涡旋压缩机切向泄漏瞬态流场特性
2023年6月16日 11:21浏览:2914 评论:1 收藏:2
作者:李正 1,2 刘祯 1,2 吴华伟 1,2 谢东升 1,2 钱伟 1,2
单位:1. 湖北文理学院纯电动汽车动力系统设计与测试湖北省重点实验室;2. 湖北文理学院汽车与交通工程学院
引用: 李正,刘祯,吴华伟等.涡旋压缩机切向泄漏瞬态流场特性[J].储能科学与技术,2021,10(05):1579-1588.
DOI:10.19799/j.cnki.2095-4239.2021.0176
1 模型分析
1.1 物理模型
表1 涡旋压缩机基本几何参数
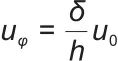
1.2 切向泄漏分析
2 数值研究
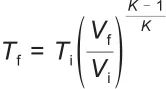
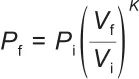
2.1 热力学理论
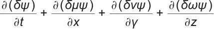
2.2 流动控制方程
2.3 网格划分
图4 涡旋压缩机内部网格
2.4 边界条件与模型设置
3 计算结果与分析
3.1 工作腔流场特性分析
图10 进出口质量流量
3.2 工作腔温度场特性分析
4 结论
第一作者:刘祯,副教授,研究方向为涡旋机械流动控制及可靠性设计、热能回收与利用,E-mail:liuzhen@hbuas.edu.cn。
文章来源:储能科学与技术
技术邻APP
工程师必备
工程师必备
- 项目客服
- 培训客服
- 平台客服
TOP
2
1
2




















