新型无油涡旋压缩机内部热力学特性和性能测试
2023年6月25日 13:58在食品、医疗和燃料电池等领域中由于对所使用工质流体品位的要求较高,使用含油式的压缩机会降低空气的品位,即使使用油气分离器也无法彻底消除工质流体中的润滑油,反而会增加压缩气体的成本,因此含油式的压缩机不适用于对流体品位要求很高的领域。为了解决这个问题,很多研究者开发和设计出了涡旋式、螺杆式、转子式以及离心式等多种不同类型的无油压缩机。由于涡旋压缩机结构简单、运动部件少、运行噪音远低于其他类型的空压机,因此适合于对流体品位有较高要求的场合和机械[1,2]。
目前,国内外许多学者通过数学模型、数值模拟与试验验证相结合的方法对涡旋压缩机进行了大量研究。对于涡旋齿型线的研究和优化是提高涡旋压缩机基本工作性能的首要方法和手段,也是目前研究的一个热点[3,4]。文献[5,6]构建了同时考虑泄漏和传热的涡旋压缩机热力学模型,并通过试验分析了压缩机数学模型和实际工作过程存在偏差的原因。Pereira 等[7]建立了涡旋压缩机在不同工况、工质及几何参数下的泄漏模型,并通过试验对其所建立的泄漏模型进行了验证。涡旋压缩机的工作腔是由多组对称的封闭月牙形腔构成,动静涡旋齿在涡旋压缩机运转的过程中不间断地啮合,因此无有效且直接的方法和手段对涡旋压缩机全封闭工作腔内工质的各种性态进行直接监测和研究。随着计算流体动力学(Computa⁃tional fluid dynamics,CFD)方法的发展,可使用CFD 方法对涡旋压缩机的工作过程进行三维非稳态数值模拟来反映和揭示其工作腔内流体工质的变化规律[8,9]。李超等[10]通过CFD 方法分析了涡旋压缩机在不同间隙时,内泄漏对工作腔内工质物理性态的影响。王君等[11-13]通过对涡旋压缩机流体域进行结构化网格划分,发现其相较于非结构化网格可以提高数值模拟的计算精度。查海滨等[14]通过对涡旋压缩机进行三维非稳态数值模拟,发现沿着涡旋齿方向温度和速度分布不均匀。Sun 等[15]数值模拟分析了变压比对涡旋压缩机排气腔压力和排气口速度的影响。Cavazzini等[16]结合粒子群算法和CFD 方法对涡旋压缩机的几何模型进行了优化和改进,并通过试验研究了优化后的模型,发现涡旋齿齿高和涡圈数量对涡旋压缩机性能有重要影响。Zhao 等[17]建立了涡旋压缩机实际工况下三维非定常计算流体动力学模型,发现在一对工作腔的不同两个腔之间的压力存在不一致性。彭斌等[18]基于CFD 方法对一种新型无油涡旋压缩机进行了非稳态数值模拟,得到了流体工质在工作腔内基本物理性态以及动涡旋盘所受气体力的变化规律。Sun 等[19]对应用于氢燃料电池的无油双涡圈涡旋压缩机气体的非稳态流动进行了数值模拟和试验研究,发现双涡圈压缩机在低压比、大排量场合具有一定的应用前景。桂伟兵等[20]对涡旋压缩机不同部位的振动特性和产生机理进行了分析和研究。
