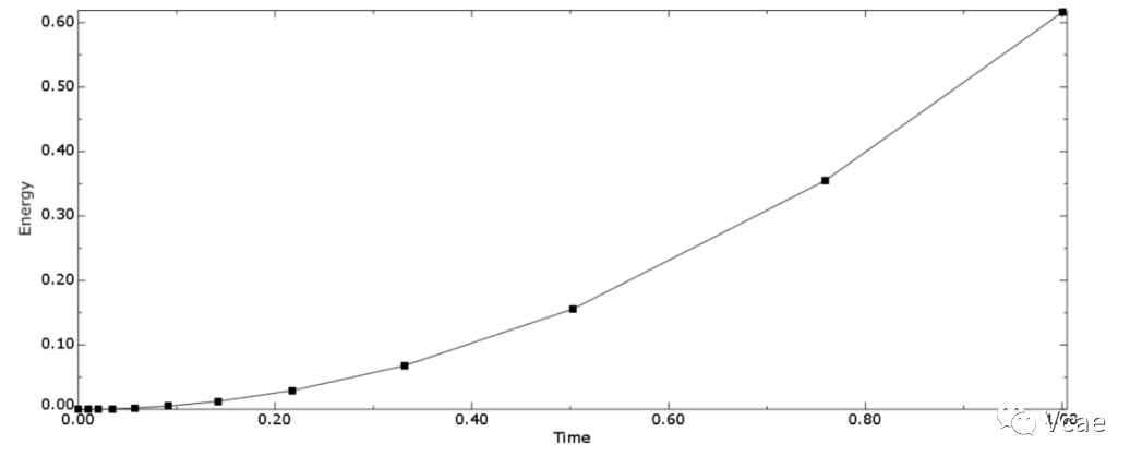
m-kg-s单位制下,梁应变能(最大值0.61577J)
mm-tonne-s单位制下,梁应变能(最大值615.77mJ,即0.61577J)
cm-g-us单位制下,梁应变能(最大值6.1577E-006[1e5J],即0.61577J)
总结:
ABAQUS中没有设置单位的窗口,在进行数据输入、计算或分析结果时,软件只是对数值进行处理,为保证计算结果正确性,必须事先明确一套一致性的单位制(量纲系统)。
选择不同的单位制,物理量是不变的,变的只是物理量的数值和单位。
无量纲量的数值不随单位制改变而改变。
其中基本物理量的单位(基本量纲),用户可以根据方便和实际情况任意指定,但一定要注意,一旦基本物理量的单位(基本量纲)被指定,其他物理量的数值和单位应做相应调整。
文中案例涉及的模型文件:
工程师必备
- 项目客服
- 培训客服
- 平台客服
TOP




















