复合材料力学中的蔡氏模量Tsai's modulus
2023年1月29日 08:51蔡氏模量,Tsai's Modulus,指的是复合材料刚度矩阵Q的迹(Trace),即Tr(Q),2020年,为了表彰Stephen W. Tsai教授在新的不变量理论(文献中的叫法比较多:Invariant-based theory/ Trace theory/ Trace-based approach)发现中起到的关键作用以及对复合材料力学发展的重要历史贡献,20多名复合材料领域的学者联名将Tr(Q)命名为“Tsai's modulus”,中文可译作“蔡模量”或“蔡氏模量”,并评价“Tsai's modulus”为近些年复合材料力学领域发现的最重要、最基本的概念之一[1]。 君莫
蔡氏模量,源于早期的刚度不变量,不变量本身并不是一个新鲜事物。二阶对称张量至少存在三个独立不变量。以表征复合材料应力应变关系的刚度矩阵Q为例,矩阵的迹Tr(Q)=Q11+Q22+2Q66以及以下三种组合均为刚度矩阵的不变量,与坐标系统、铺层层数、铺层顺序以及层压板的加载条件(面内或弯曲)无关,这一概念自上世纪六七十年代就已经提出来了,并用于复合材料层压结构的设计。
在过去的研究中,并未将不变量作为独立的工程常数使用。2014年,斯坦福大学Stephen W. Tsai教授等人在原不变量理论基础上,通过数据统计分析发现采用Tr(Q)对不同材料刚度归一化处理之后,其刚度属性存在很强的相似性。因此,将Tr(Q)作为一种新的独立的材料常数,且可以通过基于Tr(Q)的简单缩放对结构进行刚度分析,其优势是可以大幅减少表征材料性能的物理试验数量和复合材料结构设计分析的计算量[2-5]。
先了解一下几个概念:
(1)蔡氏模量:刚度矩阵的迹
(2)层压板厚度归一化刚度(与厚度无关)
其中A、D阵分别为经典层压板理论中层压板的面内刚度矩阵和面外刚度矩阵,且存在以下关系:
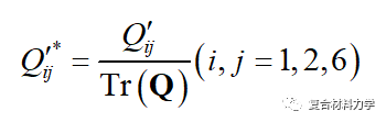
(3)Trace归一化刚度系数(无量纲):用蔡氏模量对刚度系数进行归一化处理
单星*表示层压板等效刚度的厚度归一化值,双星**表示层压板等效刚度的trace归一化值,这种表达形式能更清晰的区分不同的归一化类别,不易混淆[11]。
(4)Trace归一化等效模量(无量纲):用蔡氏模量对层压板等效工程常数进行归一化处理。
(5)master ply:主铺层或平均主刚度(目前国内没有统一的翻译),指的是多种材料的Trace归一化刚度系数或Trace归一化等效工程常数的平均值[2-4]。归一化以后,不同的材料会呈现相似的力学性能。如下表所示。
上述表格中的数据统计可以看出,十几种复合材料本来的力学性能是差异很大的,但经过归一化处理之后,Qxx*和Ex*的数值分别接近于0.885和0.880,且数据变异系数仅有1.5%。0.88代表了纤维主导的刚度占据了总刚度的88%,而基体主导的横向刚度及剪切刚度总和仅占据12%。因此,即使Qyy*,Qxy*,Qss*,Ey*,Gxy*变异系数较大,但复合成层压板之后,对层压板刚度的影响是有限的。这一规律是采用蔡氏模量对层压板刚度进行快速估算的基本前提。
用图片展示的话就是下面这张图的样子[3]:
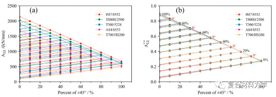
以下是几种不同材料、不同铺层组成的层压板的归一化刚度对比,可以看出数据的分散度是比较小的。
以复合毯式曲线形式进行展示就是下面这个样子,左侧为不同材料的实际层压板刚度,右侧为归一化之后的无量纲刚度,原本差异很大的毯式曲线,归一化处理之后呈现良好的一致性[11]:
了解以上概念能帮助读者快速入门Trace方法。更多内容可参考文末的参考文献。
小结
在过去的六十年中,复合材料结构力学分析的基本原理未曾发生大的变化。由于复合材料各向异性及层状堆栈的特点,经典的结构力学分析都需要输入不同方向的模量、强度等参数,结构性能与铺层材料、铺层比例和铺层顺序密切相关。这使得复合材料结构力学分析相比金属结构而言复杂很多。当结构选材、铺层比例、铺层顺序发生改变时,都需要从新开展繁琐的力学分析和试验验证,过程耗时长,成本高。新的不变量理论(或基于蔡氏模量的分析方法)的发展对解决上述问题提供了新的思路。理想状态下,仅通过一件单向拉伸试验就可以估算一种碳纤维复合材料的Tr(Q),并通过“master ply”(中文直译为“主铺层”,意译的话应该译作“平均主刚度”比较合适)计算单向板的真实刚度,进而计算层压板的刚度。
2015-2018年之间,该理论在学术界关注度并不是很高,可能主要是偏向于工程应用,到2019年以后才逐步受到重视,目前已有部分研究工作对“Tsai's modulus”和“master ply”等概念进行了数据验证和应用探索[6-11]。相信工程界以后关注的人会越来越多。
国内自2015年就开始跟踪Trace相关理论方法,并对概念和方法进行了大量的验证,目前相关技术已在工程设计中得到初步应用,并且有一些新的发现,期待后续的报道。
Stephen W. Tsai教授简历
Stephen W. Tsai,美籍华裔复合材料专家,“复合材料之父”、美国国家工程院院士,斯坦福大学终身教授。生于北京。1948年入燕京大学,后转学美国耶鲁大学,1952年和1961年,Stephen W.Tsai分别获得耶鲁大学机械工程系学士和博士学位。在美国空军材料实验室工作20多年,曾任首席专家和主任。曾任华盛顿大学教授、美国斯坦福大学航空航天系研究教授。美国复合材料学会创始人。国际复合材料学术会议第6~8届主席。美国特拉华大学复合材料蔡氏奖章获得者。自1961年起从事复合材料技术和研究工作。把复合材料单向板的破坏强度与米泽斯–希尔各向异性材料屈服准则的破坏强度参数联系起来,于1965年建立复合材料单向板的Tsai–Hill准则。1971年,他与Edward M. Wu将所有现存的唯象论破坏准则归为高张量多项式破坏准则的各种特殊情况,提出了更具有普遍意义的复合材料单向板二阶张量破坏准则,即Tsai-Wu准则。撰有《复合材料导论》(1980)、《复合材料设计》(1988,第4版)、《复合材料设计原理》(1992)、《复合材料设计与验证——揭秘复合材料》(2015)、《复合材料层压板分析、设计的理论与实践》(2017)、《Double–Double层压板》(2022)等专著。