在已有研究中鲜有同时考虑涡旋压缩机热力学模型、数值模拟与试验研究之间的相互影响。本文构建了同时考虑热传递和内泄漏的涡旋压缩机实际工作过程的热力学模型。通过CFD 方法对压缩机工作腔流体域进行了三维非稳态数值模拟,并通过所搭建的试验测试平台监测了涡旋压缩机在额定运行工况、不同排气压力下整机的实际工作性能。
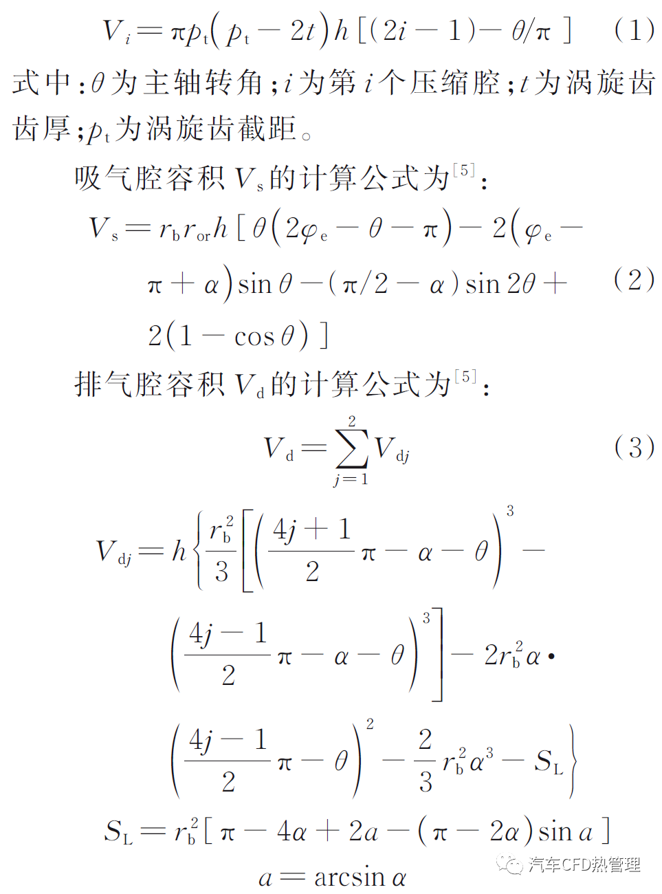
本文所使用的无油涡旋压缩机的涡旋齿是由圆渐开线形成,涡旋齿头采用双圆弧修正。试验样机的基本几何参数如表1 所示,图1 为涡旋盘型线及静涡盘实体机构。
压缩腔容积Vi 的计算公式为[5]:
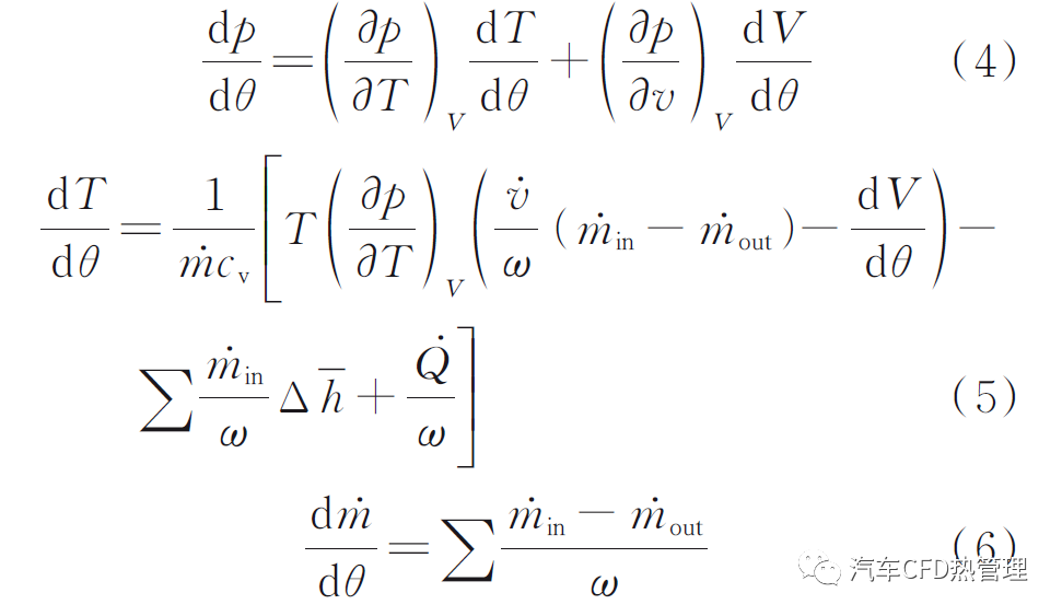
工作腔内温度、压力和质量的基本方程如下[19]:
-
3. 2 传热模型
涡旋压缩机在工作过程中随着工作腔容积的不断减小,气体温度会不断升高,相邻工作腔之间会发生热传递,涡旋压缩机工作腔内的热传递主要包括吸气加热和工作腔传热[19]。
式中:c p 为定压质量热容;Tp 和Ts 分别为进气管的温度和初始进气温度;dp 和lp 分别为进气管的直径和长度;hc 为表面传热系数;T ( φ ) 和T ( k,f )分别为平均温度和第k 个工作腔在θf 时的温度,θf为形成第k 个工作腔时,主轴转过的角度;A 为传热面积。
涡旋压缩机相邻工作腔之间存在径向和切向泄漏两种主要的内泄漏形式,并在同一个工作腔内会同时存在工质的泄入和泄出,工作腔内的质量满足:
理想气体径向泄漏和切向泄漏的泄漏量分别满足:
式中:mc 为控制容积内的质量;mc - 1 为从第c - 1个工作腔泄入的质量;mc + 1 为泄出到第c + 1 个工作腔的质量。
容积效率ηv 反映了涡旋压缩机的内泄漏程度,是衡量压缩机性能的一个重要指标,其计算公式为[5]:
式中:qv 为实测容积流量;qv,th 为理论容积流量。
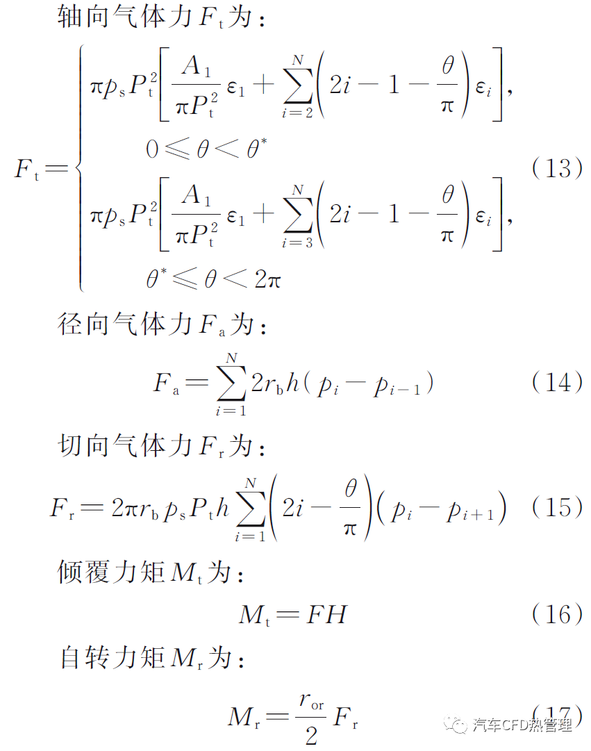
涡旋压缩机动涡旋齿在工作过程中主要受到轴向气体力、径向气体力和切向气体力以及倾覆力矩和自转力矩的影响,计算公式分别如下所示[1]。
式中:ps 为吸气压力;A1 为第一压缩腔力的投影面积;H 为合力点距离;ε i 为第i 压缩腔内的压缩比;N 为压缩腔数量;F 为Fa 和Fr 的合力。
由于质量、动量和能量守恒方程表示的均为单位时间、单位体积内物理量的守恒性质,选定ϕ为通用变量,则这3 个方程可表示为如下通用形式:
式(19)右侧各项依次为瞬态项、对流项、扩散项和源项。
涡旋压缩机整个流体域既有静止区域(进气管和排气管)又有运动区域(工作腔)。为了划分网格便利,分区域划分流体域网格。其中,静止区域体网格由非结构化六面体网格构成;运动区域体网格由三棱柱非结构化体网格构成。图2 为涡旋压缩机流体域网格示意图。图2(a)为运动区域面网格;图2(b)为流体域体网格。
