研究论文 | 聚醚醚酮/碳纳米管改性聚丙烯Janus复合隔膜的制备及性能
2023年1月11日 17:40题目:聚醚醚酮/碳纳米管改性聚丙烯Janus复合隔膜的制备及性能
作者:杜新伟 ,赵文杰 ,呼微*, 孙昭艳,刘万利, 任天磊,付明星
文章链接:
http://yyhx.ciac.jl.cn/CN/10.19894/j.issn.1000-0518.220065
DOI:10.19894/j.issn.1000-0518.220065
研究背景
目前,聚乙烯(Polyethylene,PE)和聚丙烯(Polypropylene,PP)微孔膜隔膜已广泛应用于商业化锂离子电池(Lithium-ion batteries,LIBs)中,但聚烯烃隔膜热稳定性差,在高温下易发生热收缩,使电池正负极接触进而造成安全隐患;此外聚烯烃隔膜由于其表面极性较低,对电解液浸润性较差,阻碍了Li+的传输,限制了电池性能。
聚醚醚酮(Polyether-ether-ketone,PEEK)具有优异的热稳定性、良好的电解液浸润性和稳定的化学惰性,适合用于锂离子电池隔膜。但由于PP对PEEK的粘附性较差,所以需要先对商业化PP隔膜进行表面活化,提高其对PEEK涂层的粘附性。
碳纳米管(Carbon nanotube,CNT)是一种具有特殊结构的一维量子材料;它重量轻,具有高电导率;连接完美的六边形结构提供了高拉伸强度和刚性,并能促进Li+的均匀存储和分散。这些特点使CNT非常适合应用在电池材料中,常用作锂离子电池的优良导电添加剂。电池隔膜本身应当完全绝缘,将 CNT添加到隔膜一侧涂层中,能够制备一种单面导电的 Janus复合 PP隔膜。将导电一侧面对正极,在提高正极侧导电率的同时,可促进Li+的均匀存储和传输,降低界面阻抗,从而提高电化学性能。
研究思路
本研究将含CNT的PEEK涂覆在PP的一侧制备成单面导电的Janus复合PP隔膜(PP@C),具体步骤为将一定质量的 CNT和 PEEK溶于硫酸/甲烷磺酸的混合溶液中,制备成 CNT含量不同的 PEEK涂覆液,同时用臭氧对PP隔膜进行氧化处理,使其表面产生羟基和羧基等活性基团,提高对PEEK涂层的粘附性,然后将涂覆液涂覆在 PP膜上,迅速转入甲醇/水溶液中通过相转化法固化成多孔膜。研究表明,所制备的单面导电的多孔 PP@C复合膜具有优异的尺寸热稳定性和电化学性能。
图文速读
表 1 隔膜的物理性能
图1 PP@C复合隔膜在180 ℃下热处理0. 5 h的前(A-C)、后(D-F)的照片
图2 (A)CNT的透射电子显微镜(TEM)图片;PP@C复合隔膜表面的SEM图片(B)PP,(C)PP@C2,(D)PP@C5
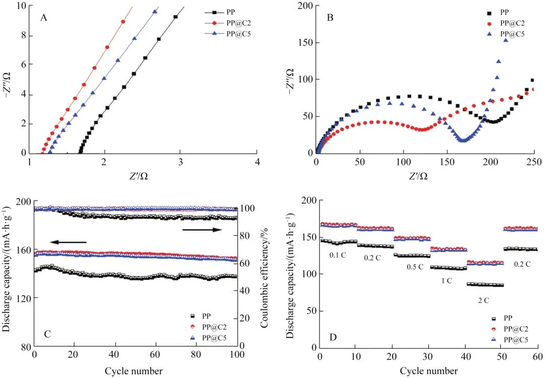
图 3 PP@C 复合隔膜的电化学性能:(A)EIS图;(B)电化学阻抗曲线;(C)Li/隔膜/LiFePO4电池循环曲线;(D)电池倍率性能曲线
结论
本研究通过 PEEK/CNT 复合溶液涂覆改性 PP隔膜成功制备了具有高热稳定性和优异电化学性能的Janus复合隔膜PP@C。复合隔膜PP@C具有超高的尺寸热稳定性,在180 ℃下热处理0.5 h不会发生熔融变形,显著提高隔膜的尺寸热稳定性和电池的安全性。此外,复合隔膜PP@C表现出较高的电解质润湿性,PP@C2的电解质吸收率为193. 8%,有利于Li+的传输,从而获得更好的电化学性能。PP@C2离子电导率高达1.18×10-3 S/cm。采用 PP@C2 组装的 LIBs 在 0.2 C 时的放电比容量为 157.6 mA·h/g,2 C时的放电比容量为129.8 mA·h/g,且从2 C恢复至0.2 C放电时,容量恢复率达到99%以上。这是由于涂覆层中PEEK的高热稳定性和对电解液的良好浸润性,以及CNT的高导电率和对Li+的均匀存储和分散,使隔膜能够在提高电池安全性的前提下,还能具有优异的电化学性能。
作者简介
呼微
研究领域:天然高分子复合材料研究及开发;聚烯烃聚合及微结构研究;纳米杂化材料研究及高性能聚合物的功能化等。
邮箱:huw884@nenu.edu.cn
文章来源:应用化学
工程师必备
- 项目客服
- 培训客服
- 平台客服
TOP




















