AMESim之HCD库介绍(4)带弹簧的活塞腔 AMESim弹簧教程
今天我们来介绍带弹簧的活塞腔模型
01
—
带弹簧的活塞腔(piston with spring)
该模型下属三个子模型的特点与之前介绍的AMESim之HCD库介绍(3)活塞腔类似,即BAP015与BAP016的区别为端口2、3的变量是相反的;而BAPREV1则是同样拥有反向因果关系,可以参考前文进行理解。
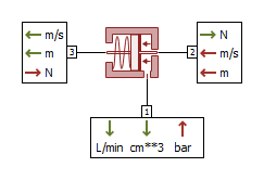
BAP015:
输入端口 1 的压力。流量和体积在此端口计算和输出。
活塞的速度和位移在端口 2 处输入,并未经修改地传递到端口 3。
外力在端口 3 处输入,端口 2 处的输出力由压力、弹簧力和外力计算得出。由阀体和活塞形成的腔室体积由端口 2 处的位移计算得出。端口 1 通常连接到压力源、传统液压管路子模型或 HCD 液压腔子模型。
对位移没有限制,但可以通过具有末端挡块的连接质量子模型(如 MECMAS21)提供限制。请注意,假设端口 1 处的流量永远不会被活塞阻塞。
下图显示了与弹簧活塞模型相关的参数。
为了描述活塞运动,定义了两个参考系:
一个参考系连接到活塞腔上;
一个参考系连接到活塞杆。
这两个参考系之间的相对轴向位置取决于端口处的输入位移。当所有端口位移都假定为 0 时,活塞杆进入活塞腔坐标系的轴向位置可以通过弹簧压缩在零位的压缩量 (xs0) 来定义。
这两个图片都对应于“零位移”条件。在第一个图中 (xs0) 不等于零。
xs0=0 表示两坐标系对齐,如第二张图所示。在这种情况下,仅施加零位移 (f0) 处的弹簧力。
参数定义如下:
xs0:活塞零位移时的弹簧压缩量,正数表示压缩[mm]。
f0:零位移时的弹簧力,正数表示弹簧的压缩力[N]。
x0:活塞零位移时的腔体长度[mm]。
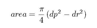
dp : 活塞直径[mm]。
dr : 活塞杆直径[mm]。如果没有活塞杆,将活塞杆直径设为零。
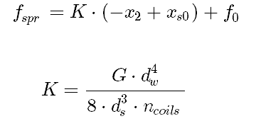
弹簧预紧(f0)和零位移时的弹簧压缩(xs0)可以独立设置。
对于弹簧刚度的定义,这里有三种方法:
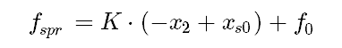
数值:弹簧刚度是恒定的。
该模式下弹簧力计算公式为:
几何值:弹簧刚度是恒定的,取决于材料的剪切模量G(N/m2),弹簧直径ds(mm),钢丝直径dw(mm)和工作线圈数ncoils。弹簧和钢丝的直径如下图所示。
该模式下弹簧力计算公式为(以螺旋弹簧为例):
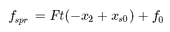
文件或表达式:弹簧力必须被定义为弹簧位移的函数。可以通过一个一维格式表(1D Format table)或表达式来描述。弹簧力的单位必须是[N],位移(x)的单位是[m]。
该模式下弹簧力计算公式为:
其中Ft是由参数 "springtable "定义的格式表或表达式。
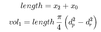
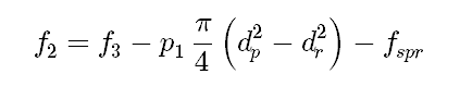
活塞腔长度和体积计算公式为:
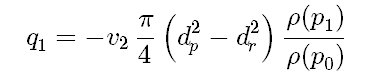
端口1的流量计算公式为
端口2的受力计算公式为
可以发现相较于前文介绍的基础活塞腔,受力计算公式中仅增加了弹簧力fspr
BAP016:
BAP016与BAP015的区别仅在于与端口2和3相关的变量是交换的。在此不过多赘述。其计算公式区别可参考前文。
BAPREV1:
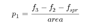
由于BAPREV1中实现的反向因果关系,该模型不像常规的液压元件那样进行严格的质量平衡计算。压力是根据静力平衡计算出来的。
活塞面积:
端口1的压力计算公式为:
端口3的速度由端口1的流量计算得到:
02
—
带复位弹簧的活塞腔(piston with return spring)
该系列模型仅仅改变了弹簧的位置,其余部分均未改变。
BAP017:
该模型同样在活塞与腔体上分别定义了坐标系。
当所有端口位移被假定为0时,活塞进入活塞腔坐标系的轴向位置可以由零位移时的弹簧压缩量(xs0)来定义。
其计算公式与BAP015一致。
BAP018:
BAP018与BAP017的区别仅在于与端口2和3相关的变量是互换的。
BAPREV 2:
与之前提到的反向因果模块原理一致,在此不多赘述。
文章来源:基算仿真
工程师必备
- 项目客服
- 培训客服
- 平台客服
TOP




















