层流机翼设计技术现状与发展
 2022年12月26日 16:01
   2022年12月26日 16:01航空学报封面文章
邓一菊, 段卓毅, 艾梦琪. 层流机翼设计技术现状与发展摘要[J]. 航空学报, 2022, 43(11): 526778.
为增加可读性,文中未标注参考文献,如想查阅全文,请登录《航空学报》论文下载网址:
https://hkxb.buaa.edu.cn/CN/10.7527/S1000-6893.2021.26778
为丰富办刊形式,展示优秀论文成果,《航空学报》2022年1期正式开始遴选封面文章。2022年第11期封面文章由航空工业第一飞机设计研究院邓一菊,段卓毅,艾梦琪完成,通过对绿色航空提出的飞机减排目标进行分析,指出飞机减阻设计的重要性和必要性,分析了层流机翼技术是飞机减阻的重要途径。在回顾了层流机翼设计、研究、验证相关技术的发展现状后,指出了层流机翼技术相对飞机设计工业应用的差距与存在的技术问题。同时,分析了层流机翼技术的潜力与发展方向,中肯地评价了该项技术在未来飞机设计中的可行性。
随着当今环保意识的增强以及航空公司运营竞争的加剧,航空界对民用运输飞机的经济性、环保性提出了更高的要求,“绿色航空”的概念应运而生。“绿色航空”以节能、环保、和谐为主旨,通过提出一系列航空领域环境友好型发展指标,催生可持续发展的航空技术创新,号召飞机设计向着减阻、降排、低噪声的方向发展。
在“绿色航空”革命的影响下,欧美政府联合航空企业很早就意识到减排降噪的重要性,制定了相应的发展计划。欧盟在“ACARE2020”中制定了2020年航空CO2排放量减少50%、NOx排放量减少80%、噪声降低50%的发展目标;在“Flightpath2050”计划中进一步提出,到2050年CO2排放量减少75%,NOx排放量减少90%,噪声降低65%。NASA在“NextGen”(新一代航空运输系统)计划中详细规划了亚声速固定翼民机的3个发展阶段,制定了燃油、噪声、污染排放等在不同阶段的发展目标,对于计划2030—2035年实现的“N+3代”飞机,噪声要求降低75%以上,各类污染物排放量要求降低70%以上。
从飞机设计综合技术来说,可通过多种渠道促进“绿色航空”的实现,如先进的飞机布局和气动设计技术进步可以实现飞机的减阻减噪,复合材料的广泛应用可大大减轻飞机的重量、减小能源消耗,高效发动机技术可以减小污染排放等。这些新技术的应用不仅可以降低航空运输对环境的影响,对于提升民用飞机的经济性也具有重要的意义。空客公司曾通过不断引进新技术和新概念,大幅提升所研型号的设计指标,成功降低直接运行成本15%以上,在市场占有率上全面赶超波音。
在飞机总体设计领域,实现民用运输机低能源消耗、低环境污染排放、高巡航效率最重要的途径之一是气动减阻。飞机的阻力与飞行性能、燃油消耗量以及飞机的经济性密切相关,大型飞机的飞行统计数据表明,B737飞机在典型使用条件下,减小1%的阻力便可节省15000加仑的航空燃油,B757可节省25000加仑,B747则可节省100000加仑。尽管在空气动力学技术已取得很大成就的如今,再取得减阻技术方面的巨大进步可谓步履维艰,但是各飞机设计公司依然极其关注阻力问题,并投入巨资进行研究,精细到每一个阻力单位都锱铢必较的程度,企图在减阻设计方面发展到极致。
对于运输类飞机而言,阻力可以大致分为型阻、波阻、诱导阻力和废阻等,总阻力中每个部件所占分量不同。从阻力形式来看,现代宽机身民用飞机巡航状态时摩擦阻力约占50%,压差阻力约19%,诱导阻力约27%,如图1所示。从部件阻力来看,对于一架巡航状态在0.8马赫数的典型民机,机翼的阻力占了60%左右,因此,从阻力产生的源头进行分析,重点减阻的部位应该是机翼,重点应该减少的是摩擦阻力。
