廖健等:潜艇操舵系统噪声综述
潜艇操舵系统噪声综述
\ | /
★
廖健, 何琳, 陈宗斌, 谭晓朋
中国舰船研究, 2022, 17(5):74-84
操舵系统噪声是潜艇隐身工况下的主要噪声源之一。首先结合操舵系统构成,从舵叶、传动装置以及舵液压系统3个方面,梳理各组件噪声源,提出减振降噪设计措施。然后,从使用维护角度给出低噪声操纵的使用建议。舵液压系统是操舵系统的驱动设备,也是主要噪声源,将舵液压系统噪声源按照运行稳态和瞬态工况划分为6大类,重点分析噪声作用机理及其控制措施。最后,指出基于直驱式伺服控制原理的新型电液操舵装置是未来发展趋势。
0. 引 言
操舵系统是保证潜艇安全航行的重要分系统。操纵性、安静性和可靠性是潜艇操舵系统设计的三大重要指标[1]。受制于认识的局限性以及减振降噪技术水平,早期设计中对操舵系统的可靠性和操纵性关注程度较高,但对安静性指标重视程度不够,仅仅对局部进行低噪声设计和结构优化。数据表明,中低航速下操舵系统噪声对全艇辐射噪声的贡献率可达到10%以上,严重影响潜艇隐蔽性。
然而,现有文献针对操舵系统安静性的分析和研究匮乏,尤其是系统、全面综述操舵系统噪声的文献几乎没有。本文将根据操舵系统的组成,从舵叶、传动装置、舵液压系统方面出发,结合操纵使用,系统分析操舵系统的噪声机理及控制措施。由于舵液压系统是操舵系统动力源,也是主要机械噪声源,因此重点开展舵液压系统的噪声机理分析,按运行工况对噪声源分类,分析研究进展,并提出降噪改进设计对策。最后,预测操舵系统降噪设计的发展方向。
1. 操舵系统组成
与水面舰船相比,潜艇操纵不仅要实现航向控制,还要对深度和姿态进行控制。因此,潜艇操舵系统更加复杂,一般在艉部布置1对方向舵,实现航向控制;在艉部布置1对艉升降舵,艏部布置艏升降舵(或围壳舵),实现潜艇垂向位置和运动姿态的控制。3套舵系统的基本组成相似,由舵根、舵叶、舵杆、舵柄、导向拉杆、导向筒、传动杆、舵传动杆密封装置、液压操舵装置及电动操舵装置等组成[2]。以艉升降舵为例,其基本结构如图1所示。按照功能,可将整套舵装置系统分为3部分:实现潜艇姿态调整的舵叶部分、实现舵叶传动的传动装置部分、耐压艇体内部推动舵机动作的舵液压系统或电动舵机部分。不同部件的工作环境介质不同,产生振动噪声的机理也大不相同。
图 1 潜艇艉升降舵结构示意图
Figure 1. Diagram of stern elevator structure of submarine
2. 舵叶
与其他耐压艇体外的附体一样,舵叶噪声是由舷外水的绕流作用形成的流激噪声。从提高升力系数、降低阻力系数的角度出发,潜艇的突出结构附件大多采用了翼型结构,舵叶的设计也不例外。图2为舵叶翼型结构引发流激噪声的水动力源示意[3],产生舵叶流激噪声的流体脉动源主要包含6类[4-6]:1) 非均匀来流包含的涡量;2) 来流与舵叶之间的攻角在导边形成逆压梯度,引发的导边流动分离;3) 舵叶表面边界层内的涡量形成的流体脉动;4) 随边区域内逆压和黏性作用导致边界层分离,引发的涡脱落;5) 随边脱落的涡在尾部形成的尾流涡街;6) 吸力面与压力面压差使来流在侧面形成向低压面翻卷的翼端效应,引起的梢涡。
图 2 舵叶翼型结构流激噪声水动力源示意
Figure 2. Hydrodynamic source of flow induced noise of rudder blade airfoil structure