由于计算资源和计算时间的限制,无法进行无限制网格数量的计算,通过网格无关性验证,在保证计算精度的前提下,选取合适的网格数量进行数值模拟。图3 为在不同网格数量下,涡旋压缩机出口质量流量随网格数量的变化趋势。综合考虑计算精度和时间成本的影响,选择网格数量为3 079 829,其中,压缩机各计算域网格数量如表2 所示。
在对涡旋压缩机进行三维非稳态数值模拟时,同时考虑温度和压力对流体运动性态的影响,选择k-ε RNG 湍流模型,近壁面区采用标准壁面函数,并选择适合于压力与速度耦合的PISO!算法进行求解。由于涡旋压缩机在运转过程中,动涡盘以偏心距ror 绕回转中心做回转运动,因此使用商业软件ANSYS Fluent 中UDF(User definedfunction)宏命令来驱动动涡旋齿。在进行计算时,进、出口条件分别选取压力进口和压力出口;在进行动网格计算时,运动区域采用局部重构,壁面为弹性柔顺光滑。
在建立无油涡旋压缩机热力学模型和进行三维非稳态数值模拟时,以空气为流体工质,结合试验工况设定如下初始条件:初始吸气压力ps =0. 1 MPa;初始进气温度Ts =288. 15 K;涡旋压缩机转速n =3000 r/min;假定工质为理想气体。
图4 为涡旋压缩机工作腔容积随主轴转角的变化规律。图4(a)为工质流体在吸气、压缩和排气3 个过程中容积的变化规律,由图4(a)可以看出,随着主轴的不断转动,在吸气阶段工作腔容积会持续增大,当吸气腔和第一压缩腔连通的瞬时,由于压差的存在使得压缩腔内容积呈现先增大后减小的趋势;在压缩和排气阶段,工作腔内容积会持续减小,直至气体全部排出工作腔。图4(b)为工质流体在各个工作腔内容积的变化规律,由图4(b)可以看出,上一个工作腔的最大容积为下一个工作腔的起始容积。
图5 为涡旋压缩机工作腔内压力和温度随主轴转角的变化规律。在吸气和排气阶段,由于进排气管与外界一直相连通,因此压力和温度均保持不变;在压缩阶段,随着工作腔容积的不断减小,工作腔内压力和温度会急剧增加;在实际工作过程中,由于工作腔内同时存在着吸气加热,内泄漏和排气损失等不可逆因素,因此工作腔内实际压力和温度均会高于理想工作过程;相邻工作腔之间的质量交换和热传递,对实际工作过程中的温度影响很大;在理想工作过程中的排气阶段,当排气腔与外界连通的瞬时,气体会发生膨胀,因此压力和温度均会有一个先增大后减小的趋势。
图6 为涡旋压缩机工作腔内质量在理想和实际工作过程中随主轴转角的变化规律。在进、排气阶段,工作腔内气体质量的理论值与实际值变化趋势基本一致;在压缩阶段,由于相邻工作腔之间内泄漏的存在,工质质量的实际值会小于理论值;在第三压缩腔,由于压差最大以及泄漏量的积累,会使得相邻工作腔之间的内泄漏量最大,腔内气体质量的理想值与实际值最大差值为0. 0455 g。