要在现有基础上进一步减少机翼阻力(更准确的说法是提高升阻比),一方面取决于新技术的成熟使得飞机设计能够选用更有效减阻的气动布局形式,如翼身融合;另一方面可以通过精细的气动力设计和流动控制技术来减少干扰阻力、摩擦阻力、诱导阻力以及激波阻力。由于机翼表面的流动形态有层流和湍流之分,层流区域的摩擦阻力远小于湍流区域,因此通过层流翼型、层流机翼设计以及层流流动控制技术减小摩擦阻力成为机翼减阻重要的发展方向。据某自然层流机翼研究项目(TELFONA)评估,采用自然层流机翼可有效减阻10%以上,采用混合层流控制技术,以A340为例,减阻量可达到14%。Fokker100飞机加装自然层流翼套的飞行试验表明,层流机翼可以获得15%的减阻量。相比于其他阻力的减小量(如由于椭圆升力分布已尽力满足、展弦比受构型限制,诱导阻力的减小余地很小)而言,这样的减阻量是极具诱惑力的。
2 层流机翼技术现状
2.1 机翼转捩现象
层流机翼技术十分关注机翼表面层流区域和湍流区域的分布情况,而物体表面层流向湍流的转捩是一个复杂的非线性的流动现象,因此认识转捩现象和转捩机理是发展层流技术的前提。
转捩是指边界层内流体在某些不稳定机制的诱导下流动状态发生变化的过程,以最典型的二维平板边界层为例,通常认为转捩会经历稳定层流、线性不稳定扰动、非线性涡干扰、三维涡破裂、湍流斑形成、全湍流状态几个过程,在宏观上表现为摩擦阻力的激增,如图2所示。
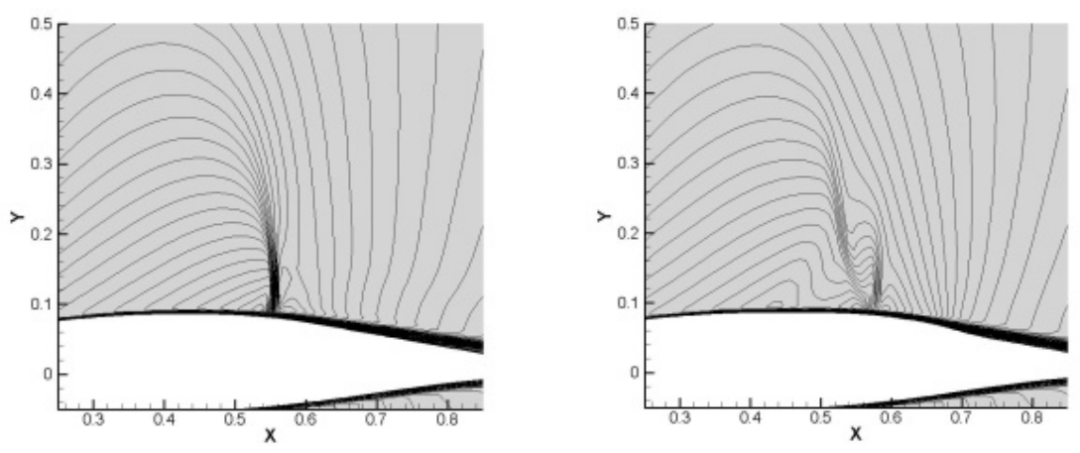
对于三维机翼而言,影响转捩发生的因素包括来流湍流度、壁面压力梯度、当地后掠角、壁面粗糙度、壁面曲率变化、壁面抽吸气情况等。根据诱发转捩的机制不同,转捩的类型主要有:流向Tollmien-Schlichting(T-S)波和横向CrossFlow(CF)波主导的自然转捩、层流分离泡转捩、边界层外扰动直接触发的旁路转捩、涡致转捩、前缘附着线转捩、高超声速边界层的第一模态、第二模态和其他高阶失稳模态转捩等。其中自然转捩以及层流分离泡转捩是民航飞机机翼表面主要的转捩形式。
对于低速飞行的平直机翼和后掠角小于10°的机翼,TS波的放大、失稳是导致转捩发生的主要原因,由于顺压梯度区可以抑制TS扰动的增长,因此可以通过合理的压力分布设计来实现较大范围的层流;高速飞行的民用飞机往往采用后掠机翼以提升巡航马赫数,因此附面层中会出现横向流动速度,产生特殊的流动稳定性问题,使层流转捩的机理变得更加复杂。试验结果表明,机翼后掠角在10°~30°之间时,TS波和CF波不稳定机制同时存在并相互影响,而TS波与CF波的压力梯度抑制手段相互矛盾,两种不稳定机制相互的非线性作用机制还需要进一步研究清楚;当后掠角大于30°时,CF波不稳定机制是转捩的主导因素。见图3。
对于一些飞行雷诺数较低的飞行器,层流边界层在逆压梯度作用下产生分离,在外层高能量流体进入后再附,形成层流分离泡,也会诱发层流转捩。层流分离泡根据位置和形态可分为长分离泡和短分离泡,对机翼而言,短分离泡往往发生在前缘附近,稳定性较好,长分离泡发生在机翼后部,稳定性较差,可能扩展到较大范围,对机翼的气动性能产生严重影响。
2.2 转捩数值模拟技术
对转捩的准确模拟是层流机翼设计的基本前提,由于转捩内部机理十分复杂,转捩的数值模拟十分困难,研究人员对此开展了大量研究。