流激噪声作用机理复杂,但总体来看舵叶流激噪声大小主要由绕流速度和绕流部件形状决定。舵叶来流的速度由潜艇航速和转舵速度两者共同决定。在舵不动时,绕流速度取决于潜艇航速;在舵运动时,绕流速度主要取决于转舵速度。同时,转舵速度也是影响操舵液压系统振动噪声的关键因素,因此在潜艇隐蔽航行时尽可能降低转舵速度,并采取合理的操舵控制策略来提升运行的平稳性以降低操舵系统噪声。
为降低绕流部件的影响,可优化改进舵叶的形状。国际著名的翼型系列,包括NACA系列、HE ψ系列、JFS系列、WZF系列等。国内学者对各种翼形剖面的舵叶均有相关研究,如朱文蔚等[7]设计了JDYW对称翼形剖面,陈伟民[8]研制了整流艉舵,周轶美等[9]开展了潜艇高效翼型舵的应用性研究,理论设计及计算流体动力学(CFD)仿真结果表明新型翼形结构在操纵性或升力系数等方面均有不同程度的改善,但是这些新型翼形剖面的舵叶应用仍有限,且都是基于NACA翼形的改进型。NACA系列翼形是目前资料最全、综合性能最优,也是应用最广泛的翼形剖面。
此外,舵叶的安装形式也可能影响流激噪声水平。根据旋转轴与舵叶压力中心的位置关系,分为平衡舵、不平衡舵、过平衡舵。平衡舵在零位附近可自行平衡水动力,有利于降低操舵装置输出功率,减小操舵系统噪声,但平衡舵易发生颤振和自激振动。为优化舵叶布置形式,美军“弗吉尼亚”级潜艇的艉升降舵采用了内外大小舵面设计,如图3所示[10]。采用大小舵面后可运用不平衡舵,降低颤振风险;低航速仅操纵小面积舵,输出功率小;小面积舵对螺旋桨流场影响小,降低了螺旋桨发生空化的风险。
图 3 “弗吉尼亚”级潜艇艉升降舵采用的大小舵面
Figure 3. The size of the rudder surface used in Virginia class stern elevator
舵叶安装布置形式不仅会对自身流激噪声产生影响,也会改变艇体形成的非均匀尾流场,影响螺旋桨辐射噪声特性。谢剑波等[11]通过CFD方法数值模拟了X形舵和十字舵产生的非均匀流场,对2种流场下七叶大侧斜桨的辐射线谱噪声进行数值预报,研究指出X形艉舵产生的线谱噪声幅值更大,尤其体现在螺旋桨的高阶叶频处。实际上,X形舵更多的优势体现在其良好的操纵性和安全性上,德国212型潜艇上就采用了X形艉舵,美军新研的“哥伦比亚”级潜艇也采用X形艉翼。相较于传统的十字形艉翼,X形艉舵舵叶受力更均匀,机动性更强,每个独立舵叶均具备垂直和水平操纵能力,在卡舵等情况下的安全冗余性更高。
3. 传动装置
传动装置是液压实施压机与舵叶转动的机械连接结构,其布置从艇外至艇内,冗长的连接传动结构,以及不得不使用的铰接头不可避免地产生传动结构的运动间隙,极易引发系统非线性振动,进而激发舵叶流激噪声。为了避免传动装置过长、铰接头数量多、传动间隙大易引发自振振荡的弊端,俄罗斯潜艇上采用了双回路传动装置,如图4所示,通过双通道限制单方向上舵叶在间隙范围内的振动位移。在水动力作用下舵叶可能在结构间隙范围内随水流来回转动,为降低因传动机构间隙导致的各种自振的概率,必须控制总间隙角。
图 4 双回路设计
Figure 4. Double loop design
传动装置中舵杆轴与舵叶压力中心、舵质心三点的相对位置是决定舵系统颤振的直接因素。舵系统的颤振本质上是水流冲击舵叶产生的能量大于舵系统结构阻尼产生的能耗,引发的水动力自激颤振。过平衡舵由于压力中心位于舵杆轴之前,诱发颤振的可能性小。平衡舵和不平衡舵舵杆轴和压力中心重合或落在距舵叶导缘1/4舵舷长内,更易诱发颤振。潜艇舵系统的颤振不同于飞机机翼颤振,飞机机翼颤振一般在速度高达100 kn以上才会产生,将引发机体剧烈振动,甚至影响正常飞行。