图7(a)为涡旋压缩机动涡旋盘所受轴向力、切向力和径向力在一个循环周期内随主轴转角的变化规律。从图7(a)中可以看出:在动涡旋齿所受的3 个力中,轴向力最大,切向力次之,径向力最小;轴向力和切向力都呈现出先增大后减小的趋势,轴向力和切向力的最大值分别为4. 202 kN和1. 499 kN,径向力一直保持150. 64 N 不变。
图7(b)为动涡旋盘倾覆力矩和自转力矩在一个工作周期内的变化规律,倾覆力矩由切向气体力和径向气体力共同作用而产生。从图7(b)中可以看出:倾覆力矩和自转力矩也呈先增大后减小的趋势,倾覆力矩和自转力矩的最大值分别为86. 1 N ⋅ m 和4. 3 N ⋅ m。
8(a)为涡旋压缩机进、出口质量流量随主轴转角的变化规律。如图8(a)所示,进、出口质量流量在工作过程中均是循环变化的;由于动涡旋齿会周期性地遮蔽排气口,因此出口质量流量波动较大;由于工作腔之间存在质量交换,因此出口质量会略大于进口质量。
图8(b)为涡旋压缩机进、出口流速随主轴转角的变化规律。由图8(b)可以看出:在工作过程中,进、出口流速也是循环变化的;由于排气口压力较高以及排气管直径较小,因此出口流速高于进口流速,进、出口流速最大差值为4. 5 m/s。
图9 为涡旋压缩机在主轴转角为360°时,工作腔内流体工质压力、温度和流速云图的分布规律。由图9(a)可以看出:越靠近排气腔腔内压力越大;在工作腔内以及沿着齿高的方向,腔内压力分布是均匀且一致的,在相邻工作腔之间压力最大差值为0. 227 MPa。
如图9(b)所示,由于相邻工作腔之间存在质量交换,从上一个工作腔泄入的工质会扰乱下一个腔内温度的流场,因此温度在相邻工作腔之间以及同一个工作腔都存在分布不均的现象;在相邻工作腔之间温度的分布存在差异,最大温差为126 K;沿着齿高方向温度分布也存在差异,最大温差为84 K。
如图9(c)所示,相邻工作腔之间的质量交换也会使得工作腔内以及沿着齿高方向流速的分布存在差异;在相邻工作腔之间流速的最大差值为119. 3 m/s,沿着齿高方向流速的最大差值为59. 7 m/s。
为了验证所构建的热力学模型和数值模拟的准确性,以及测试在额定工况下无油涡旋压缩机的实际工作性能,搭建了以空气为工质的压缩机试验测试平台。在额定转速3000 r/min 下,通过调节储气罐出口处的排气阀控制罐内压力,测试了涡旋压缩机的实际输出性能参数,进气压力为0. 1 MPa,环境温度为22 ℃,试验测试系统如图10 所示。
图11(a)为涡旋压缩机进、出口容积流量随排气压力的变化规律。由图11(a)可以看出:随着排气压力的不断增大,进、出口流量都近似地呈线性减小趋势;在排气压力较高时,涡旋压缩机需要逆向做功来抵消储气罐内的气体阻力,因而压缩机的进口流量和出口流量都较低;在不同排气压力下,进口流量之间的最大差值为0. 15m3 /min,出口流量之间的最大差值为0. 029m3 /min;在相同排气压力下,进、出口流量之间的最大差值为0. 159 m3/min。