20世纪兴起的基于线性稳定性理论发展而来的eN方法是工程中流动稳定性分析和转捩预测的重要方法。这种方法通过求解黏性流动的平行流小扰动线性稳定性方程(O-S方程),着重于从物理上尽量准确地描述层流边界层中小扰动行波即T-S波的振幅沿边界层流向的线性放大阶段,并根据经验选定判定转捩发生的临界幅值。后来,Malik等进一步完善了线性稳定性理论,将其拓展为非平行流线性稳定性理论;Stuart、周恒、唐登斌等]对弱非线性理论深入研究并且取得了突破性的成果。Herbert等进一步发展了抛物化稳定性方程(PSE),兼顾非平行效应和非线性演化,适合二次失稳和亚谐波共振等机制的研究。eN方法在七八十年代层流翼型设计上取得了巨大的成功,当时Drela等人基于欧拉方程耦合边界层修正、利用包络方法进行转捩预测的翼型流场求解器MSES取得了令人满意的结果,然而由于线性理论基础的限制,对于存在较大分离和强烈非线性作用的转捩情况,eN方法无力描述。
随着计算机的发展,近年来湍流的高级数值模拟方法,如直接数值模拟(DNS)和大涡模拟(LES)得到了很大发展,也取得了许多令人满意的结果。直接数值模拟(DNS)求解全非定常N-S方程,可以很好的模拟出层流破碎、湍斑发展、湍流形成的整个过程。但是为了捕捉细微尺度的湍流,DNS方法必须随着计算的雷诺数的增长而对计算网格进行加密,即使是低雷诺数流动,其网格要求也非常高,相应的计算资源需求极大,因此距离工程实用还有很长的距离。
随着飞机气动特性计算和气动设计的迅速发展,要求CFD方法具有更高的气动力预测精度,迫切需要将成熟的转捩预测方法应用到CFD数值模拟中。Dhawan和Narasimha在1958年首先引入基于间歇因子γ的转捩预测方法,之后大量学者对该类方法进行了完善和进一步发展,例如:Cho和Chung针对自由剪切流发展了与k−ε湍流模型联合使用的间歇因子输运方程方法,Steelant 和Dick发展了与条件平均NS方程联合使用的间歇因子输运方程方法,Suzen 和 Huang将前两者模型相结合发展了间歇因子的对流-扩散方程。但是这些间歇因子方法都需要积分动量厚度,难以与现代CFD方法相匹配。Langtry和Menter在2004年提出了一种基于湍流模型的Gamma-Theta(
)转捩模型,并很快在二维流场数值模拟中得到实际应用。经过后续学者的改进发展,该模型对于二维和三维流动转捩判断的精度不断提高,基本满足工程实用的要求,并集成在各大主流商用CFD软件中,成为目前转捩预测的主流方法。实践表明,该模型对于低速至跨声速范围内流动转捩的模拟结果比较理想。
在边界层转捩的数值模拟方面,国内有天津大学对横流不稳定性转捩预测方面开展了重点研究;西工大、清华和空气动力研究与发展中心等在转捩模式方面进行了大量的研究;南航和北航也开展了转捩方法的研究。目前的研究成果在一些典型算例上取得了成功,但是适用范围更广的转捩预测方法还需要进一步的完善和验证。
2.3 层流机翼设计技术
20世纪30年代起,一批空气动力学家在理论和试验研究的基础上提出了层流翼型设计概念,NACA6系列翼型、苏联ЦАГИС5-18翼型、FX系列翼型和Eppler系列翼型等是当时最成功的代表。早期的层流翼型设计很重视提高失稳临界雷诺数,直到20世纪70年代才认识到层流边界层内扰动的增长和随扰动频率的变化是决定转捩发生更重要的因素。在一定的有利压力梯度下,尽管失稳点可在前缘附近出现,但转捩点却可达到70%弦长位置。这一设计思想使得新一代层流翼型可以具有较高的前缘负压值,进而可以有较大的前缘半径,这有利于改善翼型的高升力特性和跨声速特性。
伴随着设计思想的进步,层流翼型设计经历了由低速向高速的发展,特别是跨声速层流翼型的诞生,将军民用大型运输类飞机的层流机翼技术推向了新的高潮。与早期层流翼型不同,现代可用于高速飞行的层流翼型大致分为两大类:第一类兼顾低速、高度时的层流特性,在设计条件下无激波或只有弱激波,压力分布类似于超临界翼型,但前缘半径更小,从前缘到转捩点具有较大的表面斜率,转捩位置主要靠表面斜率设计控制;第二类能够保证在设计条件下无激波且保持大范围的层流,但低速时不要求层流特征,外形更接近于超临界翼型,亚声速时前缘负压使得转捩在前缘发生,而超临界飞行时,允许存在弱激波以抬高翼型后部的负压,从而控制从前缘到激波位置的压力梯度。