而潜艇低航速舵只会发生不同于经典颤振的弱颤振,其不会对舵叶结构和系统造成破坏,但会激发水动力噪声[12]。肖清等[13]研究表明,质心到舵杆轴的距离越小,越有利于提高颤振速度,即水翼相对水流发生颤振时的临界速度;减小舵叶质量,有利于提高颤振速度;提高舵轴的扭转刚度也有利于提高颤振速度。郑旭等[14]研制了舵翼颤振的试验装置,试验表明,存在临界来流速度,大于该速度时舵翼开始振动,且随着来流速度增大,舵翼振动幅值也随之增大。鉴于潜艇舵低速颤振的危害,俄罗斯设计编制了用于新研潜艇舵系统颤振校核的程序[12]。
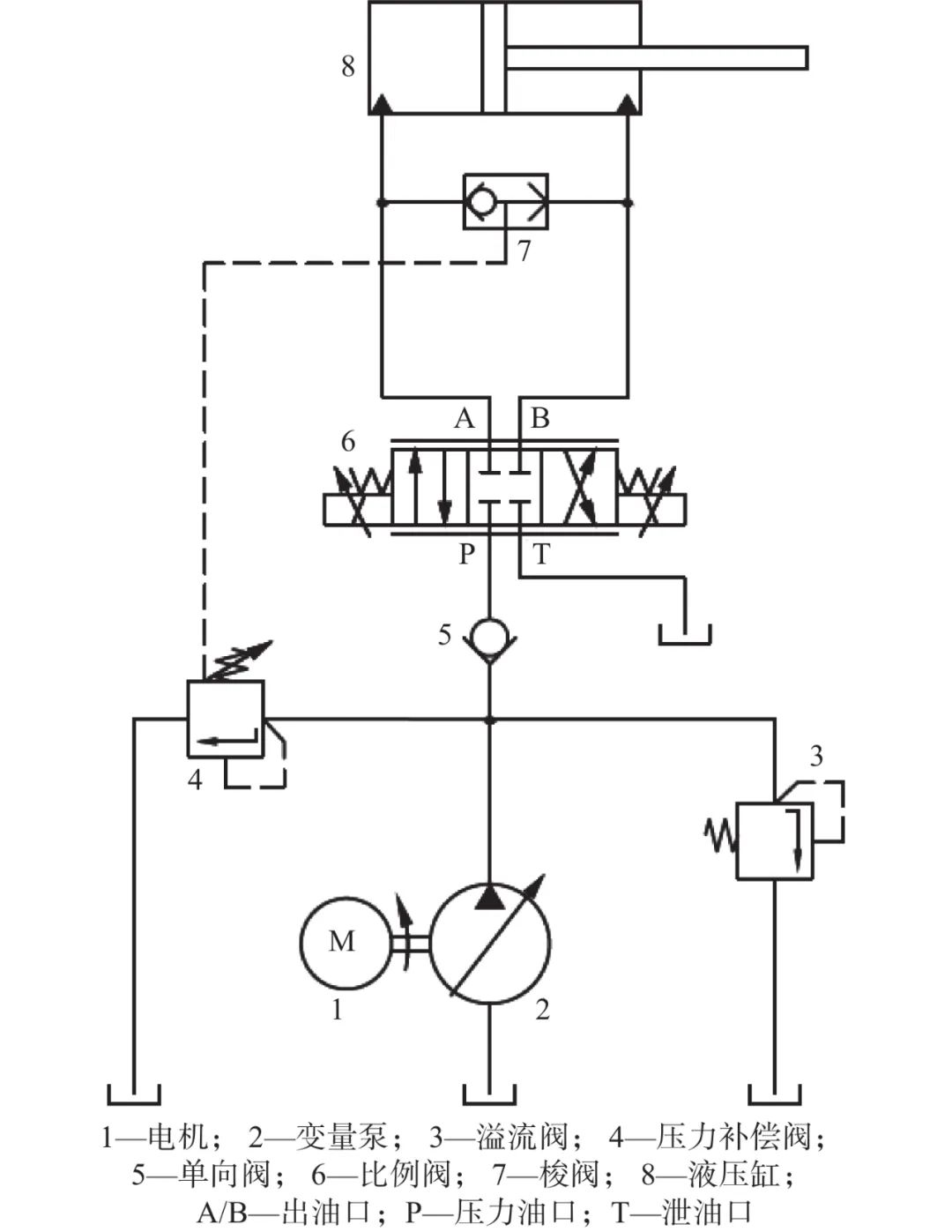
4. 舵液压系统
舵液压系统的低噪声设计是操舵系统安静性设计的重点。潜艇舵液压系统一般包括液压源、传递管路、控制阀组、液压缸等部件,是一个复杂的动力学系统,振动噪声的产生源头和传递路径也比较复杂。图5所示为舵液压系统振动噪声的传递示意简图。按照舵液压系统的运行状态,将舵液压噪声分为2大类:稳态噪声和非稳态噪声。
图 5 舵液压系统振动噪声传递示意图
Figure 5. Diagram of vibration and noise transmission of rudder hydraulic system
4.1 稳态噪声
稳态噪声是指系统平稳工作状态下产生的振动噪声。该类噪声是液压系统固有噪声,只能通过改进设计降低噪声源,但无法根除。根据舵液压系统稳定运行时的噪声激励源,将其分为3种。
4.1.1 不平衡激励力引起的结构振动
主要是由电机和液压泵的转子不平衡激励力引起的结构振动,取决于电机和液压泵的制造精度和运动速度。机械制造和装配的误差,将引起惯性和刚性2种性质的动态力发生。交变惯性力的发生主要是由于零部件及结构的质量中心偏移旋转中心,发生振动导致。不平衡激励力F1(ω)F1(ω)可表示为
式中:m为设备的运动部件质量;a为运动加速度;k为偏移误差δ转变为运动部件质量中心振动位移的系数;ω为运行频率。根据式(1)可知,若要降低不平衡激励力,必须提高制造精度,减小运动速度,降低运动部件质量。电机和液压泵装配不对中也会导致不平衡激励力增大。为了避免机械安装导致的不对中,减小振动噪声,电机泵成为一种新的应用趋势。例如,Voith公司提供的EPAI型电液泵组,将内啮合齿轮泵集成在异步电机内部,工作压力可高达33 MPa,实物图如图6和图7所示。该泵组采用一体化结构设计,不仅能有效避免传统电机泵组的不对中问题,运动部件质量也大幅减少,而且具有更低的流量脉动,使得泵组噪声降低最高达12 dB。
图 6 传统的电机和液压泵单元
Figure 6. Conventional motor and hydraulic pump units
图 7 Voith电机泵产品实物
Figure 7. Voith motor pump products
4.1.2 机械工作过程力引起的结构振动
在频域分析中,工作过程力F2(ω)F2(ω)的表达式为
式中:N为工作过程有效功率;F0和vv分别为有效功率对应的力和速度;f(ω)为F0=1时的动态力幅值密度分布函数。根据式(1)可知,要减小工作过程中的动态力,必须降低功率NN,提高速度vv。
操舵液压系统泵源转速的选择需要综合考虑前2种稳态噪声,它对工作过程中的动态力和由于制造不精确而产生的激励力影响是相反的。工作过程动态力随转速增长而降低,而不平衡激励力随转速增长而变大。因此泵源转速的选择需综合考虑以上2种稳态噪声激励力的影响。
4.1.3 压力脉动引发的线谱特征噪声
