基于高导热铜基复合水凝胶的电子器件热管理新策略
2023年4月14日 08:49
来源 | International Journal of Heat and Mass Transfer
背景介绍
典型的散热方式分为主动和被动散热和热电冷却。被动冷却被认为是一种理想的散热方法,可以降低噪音,从而降低能耗与上述方法相比。被动散热主要包括自然对流、气液或固液相变冷却。热管作为一种高效的气液换热装置,因其可靠性高、热性能优异,已广泛应用于高功率密度电子元件的热管理中。然而,在使用热管冷却时也存在一些问题。例如,热管内外的腐蚀会影响传热性能。此外,污垢和结构布局的问题也对电子散热产生重大影响。
水凝胶是一种新型的被动散热材料 亲水交联聚合物链网络。由于水凝胶中含有大量的亲水基团,所以可以保持大约90%是水。水凝胶中的水由于其高潜热(蒸发热)被认为是热管理的一个有前途的候选材料。然而,由于水凝胶的导热性不佳,研究人员探究了许多方法来提高水凝胶的导热性,因此如何提高水凝胶的热导率是目前面临的挑战之一。
02
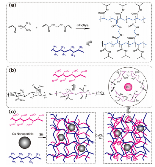
成果掠影
东南大学陈振乾教授团队在高导热水凝胶的制备与设计方面取得新进展。在这项工作中,该团队采用了一种新的设计策略,将固液互穿聚合物网络与铜纳米颗粒结合起来,以提高热管理性能。一方面,聚异丙基丙烯酰胺与海藻酸盐组成的互穿聚合物网络,使制备的水凝胶具有更好的结构稳定性,并且在多次循环后仍具有较强的吸湿性。另一方面,通过添加铜纳米颗粒创建导热通道优化导热系数。导热系数通过MD模拟计算,散热性能通过红外热像仪和数值模拟研究。实验结果表明,铜基复合水凝胶的实验导热系数提高到 0.71 W/(m·K)。同时,MD模拟结果表明,水凝胶的热导率约为 0.84 W/(m·K),这主要是由于水凝胶组分之间的重叠增加造成的。由于导热系数的提高,在恒定热源温度65℃下,铜基复合水凝胶的热通量增加到 977 W/m2,总散热增加了104.4%。热管理测试表明,铜基复合水凝胶的热管理温度可达 35℃-50℃。混合策略提高了互穿聚合物网络与铜的协同性能,提高了材料的热导率和机械强度,降低了铜纳米颗粒的聚集,为热管理提供了一种新的策略。研究成果以“A thermal management strategy for electronic devices based on copper double skin inspired hydrogel”为题发表于《International Journal of Heat and Mass Transfer》。
图7. 水凝胶的热管理性能测试。
图8. 水凝胶的热辐射和热对流的水蒸气蒸发速率、水凝胶的蒸发速率。
END
工程师必备
- 项目客服
- 培训客服
- 平台客服
TOP




