高速层流翼型的设计工作开始于20世纪80年代。Khalid等设计了可用于超过107雷诺数的不同厚度的高速层流翼型,同期西北工业大学将超临界翼型和层流翼型的设计思想相结合,设计了NPU系列翼型并开展了风洞试验研究。随后,具备高升力特性的层流翼型和层流机翼开始发展起来,翼型和机翼的设计方法也不断进步和创新,为跨声速下层流机翼技术的发展和成熟奠定了基础。Zhang等采用有利压力梯度约束的方法开展了层流翼型的优化设计工作,获得了满意的结果;HAN等提出了高速层流翼型的代理模型优化方法,所设计的层流机翼由于激波强度的减弱和层流区域的扩大使得阻力减小了12.1个阻力单位;陈永彬等通过优化激波控制鼓包的位置和外形改善了层流翼型的性能;邢宇等采用代理模型方法优化层流翼型的层流性能,同时基于梯度算法优化层流翼型升阻比,最终获得了具有55.5%层流的高升阻比层流翼型。关于高速飞机层流翼型及机翼设计的研究成果进一步证明了层流机翼技术具有广阔的发展和应用前景。
作为国家大中型飞机研发机构,航空工业一飞院着力于发展我国运输机体系研究中的机翼设计技术。为进一步响应“绿色航空”号召,一飞院带领国内众多航空院校、研究院所,通过开展民用飞机层流机翼设计理念、设计方法、风洞试验及飞行验证等研究,基本具备民用飞机自然层流翼型/机翼设计和自然层流短舱设计能力,为我国民用飞机层流机翼设计提供技术支撑。
2.4 风洞试验及测量技术
风洞试验是研究层流机翼特性、验证设计结果的重要手段,国内外开展的关于层流机翼的发展计划中均将层流风洞试验作为重要的研究手段和技术提升方向之一。美国从20世纪30年代就开始通过风洞烟雾试验研究不平机翼表面设计对湍流的影响。80年代利用F-14飞机试验研究了后掠角对层流品质的影响,并进行了高速风洞的层流流场显示试验。近年来,在欧美各项计划的推动下,国外开展了大量关于高速层流机翼的风洞试验研究,如图4所示,为NTF、HST、ONERA和ETW风洞的层流翼型和机翼的风洞试验。
图4 国外高速层流机翼风洞试验
国内对自然层流机翼的研究起步相对较晚,由早期NPU2-L72513等层流翼型的二元风洞试验研究逐渐发展至目前三维层流机翼的试验研究,在层流的风洞试验技术、测试技术、数据处理技术等领域取得了较为丰硕的研究成果。2020年航空工业气动院FL-62风洞的建成,进一步为我国先进民用层流机翼的风洞试验创造了更高品质的条件。
自然层流机翼的风洞试验重点需要测量机翼的气动力特性和转捩位置,两者都离不开机翼上下表面层、湍流区域的精准测量,因此转捩判定是层流风洞试验的主要目的。风洞试验中用来判断转捩位置的方法通常有:油流法、升华法、红外成像技术(Infrared)、粒子图像测速技术(PIV)、压力敏感涂料技术(PSP)、温度敏感涂料技术(TSP)等。油流法和升华法属于接触测量,试验结果会受到测量介质的影响,因此红外成像技术、粒子图像测速技术和温度敏感涂料技术这些非接触测量手段目前已经成为判断转捩位置的主要方法。
图6 不同雷诺数下TSP方法测量结果
由于层流对流场状态和模型表面质量十分敏感,开展层流风洞试验对风洞条件和模型均提出了更高的要求。风洞中可能影响试验段层流环境的因素有:雷诺数、湍流度、机械振动、风洞干扰等。由于层流机翼试验验证往往采用缩比模型,试验雷诺数与飞行雷诺数差距甚远,导致不能完全模拟大气飞行中的转捩位置、层流分离状态与湍流分离状态等现象,试验结果需要进行雷诺数修正;此外,风洞中流体的湍流度较真实飞行条件更大,试验中机械或声学的扰动也会进一步引起湍流度增加,这对于层流的维持是不利的,因此需要特别关注风洞流场品质,对影响扰动环境的各类因素加以控制和减弱。