常用的容积式泵,因输出流量的不连续性,不可避免地会产生流量脉动。输出流量脉动,与系统阻抗耦合形成压力脉动,引发流固耦合噪声。压力脉动为系统阻抗与输出流量脉动之积。降低压力脉动引发的稳态线谱特征噪声,可从两方面入手:控制输出流量脉动和最优匹配系统阻抗。最优化匹配阻抗需要系统性设计,控制压力脉动的根本是降低系统流量脉动。
降低系统流量脉动,首先要选用低噪声液压泵源。常用的液压泵有柱塞泵、叶片泵、螺杆泵和齿轮泵等,基本特性对比如表1所示。柱塞泵是最常用的液压泵,具有额定压力高、结构紧凑、流量调节方便等优点,但其输出流量脉动较大。叶片泵输出流量均匀、运转平稳、噪声低、体积小,但存在结构复杂、吸油特性较差,对油液污染较敏感等缺点。螺杆泵运行平稳,输出流量脉动几乎为零,自吸能力较好,但一般尺寸较大,输出最高压力仅能达到10 MPa。齿轮泵结构简单,体积小、重量轻,自吸能力好,抗油液污染能力高,工作可靠,其主要缺点是输出流量不可调,流量脉动系数较大。为优化流量脉动特性,也有一些新型液压泵可供选择,例如摆线泵、螺旋转子泵等。
表 1 常见液压泵基本特性对比
Table 1. Comparison of basic characteristics of common hydraulic pumps
同时,可采取有效的脉动衰减措施降低系统中的流量脉动。按照油路上是否引入次级源可分为被动式衰减和主动式衰减2种控制措施。被动式衰减主要依靠各种类型的脉动衰减器,主要包括共振型、扩张室型以及干涉型3种。共振型液压脉动衰减器压力损失小,变换种类多,是目前应用范围最广的被动式脉动衰减器,但其只在固有频率附近衰减效果好;而扩张室型、干涉型衰减器结构形式相对固定,限制了其应用范围[15]。当然,对于新型的脉动衰减器也有一些研究,例如贺尚红等[16]提出了一种新型薄板振动式液压脉动衰减器,通过结构谐振和流体谐振双重滤波控制流体脉动;Mikota等[17]设计了一种类似质量–弹簧振动系统,通过活塞的共振衰减液压脉动,其优点在于可通过调节活塞腔有效容积来改变衰减频率;陈耿彪等[18]提出了2种新型脉动衰减器研制思路,一种是模拟耳蜗基地膜结构的脉动衰减器,利用其宽频响应特性形成广谱流体脉动抑制效果,另一种是运用纳米材料——新型多孔硅胶胶体的脉动衰减器。综合来看,各种被动式脉动衰减器,结构简单、可靠性好,可有效衰减中高频段的脉动噪声。但也存在通用性差,适应工况变化范围有限,偏离设计工况衰减效果一般,无法有效衰减线谱噪声的问题。
主动式衰减是应用波的干涉原理,通过次级源引入幅值相同、相位相反的次级压力波,与初级波叠加达到降噪的目的。流体脉动主动控制的研究起步于20世纪80年代,以伺服作动器为次级源,采用F-XLMS控制算法,在10~800 Hz内取得了20 dB的脉动衰减效果[19]。近年来,欧阳平超等[20]设计了一种压电陶瓷伺服阀,采用自适应最优控制算法驱动并联在泵出口的锥阀,试验表明可衰减线谱幅值10 dB。焦宗夏等[21]设计了一种压电陶瓷驱动的滑阀,滑阀采用独特的双边溢流设计,可使其作动频率降为脉动频率的一半。欧阳平超[22]指出单点消振效果有限,提出了分布式脉动控制方法,将多个主动消振阀布置在管路不同位置;试验表明整个管路消振效果显著,其消振量均可达10 dB以上。Pan等[23-24]对液压系统流量脉动的主动控制研究较多,设计了压电陶瓷节流阀作为作动器,将其分别串联在主油路及连接在旁通支路上,重点研究了相应的控制算法,试验表明将节流阀串联在油路上时单根线谱最大可衰减44.3 dB,连接在旁通支路上时单根线谱最大可衰减35.2 dB。