优化设计之拓扑优化
2023年1月9日 17:30浏览:4521 收藏:17
Topology Optimization
拓扑优化(topology optimization)是一种根据给定的负载情况、约束条件和性能指标,在给定的区域内对材料分布进行优化的数学方法,是结构优化的一种。是在给定的3D几何设计空间内对设计人员设置的定义规则集优化材料的布局及结构的过程。目标是通过对设计范围内的外力、荷载条件、边界条件、约束以及材料属性等因素进行数学建模和优化,从而最大限度的提高零件的性能。
自然频率重量比
密度法
如果形状密度为0,单元的体积和刚度也变为0
如果形状密度为1,单元将保持原有的体积和刚度
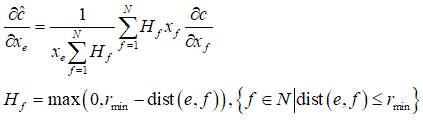
1)使用相近单元的单元明感度作为平均权重(与距离成反比)
2)包含在每个单元的平均密度里的域是参考最大单元半径计算 (从单元中心到单元节点)
1)边界条件或与其他部分的连接方式已经明确的受载荷部分,或已设计好而不需要优化的部分
2)尽管设计组和非设计组都包括在相关的分析中,非设计组中的单元密度始终为1
3)不受制造条件影响,因为它被排除在优化之外并被固定
小贴士:
非2D或3D单元将自动被考虑为非设计组,即使它们被包含在设计组。
技术邻APP
工程师必备
工程师必备
- 项目客服
- 培训客服
- 平台客服
TOP
9
17




