为了充分体现出层流机翼的减阻优势,层流机翼的风洞试验中对模型阻力测量精度的要求更高。资料表明,风洞试验精度当前国际先进水平是:运输机试验长期精度ΔCD=0.0001~0.0002,短期精度ΔCD=0.00005~0.0001。这种测量精度可为阻力预测提供可靠的技术支持。
2.5 飞行试验及测量技术
在层流机翼风洞试验的种种限制下,飞行试验通过各类测试技术,在真实飞行条件下对机翼的气动特性进行测量评估,以验证层流机翼的气动性能,成为研究和验证层流机翼技术的重要手段。
国外对飞行试验技术的研究起步较早,发展了大量的测试技术,包括油流法、化学升华法、红外热成像、热膜、热线、热敏漆、激光粒子成像、边界层耙、翼面皮托管、尾流耙等。1962年美国NASA率先基于X-21验证机开展了的层流机翼可行性的飞行试验。80年代起,基于自然层流翼型设计技术的快速发展,美国和欧盟在自然层流机翼和混合层流控制机翼方面开展了大量的飞行试验研究,图7给出了1985—2008年各国进行的间一些具有代表性的层流机翼和混合层流机翼飞行试验。
图7 1985年-2008年间各国层流飞机演示验证
针对NASA Jetsar(洛克希德C-140)飞机的Leading Edge Flight Test(LEFT)是ACEE计划下的一项重要层流控制技术研究项目,由道格拉斯和洛克希德设计的层流控制装置在飞行试验中成功实现机翼前梁以前70%以上的层流范围。NASA兰利中心F-14变后掠机翼的层流翼套试验成功地在跨声速飞行条件下获得了长达50%弦长的稳定的层流流动,有效地验证了亚、跨声速层流机翼的设计思想及开发的设计软件。
为了在大型民用干线飞机上实现层流减阻,NASA与波音公司开展了波音757飞机高雷诺数混合层流控制(HFCT)飞行试验,如图8所示。此项研究目的是评估HLFC在实际飞行条件下的性能,发展和验证一体化的、实用的高升力、防冰的HLFC系统,以及发展一个用于大型、亚声速商用飞机的HLFC方案的数据库。飞行试验中热膜测量的结果显示,65%弦长保持了层流状态,设计点时转捩点推后至机翼后梁处,尾耙测量结果表明,可降低29%的当地阻力,使总阻力降低6%。
21世纪以来,NASA的ERA项目在湾流飞机上进行了层流机翼的飞行验证,2003年采用层流设计的本田轻型喷气公务机问世,其具有自然层流机翼,机身和头部重要区域也进行了相应的层流控制处理,飞机的飞行数据表明层流特性明显。如图9所示。
图9 本田喷气飞机
2017年,欧洲 “洁净天空”计划支持开展了一款“层流突破验证机” (BLADE)的飞行试验,在空客A340飞机机翼的外翼段安装层流控制试验段开展验证试验,验证目标是在巡航时可降低机翼表面摩擦阻力50%,总阻力降低8%,碳排放量降低5%以上。如图10所示。
图10 A340改层流验证机
采用超声速自然层流机翼Aerion SBJ 超声速客机预计在2021年进行首飞,表明层流技术将在超声速领域取得新的突破。如图11所示。
图11 Aerion SBJ 超声速客机
国内关于层流机翼飞行试验测试技术研究起步较晚,飞行验证方面的研究工作正在进行。一飞院作为牵头单位的某层流机翼验证机项目已完成风洞试验,进入验证机调试阶段,拟于2022年完成所有的飞行试验科目。该验证机采用创新的四发双机身,用于验证研究的层流翼段置于双机身中间,高置的尾翼上安装测试设备。该项验证将达到常规干、支线飞机巡航马赫数附近,雷诺数到千万量级。如图12所示。
图12 某层流机翼验证机
3 层流机翼设计技术发展可行性分析
3.1 层流机翼布局构型限制