图11(b)为涡旋压缩机的理论和试验容积流量随转速的变化规律。由图11(b)可以看出:涡旋压缩机的容积流量随转速的增大而增大,转速越高,容积流量越大;在转速较低时,由于内泄漏的影响,容积流量的流量与实测差值会较大,随着转速的逐渐降低,差值会逐渐减小。在转速为3000 r/min 时,容积流量的流量值和试验值分别为0. 4 m3/min 和0. 391 m3/min。
图12 为涡旋压缩机容积效率随主轴转角的变化规律。在转速低于2000 r/min 时,由于流体工质在工作腔内停留时间较长,内泄漏程度会增大,因此容积效率较低;随着转速的逐渐增大,容积效率随之增大,当转速高于2000 r/min 时,容积效率不再发生大的变化;研究样机的平均容积效率为0. 938。
图13 为在不同排气压力下,涡旋压缩机排气温度与驱动电机温度的变化规律。由于涡旋压缩机在运转过程中需要克服储气罐内的气体力来逆向做功,因此在排气压力较高时,压缩机排气口温度和驱动电机温度都较高;在不同排气压力下,压缩机排气温度最大温差为19 ℃,驱动电机温度最大温差为33. 7 ℃,驱动电机最高温度为78. 5 ℃。
图14 为涡旋压缩机在不同排气压力下机体不同部位振动值的变化规律。从图14 可以看出:测点3 的振动值变化最为剧烈,这是因为测点3 位于防自转机构连接轴承处,由于小曲拐防自传机构组件是涡旋压缩机固定架与动盘组件的连接件,在涡旋压缩机运动的过程中其所受气体力的影响最大,测点3 处机体振动的最大差值为0. 24 mm;测点1和2 位于涡旋压缩机的左右两侧,振动值相差不大;测点4 位于涡旋压缩机出风口,由于受到气体力等其他因素的影响,会存在较大的波动。
图15 为驱动电机电流和功率随排气压力的变化规律。电机电流和功率均受到涡旋压缩机逆向做功的影响,在很大程度上降低了涡旋压缩机的使用效率;在不同排气压力下,驱动电机的最大输出功率可达5. 18 kW,比驱动电机的额定输出功率增加了1. 48 kW;当排气压力较高时,在运行过程中驱动电机处于超负荷运行,驱动电机的最大运行电流可达8. 3 A,会使驱动电机的温度升高,驱动电机的最高温度可达78. 5 ℃。
(1)在建立热力学模型时,同时考虑传热和泄漏的模型更符合涡旋压缩机的实际工作状态;内泄漏对压缩阶段的压力和温度影响较大,转速越高,容积效率和容积流量越大。在设计和优化涡旋压缩机时,应该注意倾覆力矩对动涡旋齿的影响。
(2)通过对涡旋压缩机的数值模拟,得到了工作腔内工质物理性态的分布,通过径向间隙产生的切向泄漏对工作腔内温度和速度的影响较大,对压力的影响较小;涡旋压缩机的进、出口质量流量和流速在工作周期都呈循环变化,出口处质量流量和流速均比进口处大。
(3)通过试验测试发现,排气压力较高时,涡旋压缩机的整机性能都会有所下降。因此,在额定转速下,如果压缩机长期在高排气压力状态下工作,会使其输出性能严重降低。
文章来源:汽车CFD热管理
工程师必备
- 项目客服
- 培训客服
- 平台客服
TOP




















