卢素华 等:基于多场耦合的断条状态下感应电机电磁振动噪声规律研究

来源:《大电机技术》2020年第3期
作者:卢素华1,2,3,陈彬1,2,3,刘思苑1,3,贾武豪3
单位:1.空调设备及系统运行节能国家重点实验室;2.广东省制冷设备节能环保技术企业重点实验室;3.珠海格力电器股份有限公司。
摘要:对于电机的电磁振动噪声问题,仅通过电磁计算激励源特性分析较难预测电机实际的振动噪声情况。本文基于电磁场、结构场及声场的多场耦合分析方法,以YE2-90L-4感应电机为例,结合电机结构与实际安装方式,对断条状态下的电机电磁激振力、结构振动响应以及电机周围声场声压分布进行多场联合仿真,从而计算出断条故障对于电机振动噪声的影响。最后通过进行故障试验,发现断条故障所导致的电机电磁振动噪声规律与仿真结果较吻合。
0 前言
电机的振动噪声以电磁振动噪声为主。目前国内外针对引发电磁噪声的电磁力计算已做了大量研究工作,基本确定了电磁力的特征计算方法。振动噪声是激励源与结构的传递函数之间相互耦合作用的结果,激励源与响应(振动噪声)之间并不呈线性关系。实际电机结构较为复杂,而电机电磁力特征计算方法的确定仅确定了激励源的特征,没有结合电机的结构传递函数进行分析,并不能准确地确定实际情况下电机结构响应。
除了设计方面的影响,电机在运行过程中,一些特定故障的产生,如偏心、断条等,也会增大电磁振动及噪声的幅值或使电磁噪声的听感变差。本文通过对感应电机断条故障下的特征磁场产生的附加电磁力进行解析计算,通过模态仿真及测试修正仿真模型参数,结合电磁—振动—噪声多场耦合对故障振动噪声进行仿真,从而得出断条故障所产生的振动噪声特征,并通过人为的设置故障进行振动噪声试验,验证了基于多场耦合的振动噪声仿真的可靠性。
1 电机故障磁场计算分析
目前低压感应电动机通常采用铸铝鼠笼结构,当电机长时间在重载下运行或频繁的起动和制动时,会使鼠笼导条承受较大的内应力,从而发生断裂引发故障。
断条后,可近似地将断条的铸铝导体看作仍是导通的,只是在该处新增加了一条与断前导通电流方向相反,大小一致的电流,如下图所示。
本文以一台YE2-90L-4感应电机为研究对象,电机主要参数见表1。
1.1 转子断条后磁场计算
当感应电机导条断裂时,在气隙中产生由反向电流产生的附加磁场,并与主磁场叠加,其公式为:
对正常电机转子、一根导条断裂、连续两根导条断裂三种情况下的瞬态磁场进行计算,三者磁场分布如下图所示,其中标记处为断条位置。
从图中可以看出,断条后的导条磁力线稀疏的一端更加稀疏,磁力线集中的一端更加密集,出现局部磁密饱和,并随着断条故障的加剧,磁密饱和程度愈加严重,印证了断条后增加的由反向电流产生的附加磁场。
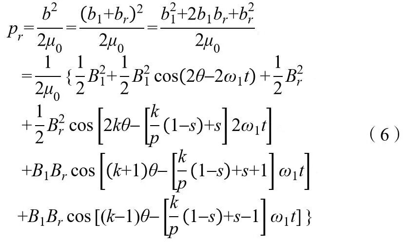
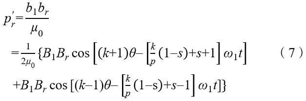
1.2 断条故障电磁力分析
由于断条后导入的附加磁场对电机电磁力造成影响,计及基波磁场和附加磁场的相互作用,电机电磁力的表达式为:
根据上面公式可得到YE2-90L-4感应电机附加电磁力的频率与阶次对应关系,如下图所示。
从频次分布图来看,断条后电磁力的频率特性表现为间隔较小、均匀分布的连续频率,同时力波阶次随频率的升高而升高,这说明附加电磁力的低阶分量主要集中在低频段上,而在高频段上主要为高阶分量,不易引起幅值较高的振动。
2 电磁振动及噪声耦合计算
2.1 谐响应振动
2.2 噪声分析
3 断条故障试验数据
4 结论
(1)转子断条前后,磁场发生畸变,断条部位产生合成的附加磁场,使断条处出现磁饱和情况,并随着断条程度的增加,磁饱和程度加重。附加磁场与主磁场产生附加电磁力,而附加电磁力呈现出宽频连续的特性,扰乱了电机原有的电磁力特性。
(2)由于断条产生的附加电磁力在频谱上的连续性,断条后电机整体的振动幅值上升,波动加剧,降低了电机运行过程中的稳定性,实际削弱了电机的负载性能。
(3)断条前后,电机的主要噪声峰值没有发生较大变化,但增加了整个频段上的噪声总值,提高电机电磁噪声的毛刺程度,从而影响了电机运行过程中周围的声场声压级分布,影响电机的听感。

工程师必备
- 项目客服
- 培训客服
- 平台客服
TOP
