复合材料失效理论知多少(十)——Tsai–Wu失效准则
 2023年5月11日 19:05
   2023年5月11日 19:05Tsai-Wu 失效准则是一种唯象材料失效理论,广泛应用于拉伸、压缩强度不同的各向异性复合材料。当层合板的失效指数达到 1 时,Tsai-Wu 准则预测达到失效状态。该失效准则是一般二次失效准则的特例,可以表示为以下形式:
其中,Fi和Fij均是通过实验得到的强度参数,σi和σij采用的是二阶张量的Voigt标记方式,如果假定破坏包络面是封闭凸面,相互作用项Fij还需要满足下列约束:
这也就意味着Fii项必须是正值。
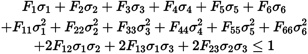
对于具有三个对称平面的正交各向异性材料,如果假设Fij=Fji,且假设正应力和剪应力之间、剪应力与剪应力之间没有耦合的条件下,Tsai-Wu 失效准则的一般形式简化为:
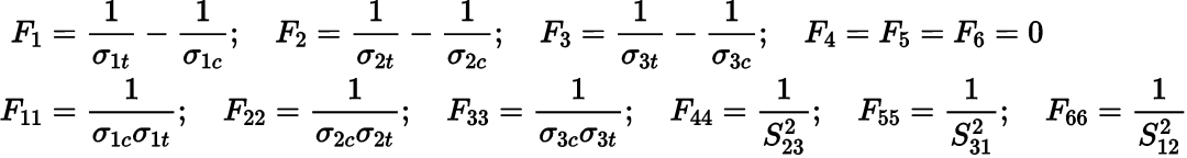
通常,正交各向异性材料在三个方向的单轴拉伸、压缩强度表示为σ1t、σ1c、σ2t、σ2c、σ3t、σ3c,剪切强度表示为S23、S31、S12。那么正交各向异性 Tsai-Wu 失效准则的系数为:
上式中,F1、F2、F3、F44、F55、F66可以通过简单地单轴拉伸实验或剪切试验得到,另外,在有的教科书中F1、F2、F3、F11、F22、F33表示为:
两者差了一个负号,这取决于压缩应力自身带不带负号,如果压缩应力自带负号(负数)则用后者,否则用前者。
理论上系数F12、F13、F23可以通过等双轴试验(两个方向应力相同)来确定。如果等双轴拉伸的破坏强度是:
则F12、F13、F23可以表示为:
但是实际上,等双轴试验测定很难,在过去的几十年中,也有无数的尝试去确定这个参数,部分复合材料力学教材里给出过当
时误差最小的结论。近期,诺丁汉大学李曙光老师从自洽性角度出发对F12的合理取值给出了唯一地确定,也使得Tsai-Wu理论更加完备。详情可以阅读之前复合材料力学公众号推送的文章(【五一特邀稿件】理性化了的Tsai-Wu破坏准则)。
 
 工程师必备
-  项目客服
-  培训客服
-  平台客服
TOP
 
 



