后掠角是目前限制高速民机层流机翼工程化应用的问题之一,设计高速层流机翼,首先需要尝试打破跨声速机翼大后掠角设计的常规,通过精细地权衡阻力发散马赫数与摩擦阻力,探索把后掠角降到20°及20°以下的可能性。如图13所示。
后掠角的减小对于层流维持和结构重量减轻有利,符合节能减排的绿色航空要求,但无疑会导致激波强度的增加,同时因为层流采用顺压梯度的设计,自然层流翼型通常具有较强的激波,所以有效降低后掠角的关键技术是通过三维激波控制鼓包来限制波阻的发展。研究表明在给定的升力条件下采用优化过的激波控制鼓包可使阻力降低20%以上。如图14所示。
主动层流控制技术的应用是解决后掠角过大问题的途径之一。如图15所示,采用全范围吸气层流控制(LFC)和混合层流吸气控制(HLFC)技术均可大幅减小运输类飞机的燃油消耗。尽管层流控制相当有效,但其面临的工程实现上的诸多问题亟待解决,如何从工业应用的角度保证其稳定性和收益是目前的研究重点。
自然层流新布局的设计为解决高速飞机构型限制问题提供了更多的可能性。例如,为了减小其余部件对机翼的干扰,层流飞机可采用尾吊布局方案;采用更大展弦比的机翼布局来降低雷诺数;采用前掠翼等特殊布局等。德国宇航研究院开展的前掠翼民用飞机布局研究计划LamAir表明,小前掠角机翼不仅可以实现大后掠角时的跨声速性能,还可维持机翼实现较长范围的自然层流流动。一飞院开展的层流机翼设计研究中,进行了常规布局与融合布局的层流机翼设计,对于后掠角较小的翼身融合布局,也可实现一定范围的层流区域。如图16和图17所示。
层流机翼还将带来低速高升力设计的难题。由于要保持巡航飞行时大面积层流,机翼表面需要尽可能“干净”,尤其机翼前缘不能出现可能诱发转捩的干扰,因此层流机翼一般不采用前缘缝翼,而采用克鲁 格襟翼,克鲁 格襟翼相对前缘缝翼在失速特性、重量特性等方面有一些劣势,因此,需要进行精心设计优化。此外,层流机翼相对传统机翼弯度较小,因此要满足高效的增升性能要求,可能需要设计双缝襟翼,这又将带来机构、系统等方面的复杂性,以及重量代价。
层流机翼还必须解决“多点设计兼顾”的问题,避免出现层流流动被破坏或者偏离设计点时阻力急剧增加情况的出现。1980末期开展的Cessna T210R飞行试验中,就有爬升性能下降10%的情况,因此分离、失速、转捩提前等流动状态都需要仔细权衡。随着优化设计能力的提升,层流机翼在非设计点的性能得到了改善。如HondaJet飞行试验表明,其巡航和爬升都具有较小的型阻,低头力矩较小,由于前缘污染带来的翼型剖面最大升力系数损失5.6%,处在可以接受的范围。
此外,进行层流设计时,需要进行层流设计指标和其它指标的协调。除关注层流设计指标外,机翼的几何特性、力矩特性、结构特性、抖振特性等都要考虑在内,权衡取舍才能够设计出满足实际设计指标与约束的自然层流机翼。同时层流外形对结构、油箱容积、增升装置布置空间等的影响也应该得到充分的评估。
3.2 转捩判定的可信度
在层流机翼的设计、验证中,准确预测和测量转捩位置对于准确预测阻力、判断层流机翼减阻能力具有决定性的影响。
从数值模拟的角度,现有的转捩模型把经验关联方法融入到现代CFD中去,为工程实用的转捩模拟提供了一个有效途径,在商业软件中比较常见;一些学者认为基于线性稳定性分析或抛物化稳定性方程的半经验eN方法最为实用,但前提是有足够多的风洞试验或飞行试验数据作为依据。基于目前发展的转捩预测方法的优缺点,对于转捩数值预测方法的发展趋势有:进一步提高预测的精确度、预测不同物理机制诱导的转捩、发展适用于CFD并行计算和复杂构型数值模拟的完全基于当地变量的转捩预测方法等。