主动式衰减可有效降低线谱噪声,但主动衰减技术在液压操舵方面几乎没有工程应用,主要存在以下2个难点:1) 流体脉动频率快,且惯性大、响应慢,需要专门设计的高频响作动器,目前能在1 kHz以上高效输出的作动器几乎没有;2) 控制算法的稳定性与快速性要求高,实艇液压操舵系统存在油液黏度变化、油液中空气含量变化以及不同的阀门开启工作状态等因素,导致液压操舵系统是一个时变复杂非线性系统,且实艇一个操舵周期时间短至3 s,最长不超过25 s,要求控制算法在最短时间内达到收敛稳定,且能辨识系统参数输出有效的控制指令。
4.2 瞬态噪声
瞬态噪声是指系统在非平稳工作状态或状态突变引发的振动噪声。其最大特点是,在正常工作或工作良好的状态下,该类噪声可得到有效控制甚至消除。瞬态噪声主要包含3类,其中液压冲击是最主要的瞬态噪声源。
4.2.1 液压冲击
液压冲击是引起舵液压系统振动噪声加剧的重要原因。由于液压管路冗长,放大作用明显,潜艇操舵液压系统中,液压冲击引起的结构振动响应幅值可能增大10倍。按照产生液压冲击的来源,可将潜艇操舵系统液压冲击分为5类[25]:
第1类液压冲击由流量控制阀(伺服阀或比例阀)突然开启或关闭造成油液流动突然开始或停止以及高低油口瞬间切换,引起压力瞬间升高或降低而产生的。此类液压冲击常见于全船液压阀控操舵装置中,且控制压力越高,流量越大,液压冲击强度越大。液压冲击产生的压力冲击波会沿着全船液压管道传播,激励艇体振动而产生瞬态辐射噪声。如图8所示,该工况下伺服阀启停的瞬间压力波动巨大,达到5 MPa以上,引发巨大的冲击噪声。当流量控制阀的阀芯开度变化时间tt小于压力冲击波在管道往复所需时间TT时,产生直接液压冲击;当tt≥TT时,产生间接液压冲击。
图 8 伺服阀启停引起的液压冲击
Figure 8. Hydraulic impact caused by servo valve start-stop
使用压力变化量来量化液压冲击强度,则第1类液压冲击强度计算公式为
式中:ρ为管道中油液的密度;v1和v2分别为阀芯换向前、后的油液流速;c为管道中液压冲击波的传递速度。由式(3)可知,第1类液压冲击与控制阀的开启时间密切相关。
第2类液压冲击由油液气穴造成油液压力瞬间升高而产生。油液气穴是油液局部压力低于油气分离压力,致使油液中气泡大量析出,当气泡进入高压区时,气泡迅速泯灭,造成油液压力瞬间升高的现象。该现象常见于液压泵吸油口处,会导致液压泵的磨损并产生刺耳的空气噪声。图9为某型液压泵在不同吸油压力下的运转空气噪声,可见当吸油压力降低至0.2 MPa时,由于气穴现象发生,使得液压泵换向时会产生尖锐刺耳的空气噪声,瞬间幅值会增大约33 dB。控制第2类液压冲击,一方面可提高液压泵吸油口压力,防止吸油口压力低于气液分离压力;另一方面减少油液中含气量,降低气穴的风险。
图 9 不同吸油油压力下的某液压泵运行时空气噪声
Figure 9. Air noise during operation of a hydraulic pump under different oil suction pressure
第3类液压冲击是液压泵突然启停或换向造成油液流速迅速变化,导致压力瞬间变化而引起的,压力冲击波沿着管道传递到液压缸,激励液压缸机脚结构振动。由于液压缸与艇体刚性安装,结构振动更易传递至艇体,产生瞬态辐射噪声。此类液压冲击与第1类液压冲击的机理类似,都是由控制部件控制状态瞬间变化导致。图10所示为某泵控液压操舵装置在不同启动策略下液压缸基座的瞬态结构振动响应,可见直接高速启动将导致结构振动瞬间增加,相比稳态工况高出6 dB以上;通过采取液压冲击控制策略——柔性启动,可使结构振动缓慢增加至平稳状态,有效避免瞬态冲击噪声。
