汽轮机:转轮机械中转盘腔的流动传热模拟
2023年6月26日 14:30现代燃气轮机中的内部空气流动系统对散热、输送冷却空气、轮辋密封、保持轴承负载、隔离油系统等具有至关重要的作用。因此转盘腔是转轮机械系统中的重要部件,转盘腔包括封闭的转子-定子腔,径向流出/流入/轴向通流的旋转腔等类型。本案例的目的是研究旋转盘腔中的复杂流动和传热机制,并验证CFD仿真软件作为解决涡轮机械内部空气系统相关问题的可行性。
使用CFD仿真软件中三种不同的数值模型对以上两个不同的案例进行了测试,以比较不同数值模型的准确性。
图2 r*=0.7处,几种壁面模型计算的切向速度和径向速度和实验数据的对比
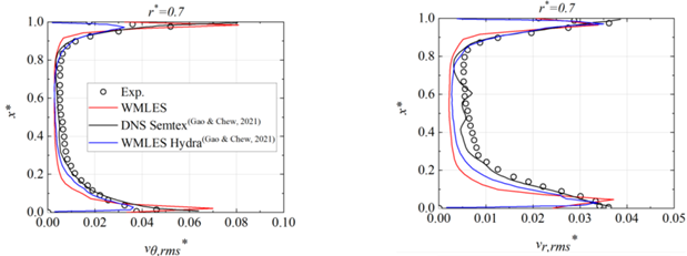
下图展示了速度扰动的模拟结果与实验数据的对比,同时还比较了使用DNS方法和其他CFD求解器的壁面模型LES的结果。结果显示本实验所用CFD仿真软件的壁面模型LES能很好地预测雷诺应力,尤其是在边界层中。对于雷诺应力预测,本实验所用CFD仿真软件的性能与其他CFD求解器相似或更好。
图3 r*=0.7处,几种壁面模型计算的速度扰动的切向速度和径向速度和实验数据的对比
壁面解析RANS(WRRANS)数值模型对线性层和对数层中的速度进行了合理的预测。壁面模型无法求解粘性底层中的速度,但可以很好地预测对数层中的速度,但在对数层中的低y+区域速度预测不足。
图4 三种壁面模型定子和转子的近壁面模拟结果
径向流出旋转腔:分别使用了不同的壁面求解方法,模拟了旋转盘上具有三种不同温度边界条件(BC)的情况。通过后处理得到了旋转圆盘上的努塞尔数分布,并与实验数据进行了对比。RANS和壁面模型LES都较好地吻合了测量值。两种理论求解方法也有很好的准确性。计算结果验证了CFD仿真软件在相对低Reφ(= 2×106)条件下的传热预测能力。
图5 三种温度边界条件下,不同壁面求解方法的努塞尔数与实验数据对比
本案例使用CFD仿真软件模拟了汽轮机系统中封闭转子-定子转盘腔中流动和径向流出旋转腔内的传热现象,模拟结果较好地吻合了实验数据,同时几种壁面求解方式也都较好地预测了边界层的流动情况,很大程度上验证了CFD仿真软件对旋转腔流动中的流动和传热的预测能力。
文章来源:远算云学院
工程师必备
- 项目客服
- 培训客服
- 平台客服
TOP




