从风洞试验和飞行试验的角度,目前的转捩判定方法单独来说效果可能不够理想,如Stanton管制作工艺复杂且对边界层存在影响;表面热膜/热线分辨率不够,校准方法不规范;升华法受环境规范限制等。但是,综合这些方法,相互参考关键信息,则可能为转捩测量提供可靠的图像与依据。近年来,随着软、硬件技术发展,灵敏度和分辨率较高的红外测量和TSP测量方法成为主流。国外从20世纪80年代起开展了大量的红外热像边界层转捩测量试验的研究,逐渐完善红外热像测试技术,目前整体的技术成熟度为TRL4~5的水平,图18给出了国外一些转捩测量试验的情况。国内也积极在某民机科研项目中开展了针对层流翼套的红外热像转捩测量飞行试验测试技术研究,取得了较为满意的成果。如图18所示。
3.3 层流控制及层流维护
通过流动控制技术对机翼表面的边界层流动进行控制是实现层流的重要手段,发展至今在原理、控制效果和实现途径方面均积累了大量研究。层流控制技术主要有自然层流流动(NLF)控制、全层流流动控制(LFC)和混合层流流动控制(HLFC)3种概念。如图19所示。
NLF技术利用有利压强(顺压)分布延缓转捩的发生,在二维和轴对称流动中已经发展得比较成熟。该技术通过将最大厚度点尽可能后移,在翼型前部保持顺压梯度,以此抑制边界层内不稳定扰动的发展。由于层流的维持容易受到环境扰动的影响,一般在雷诺数较小(25×106以下)、机翼横流效应不明显(机翼后掠角不大)的飞机上使用;LFC技术利用全弦长范围的吸气,消除边界层内的不稳定扰动,使机翼表面在各种飞行状态下都能够保持层流状态。这是一种理想的流动控制技术,理论上可以有效扩大层流区范围,减小巡航阻力,但实际应用时会遇到机翼翼盒综合设计的难题,且吸气所需的能量很大;HLFC技术结合了NLF和LFC的思想,通过合理的外形设计和前缘小范围的吸气控制实现层流控制的效果,减少了LFC的吸气要求,降低了系统的复杂性,避免了气动、结构等专业和吸气装置的耦合设计,在湍流状态下仍具有好的性能。此外,壁面冷却、主动柔性壁、多孔壁、表面粗糙元等被动和主动的流动控制技术也为机翼层流控制提供了新的思路。
层流对机翼表面的制造公差和光滑度有着严格的要求, 虽然国内外已经形成了较多的自然层流机翼的相关设计和验证方案,但投入工程实用的较为有限,原因之一就是缺乏光滑、防尘的机翼表层材质。最近30年,空客、ONERA、达索航空以及很多其它研究机构启动了多个与NLF和HLFC技术加工制造研究相关的项目,在材料科学技术的不断发展下,大大推进了自然层流机翼的实用化进程。
4 层流机翼技术发展方向
4.1 多设计点优化的超临界自然层流机翼
超临界机翼的诞生在一定程度上解决了大型民用飞机高巡航马赫数需求和高升阻比需求的矛盾,在跨声速领域广泛应用。在新一代民用飞机绿色、环保的新要求下,层流机翼技术成为新的发展方向,层流与超临界思想相结合的超临界自然层流机翼必然具有广阔的应用前景。
跨声速下,层流对后掠角的限制会减小机翼的巡航马赫数,较长的层流区和过大的顺压梯度会导致激波的增强和压力恢复段分离的产生,而激波与边界层的相互干扰会带来阻力的激增,这些特殊的流动特征使得超临界自然层流机翼气动设计十分复杂,需要权衡摩擦阻力、压差阻力以及巡航马赫数等关键因素,发展高精度的边界层转捩预测方法和高效的设计方法。目前国外关于超临界层流翼型及机翼的设计研究和试验验证方面取得了较丰富的成果,国内仍处于比较初步阶段,在转捩数值预测和转捩试验探测等方面进行了尝试,取了一些突破。
单点优化设计的高性能自然层流翼型及机翼会面临飞行环境的波动引起设计点层流区不稳定的问题,进而可能导致飞机性能的突然恶化。因此,在不采用主动控制技术的前提下,多设计点优化设计自然层流气动外形,使其可以在大气湍流等不确定因素的影响范围内,保持稳定的大范围层流区域是高性能自然层流机翼设计重要的发展方向。
4.2 混合层流流动控制技术的应用
