Amesim仿真实例教程——热传导基础案例:导热铝棒
问题模型描述
基于AMESIM Demo:Linear conduction in an aluminum bar 进行学习:一个铝棒,铝棒周围绝热,沿铝棒方向上可以导热。如果加热其中一边,另一头温度如何变化?
建模
所用组件
THSD00 - thermal solid properties (generic)
该模块用于定义模型中所用到的固体材料特性。
THTS1 - constant temperature source
该模块用于设置一个恒定温度的热源。
THC000 - thermal capacity
该模块代表导热固体,可以通过它设置导热固体的特征。
THCD00 - generic conduction
该模型用于连接不同的温度源(可以是恒定热源也可以是热固体)。通过温度input/output进行连接。
THSPR - calculation of solid properties
该模块可以用于计算材料的特性变化。可以起类似于传感器的作用。
THHF1 - zero heat flow source
热塞子,连在哪哪绝热。
模型建立
回到问题模型,由于铝棒中间部分为向四周绝热,但是可以沿铝棒方向进行热传导,所以可以将铝棒分为两个部分,左边和右边,也可以分为铝棒和右表面。
设置参数
来到参数设置步骤,依据问题描述进行设置即可:
材料定义:
两个部分定义思路:
铝棒+右表面:只观测右表面,整个左侧都被当成一个整体(用一个最小质量的thermal mass代替右表面)
铝棒左侧+铝棒右侧:将铝棒一分为两个等体积的部分,右侧面温度约等于右侧温度
依据问题,设置模型为使用材料类型、长度和接触面积设置导热参数,依问题设置中间铝棒的导热长度以及导热面积:
铝棒+右表面:铝棒质心离右表面距离为10mm
铝棒左侧+铝棒右侧:铝棒左右侧质心距离为10mm
设置材料计算器中所计算材料的index设置为与前面定义的一致:
热源定义,如问题描述设置为恒定40℃:
假设热源离铝棒有1mm距离,依据问题设置传导面积为1000mm2:
铝棒+右表面:铝棒质心离左表面距离为10mm
铝棒左侧+铝棒右侧:铝棒左侧质心离左表面距离为5mm
仿真分析
仿真20s
结果
铝棒+右表面:
铝棒左侧+铝棒右侧
从仿真结果对比可以发现,铝棒+右表面的模型中,由于右表面的热容太小,导致右表面和铝棒虽然有较长的传热距离,但是温度几乎与铝棒温度完全一致,相对的,铝棒左侧+铝棒右侧的模型中,右半段的温度上升曲线则更加贴近实际。另外由于铝棒太短,传热速度很快,使得两种模型的结果看起来区别不大。
将问题做一个三维模型进行仿真,发现结果与上面的仿真结果相近:
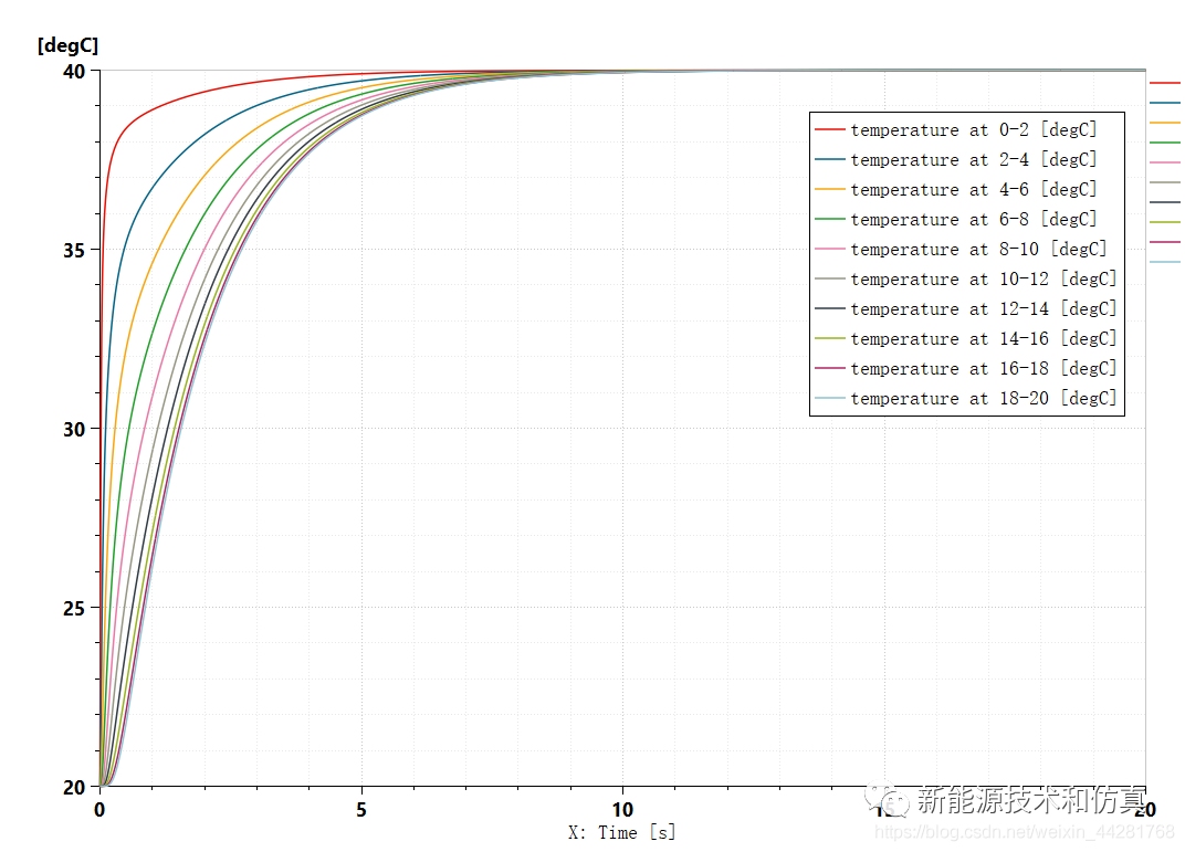
三维模型中可以看到,温度呈梯度分布,符合我们的常识,但是Amesim模型中却没有反映出来。从上面的建模看,主要是我们对模型的分段不够多,假如将模型分为10段,每段之间距离2mm,再仿真看看,可以发现也能够较好地体现出铝棒各段温度变化了:
————————————————
版权声明:本文为CSDN博主「一大块肥皂」的原创文章,遵循CC 4.0 BY-SA版权协议,转载请附上原文出处链接及本声明。
原文链接:https://blog.csdn.net/weixin_44281768/article/details/113558363
工程师必备
- 项目客服
- 培训客服
- 平台客服
TOP




















