Ansys Zemax | 在 OpticStudio 中使用自由曲面进行设计
2023年2月14日 15:13在OpticStusio的序列和非序列模式中,我们可以使用各式的工具进行自由曲面的光学设计。本文中,我们提供了一个以切比雪夫多项式表面(Chebyshev Polynomial surface)设计出离轴抛物面的范例,且此系统是在系列模式中进行设计的。另外,在OpticStudio的序列模式中有超过20种自由曲面供选择,本文将提到镜头数据编辑器(Lens Data Editor)中一些好用的筛选功能,可以协助设计者根据不同的应用决定适合的自由曲面。
下载
联系工作人员获取附件
简介
相较于传统的球形光学原件,自由曲面是一种复杂、且拥有更大设计自由度的表面。虽然在制程上较为困难,但自由曲面的使用可以大幅的减少系统的体积。自由曲面可被应用在各式不同的领域,天线、激光光束整形器(laser beam shaper)和哈伯太空望远镜等的设计中,早已可见自由曲面的踪迹1。
OpticStudio提供了许多好用的功能,供用户在序列和非序列模式中进行自由曲面的设计。这篇文章,我们会在序列模式中以切比雪夫多项式表面设计出离轴抛物面。同时,我们还会讨论如何快速的针对不同系统找出适合的自由曲面种类。
切比雪夫多項式表面(Chebyshev Polynomial surface)
在众多OpticStudio的自由曲面选择中,唯独此表面是由切比雪夫多项式 (Chebyshev Polynomial)所定义的。这种类型的多项式的项次在归一化方形孔径上彼此正交,代表构成表面几何形状的系数呈线性独立。如此一来,当我们对表面的几何关系进行优化时,将不再受到局部最小值(local minima)的限制。与非球面的系统相比,自由曲面的设计过程可因此而变得更直观。此外,切比雪夫多项式是由卡氏坐标推导出的,而多数的多项式自由曲面则用于描述旋转对称的系统。如此的特性使我们可以在非旋转对称或非椭圆孔径的系统中对表面进行定义。
第一类的切比雪夫多项式如下:
前十个切比雪夫多项式参数如下:
T0(x) = 1
T1(x) = x
T2(x) = 2x2- 1
T3(x) = 4x3- 3倍
T4(x) = 8x4- 8倍2+ 1
T5(x) = 16x5- 20倍3+ 5 倍
T6(x) = 32x6- 48倍4+ 18 倍2- 1
T7(x) = 64x7- 112倍5+ 56 倍3- 7倍
T8(x) = 128x8- 256倍6+ 160 倍4- 32倍2+ 1
T9(x) = 256x9- 576倍7+ 432 倍5- 120倍3+ 9 倍
T10(x) = 512x10- 1280倍8+ 1120 倍6- 400倍4+ 50 倍2- 1
我们可以使用下方的tij (x,y)关系,将上式简化为二维切比雪夫多项式:
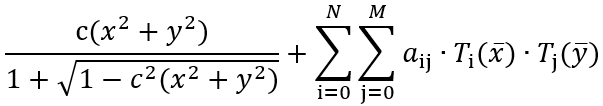
将切比雪夫多项式的有限项次进行加总,产生如下的自由曲面矢高公式:
这里的一个ij 代表多项式总和的系数; x和y则是归一化表面的坐标; N和M则是多项式在x和y方向上的最大项次; c则代表基本球体的曲率半径,球体位于多项式的最上方。
由于多项式的最大阶数仅受到运算速度的限制,因此就一般的情况而言,10阶的多项式就已经能充分的描述大部分的表面了。
使用切比雪夫多项式表面设计离轴抛物线
我们使用切比雪夫多项式产生离轴的抛物面作为一个简单的范例。系统的规格如下方的图 1。
参数 |
数值 |
备注 |
焦距 (Focal length) |
500 毫米 |
|
镜面孔径 (Mirror aperture) |
50 x 50 毫米 |
|
偏心距离 (Decenter distance) |
60 毫米 |
须大到足以让焦平面位于入射光束外侧 |
入瞳直径(入射瞳孔直径) |
71 毫米 |
须容纳50 x 50 平方毫米的方镜 |
波长 (Wavelength) |
1 微米 |
|
视场角 (Field angle(s)) |
0 |
根据理论计算最佳成像的角度 |
图1:系统的实体模型,包含了一个由切比雪夫多项式表面所产生的离轴抛物面。
表面2上的coordinate break将表面在y方向上平移了60毫米。表面3则包含了切比雪夫多项式表面。因为我们想要产生一个500毫米长的焦距,因此设定该表面的厚度为500毫米。而材质的部分则设为“Mirror”,以产生一个反射表面。
图2:在镜头数据编辑器中,切比雪夫多项式表面位于编号第三的字段
下方图3显示了表面3的表面属性。切比雪夫多项式表面的孔径设为50 x 50,并有-60毫米的偏心。在系统选项(System explorer)中,我们设定入瞳直径为71毫米以容纳个方形面镜。
图3:表面3的属性窗口,定义了面镜的方形和偏心孔径。