目前以Stephen W. Tsai名字命名的理论和概念有Tsai–Hill准则、Tsai-Wu准则、Tsai–Ha准则(MMF多尺度)、Tsai模量等。近几年还提出了Unit-circle判据,2021年,92岁高龄的Stephen W.Tsai教授还在AIAA上以独立作者身份发表了题为《Double–Double: New Family of Composite Laminates》的学术论文,文中提出了一种全新的层压板概念——Double–Double层压板,简称DD层压板,相较于航空领域传统的π/4层压板而言,新型的DD层压板具有设计空间无限、连续,工艺性好、减重效率高等优点,目前这一概念也受到了国内外研究机构的广泛关注。
参考文献:
[1]ARTEIRO A, SHARMA N, MELO J D D, et al. A case for Tsai’s Modulus, an invariant-based approach to stiffness [J]. Composite Structures, 2020, 252:112683
[2]S.W. Tsai, J.D.D. Melo, An invariant-based theory of composites, Composites Science and Technology 100 (2014) 237-243.
[3] S.W. Tsai, J.D.D. Melo, Composite Materials Design and Testing: Unlocking mystery with invariants, Composites Design Group, Stanford University2015.
[4] S.W. Tsai, S. Sihn, J.D.D. Melo, Trace-based stiffness for a universal design of carbon-fiber reinforced composite structures, Composites Science and Technology 118 (2015) 23-30.
[5] S.W. Tsai, A. Arteiro, J.D.D. Melo, A trace-based approach to design for manufacturing of composite laminates, Journal of Reinforced Plastics and Composites 35(7) (2016) 0731684415624770.
[6]HA S K, CIMINI C A. Theory and validation of the master ply concept for invariant-based stiffness of composites [J]. Journal of Composite Materials, 2017, 52(12): 1699-1708.
[7] GUEDES R M. Validation of trace-based approach to elastic properties of multidirectional glass fibre reinforced composites [J]. Composite Structures, 2021, 257:113170.
[8] MELO J D D, BI J, TSAI S W. A novel invariant-based design approach to carbon fiber reinforced laminates [J]. Composite Structures, 2017, 159:44-52.
[9] ARTEIRO A, SHARMA N, MELO J D D, et al. A case for Tsai’s Modulus, an invariant-based approach to stiffness [J]. Composite Structures, 2020, 252:112683
[10] MILLEN S L J, FALZON B G, ARAVAND M A. Invariant based approaches in the design of composite laminates [J]. Composites Science and Technology, 2021, 202:108526.
[11]L.Y. JIA, C. ZHANG, J.X. LI et al.. Validation and development of trace-based approach for composite laminates[J], Composites Science and Technology, 2022, 221,109348
文章首发复合材料力学公众号,同步发布技术邻平台,其他平台转载请联系作者。
工程师必备
- 项目客服
- 培训客服
- 平台客服
TOP




















