用 Wolfram 语言分析随机运动粒子群的角速度分布
2022年11月24日 16:06浏览:1746
1. 该代码可在Mathematica 13.1.0.0(TraditionalForm)下正确运行。
2. 对代码运行时间的描述基于MacBook Pro (MD101CH/A)。
3. 私聊或评论区留言获取源代码。
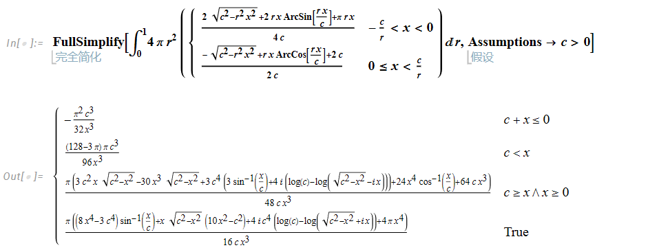
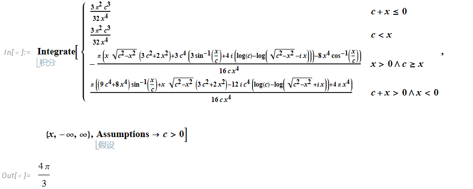
去掉上述函数中无意义的部分后,在整个单位球内进行积分(运行该代码大约需要24秒):
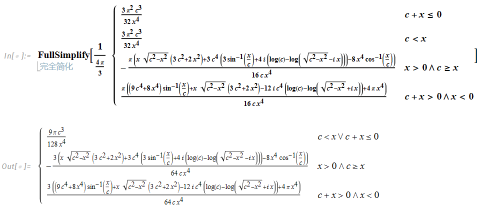
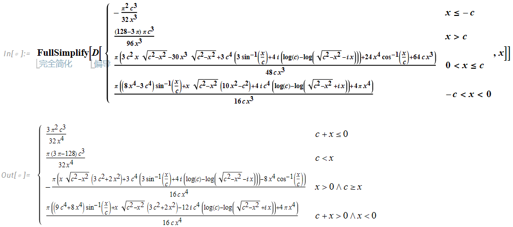
将上述结果对 x 求一阶导:
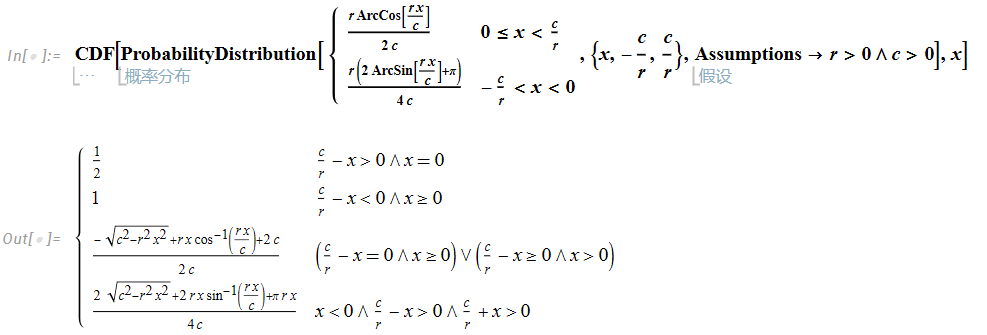
按照上述积分结果,将上述函数进行归一化:
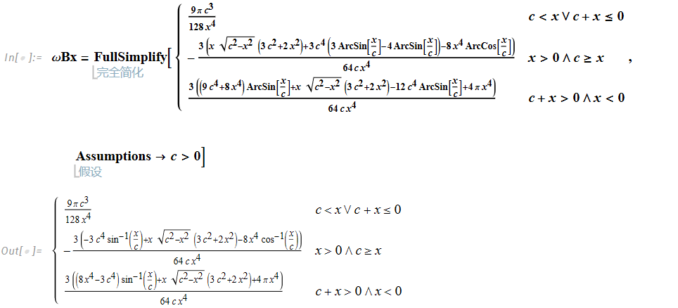
整个证明过程结束。
注意:成功运行这些代码,需要首先对下面的 "MyDirection = **" 进行修改。将其改为类似于 MyDirection = "/Users/yourdirection/" 的形式后,按 Shift+Enter 运行。
MyDirection=**; Protect[MyDirection]; Off[General::wrsym];
Export[MyDirection<>"figure1.eps",aa,Background->None];
图二
图三
注意:这些代码运行时间大约为5小时。
技术邻APP
工程师必备
工程师必备
- 项目客服
- 培训客服
- 平台客服
TOP




















