【流体机械专栏】考虑簧 片阀耦合的往复活塞压缩机三维瞬态CFD分析
2023年6月12日 15:18流体机械专栏
考虑簧 片阀耦合的往复活塞压缩机三维瞬态CFD分析
合工技术团队
引言
往复活塞压缩机是冰箱和空调中常用的压缩机。虽然该类型压缩机效率高,但从节能减排考虑,需要进一步提高其效率和性能。传统改进方法依赖于试错法,即进行多次设计改进和实验测试。然而这种方法既昂贵又耗时,近来为了尽量减少冰箱和空调对环境的影响以及随着计算计算能力的提升,人们开始关注数值模拟技术以改进产品设计。在已有往复式压缩机系统的建模中,大部分都是使用一维或零维模型。
往复式压缩机通常有三个独立的运动部件:具有规律运动的活塞,根据作用在其上的压力而动态开启的进气阀和排气阀。压缩机活塞和进出口阀片在运行时相互作用,阀片动力学对压缩机系统的效率和性能起到很大的作用,因此在仿真模型中必须同时考虑活塞压缩机和阀片之间的耦合关系。在已有的报道中鲜有这种活塞压缩机-阀系统耦合CFD模型。这是因为,往复压缩机的三维CFD耦合建模会涉及复杂的运动网格算法和可变时间步长模型,建模难度太大。Simerics MP+软件专注于容积式流体机械(如泵和压缩机)的CFD仿真,将往复压缩机三维CFD网格划分和求解方法模板化,解决了软件易用性和稳定性的问题。
图 1 往复压缩机原理图
往复式压缩机CFD模型
模型创建
首先从压气机的装配模型中提取流体域,包括所有的进出口以及真实的阀片几何形状,如图2所示。
图2 压缩机结构与流体域模型
对于非运动部件区域,使用Simerics二叉树网格生成器创建了一个非结构化的三维六面体笛卡尔网格。下面将进一步介绍出口阀,吸入阀和活塞室的动网格设置。
图3 全活塞压缩机网格视图
吸排气阀、压缩机网格划分
排气阀网格通过Simerics专有的阀模板网格创建。模板生成一个考虑阀门可能运动路径的结构网格,在模拟过程中适当地对网格进行变形以适应阀门的运动,如图4所示。
图4 不同开启度的排气阀网格
往复式压缩机运行过程中,由于吸入阀打开进入压缩室,吸入阀和活塞头的扫掠体积会重叠,需要在Simerics中实施网格变形算法。分别创建阀门和压缩腔室的初始网格,并使用隐式网格界面连接。在压缩机的运行过程中,活塞的运动是确定的,但阀门运动是由压缩机动态决定。为了保证精确捕捉两种运动,定义了两个网格变形区域。如图5所示:用Zone1变形捕捉阀运动,而Zone 2变形捕捉活塞运动。两个区域用黄线区分,在模拟过程中根据吸入阀与活塞的分离情况自动更新其分离位置。
图5 吸气阀和活塞压缩机腔室的网格剖面图,图中演示了网格变形算法
吸排气阀动力学模型
吸入簧 片阀如图6所示:它由一块薄金属片制成,一端固定,另一端自由。该阀门将在流体作用下弯曲,为流体流动创建开口。由于簧 片阀与活塞压缩机的强耦合性,且簧 片阀的转动惯量小,因此簧 片阀与活塞压缩机的耦合成为一个非常棘手的刚性流固耦合系统。本方案中吸排气阀被建模为刚性簧 片阀,采用等效刚体旋转实现阀的弯曲运动。
图6 吸气阀几何形状 B簧 片阀的旋转与弯曲状态
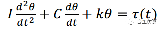
阀门的动力学问题使用以下常微分方程求解:
Θ是由阀门关闭位置起的阀门开启角度,I是转动惯量,C是旋转摩擦力,k是扭转弹簧系数,τ是流体力扭矩,t是时间。
边界条件设置
本案例为Tecumseh公司的工业往复式活塞压缩机,以论证前面章节所述方法的可行性。利用制冷剂R134a的真实气体特性进行了模拟,R134a的所有特性:密度、粘度、热容量和电导率都被认为是压力和温度的函数。
设定活塞的运动方程为:
式中r1是曲柄偏心长度,r2连杆长度,e是偏心直径,活塞的转速是ω,设定为每分钟3600转。模型边界条件设置如图7所示。
图7 模型边界条件
结果分析
对压缩机进行瞬态仿真,通过吸排气阀的两个截面,得到不同曲柄角下压缩机内部压力如图8所示。从图中可以看出,在0˚,活塞处于下止点中心,吸气阀处于微开状态(即将关闭),排气阀处于关闭状态。在接近上止点165˚,压缩腔室处于高压状态,排气阀开启。当活塞在270˚和300˚完成吸气行程过程中,室内压力下降,吸气阀打开。压缩机内部的温度如图9所示。可以看出,随着活塞越靠近上止点,腔内温度升高,但在吸气冲程中温度保持较低状态。
图8 压缩机活塞作周期运动时不同位置的压力
图9 压缩机活塞作周期运动时不同位置的温度
压缩机P-V图如图10所示。同时也给出了过压和欠压状态的吸排气压力。欠压区和过压区分别代表吸排气过程中消耗的能量,用P-V图可以求出压缩机的效率和功率消耗。在活塞上止点处,活塞和气缸盖之间的间隙为100微米,这个小的中止体积反映在P-V图上。
图10 压缩机P-V图
图11绘制了模型预测的吸、排气阀开度随腔体体积的变化。可以看出,结果在循环中是周期性的,排气阀在循环中压缩半段的最后30度左右打开,在吸入冲程开始时关闭。在吸气行程中,吸气阀在上止点后约40度左右开启。吸气阀在吸入冲程中呈现出阀门颤振,并在压缩冲程中30度以后关闭。一般情况下,可以看到,由于固定器的存在,排气阀的运动具有刚性,这使得它的开启度小于吸气阀,关闭也更快。吸气阀有一个较低的刚度,因此可以有更高的开启,也表现出一个缓慢的阀振荡。
图11 压缩机模拟3个循环的阀门开度随室容积的变化情况
图12为吸排气流量,正如预期的那样,流量与阀门开度角非常吻合,排气流量以尖峰的形式出现,而吸气流量沿吸入冲程分布更加均匀。另一个需要注意的重点是,当阀门关闭时,流量为零,因为Simerics能够使阀门完全关闭,当动力学预测阀门完全关闭时,模型中阀门和阀座之间的间隙基本上为零。
图12 压缩机模拟3个循环的吸排气质量流量
小结
本文提出了一种新的往复活塞压缩机三维CFD瞬态仿真方法,可以用于指导工业设计。
压缩机的模拟包括压缩腔与吸排气阀的全耦合FSI模拟,不因简化而结果失真;
采用阀模板网格对进排气阀进行网格划分,采用网格变形算法解决吸气阀、活塞扫掠体积干扰问题;
所开发的方法在一个工业Tecumseh往复压缩机上进行了验证,仿真结果和预测的阀门运动合理;
基于模板建模,易于使用,仿真周期快,使其成为设计和分析往复式活塞压缩机系统的有力工具。
文章来源:合工仿真
工程师必备
- 项目客服
- 培训客服
- 平台客服
TOP




















