基于ABAQUS二次开发的巴西圆盘断裂机理
摘要
+
针对含中心裂纹的巴西圆盘开裂模型利用ABAQUS进行了参数化二次开发,基于扩展有限元法和最大周向应力准则对试件裂纹扩展进行数值模拟并验证,研究了围压对裂纹扩展以及裂纹尖端应力强度因子和T应力的影响.研究结果表明,试件在预制裂纹尖端发生起裂并沿最大周向应力方向扩展。随着裂纹倾角增大,Ⅰ型应力强度因子逐渐减小,Ⅱ型应力强度因子呈现先增大 后减小的趋势,T应力逐渐增大.随着围压数值的升高,试件的断裂韧度增大,T应力增大,而Ⅰ型和Ⅱ型应力强度因子几乎不受影响。
巴西圆盘裂纹扩展数值模拟
+
在基于ABAQUS二次开发对模型进行建模后,首先对含中心裂纹巴西圆盘进行了裂纹扩展的数值模拟,对不同裂纹倾角β的试件进行数值模拟,并将所得裂纹扩展结果和试验结果进行对 比,如图7所示,其中左侧为试验结果,右侧为数值模拟结果.
图7数值模拟与试验对比结果
对比结果表明,数值模拟结果与试验结果较为一致,预制裂纹从裂纹尖端起裂并沿最大主应力方向进行扩展直至破坏,这也符合巴西圆盘试 件破坏的理论假设.在后处理中对平台压板反作 用力载荷进行提取,并绘制载荷随时间变化的关 系曲线,如图8所示.
图8时间与载荷的关系曲线
由图8可以看出,在初段时间内平台压板的 反作用力持续为0,这表示压板与圆盘试件逐渐 接触的过程,在两者完全接触后作用力荷载迅速 增大,随时间推进可以看到在一点处荷载瞬间减 小并继续线性增大的情况,此处即为裂纹萌生扩展的时间点,这有助于查看裂纹的扩展时间便于 后处理工作.
在对模型进行数值验证后,对圆盘试件施加围压,分别对反作用力进行提取并绘制关系曲线, 在数据表中找到荷载瞬时变化的时间点和荷载 值,并分别提取荷载瞬时变化前的数值,绘制荷载 随围压的变化关系曲线,如图9所示.
图9围压与荷载的关系曲线
由图9可知,随着围压的增大,瞬时荷载基本呈线性增大趋势,由于瞬时荷载点对应裂纹萌生 时间点,所以瞬时荷载值的大小即反应试件阻止裂纹扩展的能力.因此可以看出围压对岩石断裂 韧度有很大影响,断裂韧度随围压增大而增大.
巴西圆盘裂纹尖端奇异参数分析
+
在提取数值模型的裂纹尖端奇异参数时,需 要对裂纹接触过程进行设置,并在历程输出变量中分别对需要的参数进行输出.通过改变裂纹长 度和裂纹倾角,对不同情况下平台巴西圆盘试件 计算了应力强度因子和T应力的数值.为便于描 述,应力强度因子和T应力表达式为
式中:F为载荷;R为圆盘试件半径;t为试件厚 度;c为试件中心裂纹长度;ZⅠ为无量纲Ⅰ型应力 强度因子;ZⅡ为无量纲Ⅱ型应力强度因子;T*为 无量纲T应力;α为裂纹初始角度.
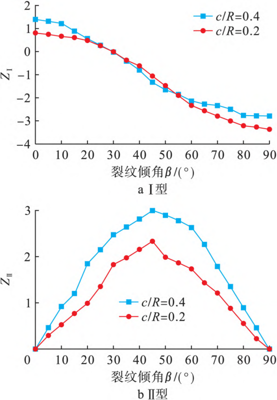
在c/R=0.2和c/R=0.4情况下,裂纹尖端 应力强度因子ZⅠ和Z Ⅱ的变化如图10所示.由图10 可以看出,在裂纹倾角为0°时,ZⅡ为0且Z Ⅰ不为 0,即试件为纯Ⅰ型开裂.随着裂纹倾角的增加,当 倾角β为30°时,ZⅠ减小到0且Z Ⅱ由0开始增 大,此时为纯Ⅱ型开裂.当裂纹倾角继续增大直到 90°时,ZⅠ逐步减小,而Z Ⅱ先增大到极值再减小 到0,此时又为纯Ⅰ型开裂.可以看出,当试件发 生纯Ⅰ型开裂时的两种情况下,ZⅠ均为极值,而 当事件发生纯Ⅱ型开裂时的情况下,ZⅡ并非极值,这表明当试件发生纯Ⅱ型破坏时并不是Ⅱ型 应力强度因子为最大值的情况.随着c/R增大,Ⅱ型应力强度因子随之增大,而在裂纹倾角为 30°~60°时,不同c/R值情况下Ⅰ型应力强度因子差距减小,在0°~30°以及60°~90°时,Ⅰ型应力强度因子随c/R增大而增大.
图10不同裂纹倾角下的无量纲应力强度因子
在c/R=0.2和c/R=0.4情况下,T应力的 变化如图11所示.
图11不同裂纹倾角下的无量纲T应力
由图11可以看出,T应力会随着裂纹倾角的 增加而增加,在裂纹倾角达到约45°时由负值达 到0值.在裂纹倾角小于45°时,T应力会随c/R 值的增大而增大,而在裂纹倾角大于45°时,T应力会随c/R值的增大而减小.以裂纹倾角为45°,c/R=0.4的情况下对数值模型施加围压,为避免围压过高导致裂纹面接触产生压剪破坏情况,围压值控制在1~10 MPa,并在每次改变围压时对 应力强度因子和T应力分别进行提取.裂纹尖端 应力强度因子以及T应力的无量纲数值随围压 变化的关系曲线如图12~13所示.
图12不同围压下的无量纲应力强度因子
图13不同围压下的无量纲T应力
由图12~13可以看出,随着围压的增大,Ⅰ 型应力强度因子逐渐减小,代表裂纹面压缩程度 提高,而Ⅱ型应力强度因子也逐渐减小,但围压对两者影响很小,而T应力会随着围压的增大而 增大.
结论
+
本文利用ABAQUS软件针对平台巴西圆盘模型进行了参数化二次开发,对试件裂纹扩展进 行了数值验证,研究了围压对试件的影响,并提取了不同情况下裂纹尖端奇异参数即应力强度因子和T应力.结果表明,试件的断裂韧度随围压增大而增大,在裂纹倾角为0°和90°时,试件为纯Ⅰ型开裂,且Ⅰ型应力强度因子随裂纹倾角增大而 减小.当裂纹倾角为30°时,试件为纯Ⅱ型开裂, 且Ⅱ型应力强度因子随裂纹倾角增大呈现先增大后减小的趋势.在试件首先达到纯Ⅰ型开裂和纯Ⅱ型开裂情况时,T应力均为负值,且T应力随裂 纹倾角增大而增大.随着围压增大,Ⅰ型和Ⅱ型应力强度因子逐渐减小但所受影响程度很小,而T应力增大.
文章来源:ABAQUS大世界
工程师必备
- 项目客服
- 培训客服
- 平台客服
TOP




