对于切比雪夫多项式表面而言,C(2,0)这一项的系数与多项式T2(十) • 吨0(y) (即 2x2 – 1)有关,而C(0,2)则会受到多项式T0(十) • 吨2(y) (即 2y2 – 1)的影响。假如 C(2,0)和C(0,2)的值是相等的,则会产生出一个旋转对称的抛物线。要注意的是在镜头数据编辑器中,切比雪夫多项式表面的基本球体曲率半径被设为零(如图2),如此一来C(2,0)和C(0,2)即可完整的表是表面的曲率半径。
在本范例中,切比雪夫多项式表面的最大项次为2,如图4所示。我们可以同时由图4得知归一化的x和y长度。在编辑器中,这两项均被设为85毫米,与偏心长度和面镜的半宽总和,或是参考抛物线的曲率半径(radius)相同。
图4:x和y的归一化长度设为85毫米,而x和y的最大项次为2。
为了产生抛物线,C(2,0)和C(0,2)表面被设为变量,如图5所示。而在这两个字段中,我们先输入一个猜测值(-0.0001)。接着我们可以先观察实体模型(shaded model,图6),此时的结果并不正确,无法将入射光汇聚到指定的像面上。
图5:使用切比雪夫多项式表面产生抛物面,我们需要设定C(2,0)和C(0,2)的系数。假如这两项数值是相等的,则产生的结果将会是一条旋转对称的抛物线
图6:实体模型的结果显示切比雪夫多项式的系数是有偏差的,导致光线无法顺利汇聚到指定像面上
当我们正确的设定方形面镜的系统孔径后,接着就可以使用预设优化函数进行优化了。假如抛物线在y方向上的定义十分明确,则主光线必定会落在像面上y=0的位置,此时操作数REAY便可帮助我们快速的达成目标。优化函数的设定和结果如图7和图8所示。
优化完成后,预期的抛物线如图9和图10所示。C(2,0)和C(0,2)的正确系数为-2.5e-4。标准点列图(spot diagram)显示了预期的理想结果。
图7:默认优化函数的设定
图8:优化函数编辑器中的前几行
图9:优化功能协助我们找到切比雪夫多项式表面的C(2,0)和C(0,2)项系数。
图10:3D视图和点列图显示产生的离轴抛物线结果,光线如预期的汇聚于像面上。
选择自由曲面
镜头数据编辑器中的表面分类可以帮助用户快速找到适合的表面。在OpticStudio中,我们可以在表面类型的下拉菜单中找到所有可用的自由曲面,数据库中有超过20种表面供选择。假如传统的Q型非球面 (Q-Type)或偶次非球面较符合需求,我们也可以在“常规面”的选单中找到这些常见的表面。
图11:我们可以依照系统需求在镜头数据编辑器中找到适合的表面分类。
自由曲面数据库中包含了由多项式定义的一般表面和绕射表面,以及由数个控制点(control point)定义的表面。
多項式自由曲面
双锥Zernike (Biconic Zernike)
切比雪夫多项式 (Chebyshev Polynomial)
圆柱菲涅尔 (Cylinder Fresnel)
扩展菲涅尔 (Extended Fresnel)
通用菲涅尔 (Generalized Fresnel)
奇次非球面和擴展奇次非球面 (Odd Asphere和Extended Odd Asphere)
多项式和扩展多项式 (Polynomial和Extended Polynomial)
超圆锥面 (Superconic)
泽尼克环形标准下垂
泽尼克边缘凹陷
泽尼克标准下垂
绕射自由曲面
椭圆光栅1和2 (Elliptical Grating 1 和 Elliptical Grating 2)
Toroidal 光栅 and 扩展 Toroidal 光栅 (Toroidal Grating 和 Extended Toroidal Grating)
自由形式拟合控制点
三次样条和扩展三次样条 (Cubic Spline and Extended Cubic Spline)
网格渐变 (Grid Gradient)
网格矢高 (Grid Sag)
徑向NURBS (Radial NURBS)
环形努尔布斯
参考文献
1. M. Tricard 和 D. Bajuk,“自由曲面光学的实际实例”,载于《可再生能源与环境》,OSA 技术文摘(在线)(美国光学学会,2013 年),论文 FT3B.2。
相关阅读
Ansys Zemax | 如何在 OpticStudio 中模拟人眼
欢迎扫码添加宇熠工作人员微信,
进入 zemax 微信交流群。
一起来学习光学设计吧!
扫码邀您入群
武汉宇熠科技是 ANSYS 全线产品中国区官方指定代理商,提供 Ansys Zemax、Ansys Lumerical、Ansys Speos 等软件产品的培训、销售、技术支持、二次开发、解决方案及这些软件相关全方位定制服务。(点击查看:全新服务!从光学设计到打样生产的整套解决方案)
有关以上软件 ,您可以点击文末“阅读原文”了解更多信息,或致电垂询武汉宇熠工作人员:
销售热线:027-87878386
咨询邮箱:sales@ueotek.com
工程师必备
- 项目客服
- 培训客服
- 平台客服
TOP




















