固体发动机点火压强峰的CFD计算方法研究
2023年6月26日 14:35固体发动机点火压强峰的CFD计算方法研究
张棚,张赛文,杨渊,武丹,王亚洲
扫码下载全文
引用本文:
张棚,张赛文,杨渊,等.固体发动机点火压强峰的CFD计算方法研究[J].武汉大学学报(工学版), 2021, 54(2): 173-177.
Zhang Peng, Zhang Saiwen, Yang Yuan, et al. Research on CFD calculation method for solid rocket motor ignition pressure peak[J]. Engineering Journal of Wuhan University, 2021,54(2): 173-177.
摘要
介绍了固体火箭发动机点火压强峰形成的原因,分析了固体发动机实测压强和预示压强产生偏差的因素,提出了一种工程适用的基于加质模型的计算流体力学 (computational fluid dynamics, CFD)方法,能够较准确地预示固体火箭发动机点火压强峰,特别是大长径比类固体火箭发动机。通过对比典型发动机的理论计算结果和试验数据,发动机点火压强峰预示误差减小至10%以内,对于发动机结构安全设计和整体性能的优化设计都有重要的指导意义。
00
引言
固体火箭发动机试车实测压强曲线通常会出现点火压强峰,特别是大长径比的发动机尤为明显,实测点火压强峰明显高于内弹道理论计算初始压强,是这类大长径比发动机的固有现象。对于点火压强峰,一方面,过高可能超过发动机结构承载能力,导致试车时结构破坏,造成严重事故;另一方面,对于有初始大推力要求的发动机,可以利用点火压强峰产生大推力。因此,准确地预示发动机点火压强峰,对于发动机结构安全设计和整体性能优化设计都有非常重要的指导意义。零维内弹道模型无法准确预示点火压强峰,本文结合实际工程应用需要,提出了一种基于加质模型的计算流体力学 (computational fluid dynamics, CFD)方法,能够较准确地预示大长径比固体火箭发动机点火压强峰。
01
点火压强峰产生的原因
点火压强峰的形成主要是喷管堵盖打开后药柱被完全点燃、经过喷管喉部节流升压后,在侵蚀燃烧效应和点火发动机剩余燃气流量共同作用下的结果。发动机点火工作,燃气通过药柱内孔从头部向喷管流动,且药柱内孔壁面不断有新生成燃气加入,燃气速度逐渐增大,燃烧室内流场存在压强梯度,所以发动机头部压强要高于尾部压强。特别是发动机工作初期,药柱被完全点燃,点火发动机仍有剩余燃气加入,大长径比发动机有侵蚀燃烧效应,此时燃烧室内流场压强梯度最大,头部压强比尾部压强高,表现为点火压强峰。
目前内弹道计算通常采用零维模型,即认为发动机头尾压强相同。对于大直径发动机,燃烧室轴向压强梯度小,头尾压强基本相同,内弹道计算结果与实测值基本一致,无点火压强峰发动机的典型压强时间曲线如图1所示,计算初始压强和试车实测初始压强均为8 MPa左右。对于小直径大长径比发动机,燃烧室轴向压强梯度大,且有侵蚀燃烧,发动机头尾压差大,发动机试车测试头部压强,内弹道计算值与实测值差别较大。随着燃烧的进行,内孔扩大,燃烧室轴向压强梯度变小,压强逐渐回落,实测压强曲线与理论曲线接近,有点火压强峰发动机的典型压强时间曲线如图2所示,零维内弹道计算初始压强为9 MPa,试车实测点火压强峰为14.5 MPa,比计算值高61%,误差较大。若以理论计算最大压强设计燃烧室壳体,壳体结构将面临安全系数过低的风险。
02
点火压强峰的CFD计算方法
2.1 计算方法
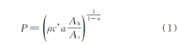
零维内弹道模型认为发动机燃烧室头部压强和尾部压强相同,无法反映燃烧室轴向压强梯度,同一时刻,药面各处燃速相同,发动机工作压强采用下式计算:
式中:P为燃烧室压强;ρ为推进剂密度;c*为特征速度;a为燃速系数;Ab为燃面;At为喉部面积;n为压强指数。
以往对于大长径比发动机点火压强峰的预示,是通过和地试过的发动机进行设计参数上的对比,主要对比初始燃通比和喉通比2个参数,经验取值,该方法可以定性预估,但难以定量计算,误差较大。为了保证发动机可靠性,结构安全系数取得较大,牺牲了发动机性能。