图 10 某泵控装置不同启动策略下的瞬态结构振动响应
Figure 10. Transient structural vibration response of a pump control unit under different starting strategies
第4类液压冲击由外界负载(如海浪拍击)突变引起油液压力瞬间变化而引起,压力波首先产生于液压缸内,直接激励液压缸机脚结构振动,同时会沿着管道传递至动力油源处,激励油源机脚结构振动。此类液压冲击由外部负载激励,反向传递至系统内部。
第5类液压冲击由液压缸位置超调振荡导致的油液压力超调振荡而引起。此类液压冲击本质上由控制的不稳定性导致,常见于操舵液压系统中。如图11所示,不稳定控制引起超调振荡,在操舵装置运行至目标位移后,会引起二次瞬态振动冲击响应,振动响应幅值可能超过稳态运行时的振动量级。
图 11 超调引起的振动变化响应
Figure 11. Responses to vibration changes caused by overshoot
4.2.2 紊流和设备元件流体部分的强涡流噪声
管路中油液流速过快或者阀类元件界面剧变,使得系统雷诺数Re超过临界值,管路中流态由平稳层流变为紊流,从而形成分离流和强涡流,造成流体与结构碰撞加剧,引起强烈振动。雷诺数是用来表征流体黏性影响的准则数,雷诺数较小时,表明流体受到的黏滞力更小,流态更稳定。雷诺数为
式中:d为管路直径;Q为流量;μ为黏性系数。
因此,降低此类噪声主要是降低雷诺数,保证管路中流态的稳定。管路直径确定时减小油液流速,以及流量确定时增大管路直径,均能降低临界雷诺数。还可通过优化各类阀件及管路流道设计,避免出现剖面等剧变情况,使流态保持稳定。
4.2.3 管路振动噪声
管路本身不是噪声源,管路振动是由系统压力脉动和外部机械振动干扰所造成的,特别是当系统压力脉动频率与管路的固有频率相等或接近时,管路会发生共振,产生剧烈的结构振动。
操舵液压系统管路是一个整体系统,单独分析关注区段管路的模态频率意义不大,各部件上弯头、卡箍支撑、敷设阻尼材料、增加阀门等状态改变均可引起管路系统的模态频率变化,因此基于整体管路系统的模态分析难度较大。为降低管路振动噪声的影响,主要通过合理设计管路避开共振点,避免复杂的管路布置及增大管路阻尼减小压力脉动激起的管路结构振动等措施实现[26]。
4.3 新型低噪声操舵装置
舵液压系统是操舵系统中机械噪声的主要来源,传统舵液压系统一般采用阀控或泵控原理。如图12所示,阀控液压系统由液压泵恒压供油,伺服阀阀芯开度大小随指令变化进而控制液压缸输出位移。阀控液压系统是最常用的液压系统,具有响应速度快、控制精度高的优点。但阀控系统本质上属于节流控制,压力损失大、效率低,液压冲击和节流控制引起的振动噪声问题严重。
图 12 阀控液压系统
Figure 12. Valve-controlled hydraulic system
泵控系统原理如图13所示,电机恒转速运行,变量柱塞泵根据指令改变斜盘倾角控制供油量,调节液压缸位移。相比而言,阀控系统控制两侧油路,泵控系统只能控制一侧油路,导致泵控液压系统固有频率仅为阀控系统的1/2–√1/2倍,相对阻尼系数也为阀控系统的1/2–√1/2倍,此外泵控系统连接管道一般较长,因此泵控系统较阀控系统动态特性差,系统频带低、阻尼小,同时系统运行时电机高速运转,噪声严重[27]。相对传统阀控系统,泵控系统最大优点在于无节流损失、效率较高。
