研究与设计|抑制开关磁阻电机振动的结构设计研究
2023年6月21日 14:30浏览:2144 收藏:3
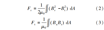
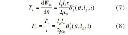
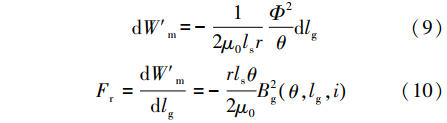
开关磁阻电机(SRM)应用于众多领域,但是本身的结构使其比其他传统电机有更大的振动和噪声,因此抑制SRM振动仍是研究的热门领域。为了抑制电机的振动,设计了一种新型的电机结构,即在转子两侧开孔,并在此基础上对定子齿顶开槽。以一台7.5 kW、1 500 r/min、12/8极SRM为例,通过有限元分析仿真,对新型电机结构进行参数化计算,并得到最优结构。在保证平均转矩基本保持不变的情况下,减小了转矩脉动以及径向力。与原始电机相比,转矩脉动系数下降了16.01%,径向力峰值下降了19.96%。因此,证明了该方法对SRM振动抑制有较好的效果,对后续SRM设计及控制具有一定的借鉴意义。
抑制开关磁阻电机振动的结构设计研究
薛惟栋, 曲兵妮
(太原理工大学 矿用智能电器技术国家地方联合工程实验室,山西 太原 030024)
0 引 言
(a)转矩脉动
(b)径向力幅值
(a)转矩脉动
(b)径向力幅值
(a)转矩脉动
(b)径向力幅值
(a)转矩脉动
(b)径向力幅值
(a)转矩脉动
(b)径向力幅值
(a)瞬态转矩对比
(b)径向力对比
(a)静态转矩对比
(b)电感特性对比
技术邻APP
工程师必备
工程师必备
- 项目客服
- 培训客服
- 平台客服
TOP
3




