传统层流机翼在大后掠角情况下具有局限性,因此壁面吸气的主动层流控制技术将是高速飞机层流机翼设计的重要发展方向,其中混合层流流动控制技术是目前最具有发展潜力和应用前景的技术。
20世纪90年代起,国外开展了混合层流控制技术的研究,在减阻机理、吸气控制系统的设计、混合层流机翼设计等方面取得了一定成果,并开展了飞行验证。试验结果表明,采用混合层流控制的Beoing757机翼表面可以推迟转捩至65%弦长位置,获得6%的减阻收益;A320尾翼的混合层流系统维持40%的层流区。Risse等针对 A350 类型飞机进行了混合层流初步优化设计,设计结果表明前缘 20% 弦长均匀吸气的混合层流技术将获得阻力降低8%,的燃油消耗减小10%的收益。国内的相关研究起步晚,但也在风洞试验和数值优化方面发表了一些研究成果。王菲等、邓双国等分别利用升华法和测温法对混合层流机翼开展了风洞试验研究,试验结果表明前缘吸气有效推迟了机翼表面的转捩;杨体浩等基于自由变形(FFD)参数化方法和改进的微分进化算法建立了可同时考虑吸气控制分布和机翼型面影响的HLFC机翼气动优化设计系统,对无限展长的后掠翼进行了优化设计研究;史亚云等利用数值方法研究了吸气孔径、孔间距、吸气孔位置对层流控制效果的影响,发展了基于能量观点的混合层流优化设计方法;航空工业一飞院预计将在2022年开展混合层流控制技术飞行验证研究。
尽管混合层流技术目前在工程上并不成熟,但已有的研究成果表明其具有极大的发展潜力,有望成为未来层流机翼的实现手段之一。建立能够精确模拟吸气和进行稳定性分析的转捩预测分析方法,搭建面向混合层流机翼的高效、可靠的优化设计系统,发展适用于混合层流机翼的试验方法和测试方法,完善混合层流机翼生产制造和运行维护手段等是混合层流流动控制技术目前需要解决的重要问题,对于混合层流技术早日实现工程应用具有重要意义。
4.3 超声速自然层流机翼
超声速自然层流机翼是近年来提出的新的概念,旨在研究在巡航速度超过声速飞机上应用层流机翼技术的手段,应用方向有先进运输机、长航时无人机、临近空间飞行器等。
NASA通过F-15B飞行验证机开展了超声速自然层流机翼的飞行试验,在马赫数2的飞行速度下,试验段外翼几乎获得了全范围层流,内翼段层流区约为75%~80%,如图20所示。洛马公司设计的超声速层流机翼减小10%的黏性阻力。这些结果极大地鼓舞了航空工业发展自然层流超声速机翼技术的信心。
相比低跨声速层流机翼,超声速层流机翼在流动特征上表现为高马赫数导致强压缩性,尽管压缩性增强带来的气动阻尼效应有利于抑制二维TS扰动波的发展,但大后掠高雷诺数下横流不稳定性更加强烈,三维TS斜波和横流行波成为可能主导转捩的不稳定模态。牛海波等开展的风洞试验结果表明,马赫数6时机翼前缘转捩主要由横流主导。因此,传统的转捩预测方法不再适用,需要发展能够考虑TS斜波和CF行波的转捩预测方法。此外,超声速层流机翼还需要兼顾声爆特性,开展层流声爆耦合设计。
5 结论
邓一菊,博士/研究员,航空工业第一飞机设计研究院总体气动所副所长,某型号气动副总师。主要研究领域为飞机总体与气动设计,参与、主持了多个项目总体气动设计工作,在气动部件设计、气动力分析、流动控制技术方面取得显著成果,先后获得省部级奖励5项,发表论文10余篇。
段卓毅,博士/研究员,中国航空研究院博士生导师,航空工业集团公司特级专家,中国航空学会常务理事。荣获国防科技进步奖、集团科技进步奖、冯如航空科技精英奖、优秀领导者奖等10余项。在国内外核心期刊发表论文50余篇,主编、主持翻译和译校并出版译著5部。
供稿:邓一菊
编辑:李明敏
审核:范真真
文章来源:航空学报
 
 工程师必备
-  项目客服
-  培训客服
-  平台客服
TOP
 
 



