图 13 泵控液压系统
Figure 13. Pump-controlled hydraulic system
为改进阀控液压系统的节流噪声,避免传统泵控系统高速旋转的电机噪声以及变量柱塞泵斜盘机械调节动态响应慢的缺点,具备众多优势的直驱式伺服控制系统受到广泛关注。直驱式伺服控制基本原理如图14所示,其主要利用伺服电机调速控制液压泵输出流量实现容积控制。为充分发挥各自优势,各种控制原理相结合的复合控制方案均有相关研究,主要包括直驱式与泵控联合式、泵阀联控式、直驱式与阀控联合式等。
图 14 直驱式伺服控制系统
Figure 14. Direct drive servo control system
直驱式伺服控制具有效率高、振动噪声低、比传统泵控响应快的优点,已经在飞控系统中得到广泛应用。资料显示,包括波音737、波音747、波音777,空客A380,湾流G500和G650,F-18和F-35,甚至国产的ARJ21以及C919等型号飞机舵面控制均采用了基于直驱式伺服控制原理设计的电液作动器[28-31]。但在潜艇舵面控制领域,采用直驱式伺服控制原理设计的电液作动器运用和研究较少。此外,现有基于直驱式伺服控制原理开发的电液作动器无法直接运用于潜艇舵面控制,以美军F-18飞控系统运用的电液作动器技术指标为例,其主要有以下几点原因[32]:
1) 关键技术指标不同。飞控系统用操舵装置追求的是高频响,F-18飞控系统要求频响不低于7 Hz。潜艇作为一个大惯性体,航行速度远小于飞机,因此潜艇无需对操舵系统频响要求过高。潜艇操舵液压系统的主要指标是振动噪声,美军在2008年发布的电动舵研制招标书中[10],明确指出振动噪声水平是潜艇电动舵研制的关键技术指标。潜艇的主要技术特点在于其隐蔽性,因此针对潜艇操舵装置,必须充分考虑低噪声设计。
2) 输出载荷不同。飞机舵面控制,出力需求较小、功率低。F-18飞控系统操舵最大堵转力仅为约58 kN,稳定出力仅约22 kN。飞机的舵面由多个小舵面组合而成,单个舵面出力相对潜艇舵面出力需求而言小得多。潜艇水下阻力大、排水量大,且舵面个数少,单个舵叶面积较大,要求单个舵面作用力大。一般潜艇舵面控制的轴向出力可能达到300 kN,甚至是1 000 kN。因此飞机舵面控制的功率需求远小于潜艇操舵。
3) 应用环境和工况不同。飞机操舵主要使用环境在高空,散热效果好,且其作用时间短,不需要长时间连续工作,一般设计连续运行时间仅为1 000 s, F-18飞控系统最大出力下作用时间仅要求20 s,不需要考虑长时间连续运行带来的发热问题。潜艇操舵深度和航行控制需要连续打舵,且其功率大发热严重,密闭舱室环境温度高,散热难度大。因此,潜艇操舵装置的设计必须考虑系统的能量控制问题。
鉴于直驱式伺服控制的明显优势,现有基于直驱式伺服控制开发的电液作动器难以满足潜艇操舵需求,各国都在开展基于直驱式伺服控制的先进电液操舵装置的研制。美国海军于2008年发布了电动舵研制招标书,明确指出电液操舵是重要备选方案之一[33]。MOOG公司正在开展潜艇操舵用电液作动器研究[34]。近年来,为改善操舵系统噪声问题,海军工程大学也致力于潜艇操舵系统噪声研究,已成功研制出基于直驱式伺服控制原理的舰用安静型集成式电液操舵装置[25,32]。
5. 低噪声操纵
除了对设备本身进行降噪设计外,合理的操纵方式对降低操舵系统噪声也至关重要。美国、俄罗斯明确规定潜艇操舵舵手必须是有经验的士官长,俄罗斯甚至制定专门的操纵手册,给出了隐身工况下的低噪声操舵方案。低噪声操舵是降低潜艇航行工况下辐射噪声的有效手段,加大对操舵系统低噪声使用战术策略的研究十分必要。