采用CFD流场计算思路,提取燃烧室内流场三维模型,通过燃烧室内流场仿真计算反映燃烧室轴向压强梯度。燃速r采用下式计算:
药面各处的燃速不同,与药面处的压强相关。三维药柱内型面作为质量源项,燃面加质公式:
式中:m为质量流量。
计算模型基于以下假设:
1) 燃气为理想气体;
2) 流场为定常流;
3) 不考虑药柱受内压后的变形;
4) 忽略从点火到点火压强峰时刻药面的退移。
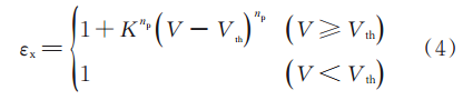
推进剂侵蚀模型采用郭冠云公式:
式中:εx为侵蚀比r/r0;V为侵蚀流速;Vth为侵蚀临界流速;K、np为模型常量参数。
内流场计算采用Fluent流场仿真工具,采用Simple算法。
2.2 计算结果
采用本文提出的CFD计算方法,对4型大长径比发动机点火压强峰进行了计算,发动机设计参数如表1所示,装药长径比最小为10.9,最大达到了15.3。计算结果如表2所示。采用零维内弹道计算结果误差在60%以上,采用本文提出的方法,发动机点火压强峰与实测值接近,误差在10%以内,精度大幅提升。
图3给出了1号发动机点火压强峰时刻内流场压强分布云图和沿燃烧室轴向的压强曲线,头部压强15.9 MPa,喷管入口压强10 MPa,该发动机初始时刻药柱内孔直径小,长度大,轴向压强梯度大。
03
预示点火压强峰的意义
3.1 指导发动机结构安全设计
以2号发动机为例,流场仿真计算点火压强峰为12.9 MPa,考虑高温和燃速拉偏等极限状态计算点火压强峰为14.3 MPa,内流场压强分布如图4所示。取发动机最大预示压强15 MPa作为发动机结构强度设计依据,发动机实测点火压强峰为13.6 MPa,与预示值接近,在设计安全系数范围内。如果设计时以零维内弹道计算最大压强10.2 MPa为发动机结构强度设计依据,取1.4倍的安全系数,发动机壳体爆破压强设计值为14.2 MPa,发动机实际点火压强峰接近壳体爆破值,试车可能出现爆炸解体的情况。
采用流场仿真方法可以得到发动机内流场分布,计算精度较高。燃烧室内流场头部压强即点火压强峰,可以作为设计燃烧室壳体和顶盖体结构强度的依据;燃烧室尾部压强作为喷管壳体结构强度设计的依据,该方法还可以用于指导消除或减弱点火压强峰设计。
3.2 预示初始推力
斜发射的导弹对发动机有初始大推力要求, 如2号发动机要求0.3 s时刻推力F0.3≥90 kN,内弹道计算F0.3=72 kN,不满足要求,实际上由于点火压强峰的影响,起始推力实测值满足要求,如图5所示。
本文的计算方法可以预示初始推力,首先提取0.3 s时刻发动机内流场结构,计算该时刻发动机内流场,压强分布如图6所示,根据内流场压强分布积分轴向推力,考虑比冲效率,即得到初始推力。2号发动机0.3 s时刻头部压强已经降至11.3 MPa,计算轴向推力为108 kN,实测0.3 s时刻推力为103 kN ,误差为4.6%,基本相同。
对有初始大推力要求的发动机,若用零维内弹道计算结果去满足大推力要求,初始燃面会非常大,实际点火压强峰会更高,可能超过壳体承载能力。利用大长径比发动机工作初期压强头高尾低的现象,即点火压强峰自然产生的初始推力满足要求,避免通过增加翼数量或长度等方式增加初始燃面。同时,在保证药柱结构完整性的条件下,通过采用小直径内孔药型结构造成点火压强峰产生初始大推力,可以提升装填比,但侵蚀效应严重,会损失能量,设计时要权衡利弊,统一考虑。
04
结论
1)大长径比固体火箭发动机会出现点火压强峰,必须准确预示,否则会造成发动机结构安全系数过低或余量过大、甚至爆炸解体等故障。
2)采用本文提出的一种基于加质模型的CFD计算方法,能够较准确地预示固体火箭发动机点火压强峰,点火压强峰预示误差由零维内弹道计算结果的60%以上减小至10%以内,预示精度大幅提高,工程应用适用性好。
3)采用本文提出的方法准确预示点火压强峰:一是可以精确地设计发动机结构安全系数,控制消极质量;二是利用点火压强峰自然形成的大推力,满足发动机初始大推力需求;三是为发动机优化设计提供支撑。
文章来源:武汉大学学报工学版
工程师必备
- 项目客服
- 培训客服
- 平台客服
TOP




