黄健鹰[35]系统性分析了操纵隐身的战术策略,提出了定性的建议:选择恰当的航行深度;近水面航行时减少无效舵;阵地待机时采用无航速定深悬停;机动时采用低噪声操艇方式,如控制偏舵角在10°以内,转舵速度小于3 (°)/s等。目前,国内还没有专门关于低噪声操舵策略的定量研究,但是经验性结论基本一致。例如,胡坤等[36]研究了潜艇操舵速率对规避鱼雷等战术机动的影响,指出操舵速率的增大能够增加潜艇在规避鱼雷战术机动过程中的摆脱概率,从而提高潜艇的生命力;但是操舵速率过大会加大舵机的载荷,同时提高潜艇操舵时的自噪声,进而影响潜艇的隐蔽性。李光磊等[37]指出,低速时选择合理的操舵控制规律,保证尽量小的舵角、尽量少的转舵次数、尽量慢的变化频率来控制潜艇运动,可以极大地降低潜艇噪声。林超等[38]设计了二自由度控制策略,以更低的操舵速度、更小的操舵角、更少的操舵次数,来降低潜艇操舵系统噪声。黄利华等[39]仿真分析了潜艇定深转向机动下,不同舵速对振动噪声、机动时间等机动状态参数的影响,结果表明:最大舵速值由100%(3.5 (°)/s)降低至20%(0.7 (°)/s),进行转向机动,其超调量均满足标准要求(机动范围10%内),机动时间比最大转舵速率100%时的机动时间多出10 s,但舵机系统的振动噪声最多可降低约5 dB。低噪声状态下,操舵角速度应为1 (°)/s,提高这一角速度将导致艇在机动过程中辐射噪声增大。
6. 总结与展望
操舵系统噪声是影响潜艇中低航速下隐身性能的重要噪声源之一,舵液压系统产生的机械噪声是操舵系统噪声治理的重点。综上分析,操舵系统噪声治理主要可从以下几方面开展:
1) 优化艉部舵叶布置形式是目前控制舵叶流激噪声的最有效途径。
2) 简化传动装置结构形式,控制传动间隙,可有效预防舵叶振荡。
3) 舵液压部分是操舵系统主要噪声源,不平衡激励力、动态过程力以及压力脉动引发的稳态噪声,液压冲击、流体涡流噪声、管路异常振动引起的瞬态噪声是操舵液压系统振动噪声控制的重点。
4) 基于直驱式伺服控制原理的液压操舵系统具有振动噪声低、效率高、结构紧凑等优点,是未来发展趋势之一。
5) 操舵系统噪声的治理是一项复杂系统性任务,不仅需要在设计阶段深入考虑仔细验证,还需通过良好的使用和维护以保证其低噪声水平。加强低噪声操纵战术策略研究,维持良好的运行状态,可有效降低使用阶段的振动噪声水平。
引
用
本
文
廖健, 何琳, 陈宗斌, 等. 潜艇操舵系统噪声综述[J]. 中国舰船研究, 2022, 17(5): 74–84 doi: 10.19693/j.issn.1673-3185.02391
第100期精彩论文推荐——点击阅读
[1] 朱英富, 熊治国, 袁奕, 等. 现代水面舰船技术发展思考[J]. 中国舰船研究, 2022, 17(5): 1–8 doi: 10.19693/j.issn.1673-3185.02928
[2] 王耀南, 安果维, 王传成, 等. 智能无人系统技术应用与发展趋势[J]. 中国舰船研究, 2022, 17(5): 9–26 doi: 10.19693/j.issn.1673-3185.02705
[5] 陈志宁. 微波超天线技术的研究与发展[J]. 中国舰船研究, 2022, 17(5): 45–51 doi: 10.19693/j.issn.1673-3185.02889
文章来源:中国舰船研究
工程师必备
- 项目客服
- 培训客服
- 平台客服
TOP




















