超大型钢筋混凝土冷却塔龙卷风致倒塌仿真分析
2023年6月27日 16:44Xu Chen, Lin Zhao*, Shiyu Zhao, etc. Tornado-induced collapse analysis of a super-large reinforced concrete cooling tower [J]. Engineering Structures, 2022, 269, 114834.
摘要
风荷载是控制超大型冷却塔结构设计的主要因素。目前世界各国有关冷却塔的荷载规范仅适用于良态气候条件大气边界层风场,缺少对于风场特异性较强的龙卷风荷载效应的评估。为了进一步掌握超大型钢筋混凝土冷却塔的抵御龙卷风性能,利用同济大学龙卷风模拟器对高度为215m原型冷却塔结构缩尺模型进行了风洞试验;研究了不同涡流比龙卷风对塔壳的风荷载作用,并将其应用于全尺寸有限元模型,模拟了钢筋混凝土冷却塔龙卷风致倒塌的全过程,并将考虑非线性倒塌影响的临界风速与水工规范推荐的屈曲应力状态法和线性分叉屈曲分析结果进行了比较。研究结果表明,龙卷风涡核半径位置是使冷却塔结构遭受龙卷风荷载效应的最不利区域,更容易发生结构倒塌破坏,结构材料塑性失效是龙卷风造成冷却塔倒塌的关键因素。塔壳内侧子午向钢筋受拉破坏导致结构在切向气流迎风区域出现环向裂缝,裂缝逐渐发展进而引发结构整体倒塌。数值仿真分析记录了塔壳不同失效阶段的裂缝发展情况,量化了结构固有频率的和振型的演变过程,详细评估了钢筋混凝土冷却塔抵御龙卷风的抗风性能。
Abstract
Wind loads are a predominant design factor for the gravity, thermal effects, and seismic actions of thin-walled super-large cooling towers. The current load code provisions relating to cooling towers in various countries are only suitable for straight-line boundary-layer wind fields under normal climates, rather than non-synoptic winds such as tornadoes, which have quite different wind field characteristics and are more vulnerable to structural safety. To further understand the tornado-resistant performances of super-large reinforced concrete cooling towers (RCCTs), wind tunnel tests with respect to a reduced-scale model of a prototype structure with a height of 215 m were conducted using a tornado vortex simulator. Wind loads acting on the tower shell due to tornadoes with different swirl ratios were studied, and then applied to a refined full-scale finite element model. The entire process of tornado-induced RCCT collapse was simulated and the critical failure wind velocities considering nonlinear collapse effects were compared with the results from the buckling stress state (BSS) approach, which is recommended in national codes and linear bifurcation buckling analysis. The results revealed that structural failure is more likely to occur when the RCCT is located at the tornado core radius because the structure experiences the most unfavorable tornadic wind loads within this region. The loss of material strength rather than the loss of stability is the key factor influencing tornado-induced RCCT failure. The structural collapse is initiated by the appearance and development of circumferential cracks in the windward region of the tangential wind flow owing to the tensile failure of the meridian reinforcement inside the tower shell. The cracks around the tower shell lead to the degradation of the natural frequencies of the structure and the change in vibration modes, and finally affect the tornado-resistant performance of the RCCT.
研究背景
风洞试验在确定超大型冷却塔的风荷载方面发挥着重要作用。自从龙卷风模拟器诞生以来,国内外学者陆续研究了龙卷风对低矮/高层建筑、大跨度空间结构和大跨度桥梁等风敏感结构的影响。然而对大型冷却塔的研究相对较少,为了合理评估大型冷却塔等核电类基础设施抵御龙卷风侵袭能力,需要进一步了解龙卷风作用下钢筋混凝土冷却塔的风荷载及其效应。
本研究的目的是阐明龙卷风作用下大型冷却塔结构表面风荷载分布规律,揭示龙卷风作用下的钢筋混凝土冷却塔失效机理。将冷却塔刚性模型置于风洞模拟的类龙卷风旋涡中,测量作用在塔壳上的分布风荷载;利用显式动力分析程序(LS-Dyna)进行了有限元数值计算,模拟了龙卷风致冷却塔倒塌全过程,再现了结构倒塌过程裂缝的产生和发展,讨论了冷却塔的倒塌方式和易损位置,明确了冷却塔在龙卷风涡旋作用下的抗风性能。
龙卷风涡旋作用下风荷载特性
冷却塔刚性模型
目标冷却塔是高度为215m的核电双曲线型钢筋混凝土冷却塔,风洞试验模型具体参数见表1。
表1 冷却塔刚性模型参数
雷诺数Re仅为原型的1/15000 (几何比例为1/1500,风速比为1/10)。为了补偿Re的影响,在刚性模型外表面布置了36条等间距的子午向纵肋,以改善模型的表面粗糙度,具体布置情况如图1。
图1 冷却塔模型表面纵肋和测压点布置情况
龙卷风模拟器
利用同济大学的龙卷风模拟器产生了类龙卷风气流,其机理与美国爱荷华州立大学的模拟设备相似。风扇电机由外径为1.5m、高度为1.009m的悬挂圆形风管支撑,可以产生上升气流和漩涡流。安装在风管顶部的两个叶片可以通过调整其叶片角度产生具有不同涡流比的龙卷风。悬浮在水平活动框架上的圆形风管可以模拟真实的移动龙卷风(图2)。
涡流比S是决定龙卷风旋涡效应和旋涡结构的重要无量纲参数,定义为:
随着S的增大,龙卷风涡核中心出现下沉气流,说明龙卷风涡旋结构逐渐由单涡旋向双涡旋过渡。此外,通过实验结果、理论结果和现场测量结果的对比,验证了同济大学龙卷风模拟器的适用性,表明该模拟器再现类龙卷风涡旋时可以生成真实龙卷风的基本风场特征。
冷却塔表面龙卷风致载荷
龙卷风涡旋下冷却塔的气动荷载与良态气候的结果有明显的不同。龙卷风致气动合力包括3个基底剪力(FX、FY、FZ)、2个基底倾覆力矩(MX、MY)和1个旋转力矩(MZ)(见图3(a)),而边界层良态风作用下的气动合力包括1个横风向升力(FX)、1个顺风向阻力(FY)和2个基底倾覆力矩(MX、MY)(见图3(b))。
在刚性模型底部安装了六分量动态天平装置,用于测量在龙卷风试验中作用于冷却塔的气动合力。对应的气动合力系数定义如下:
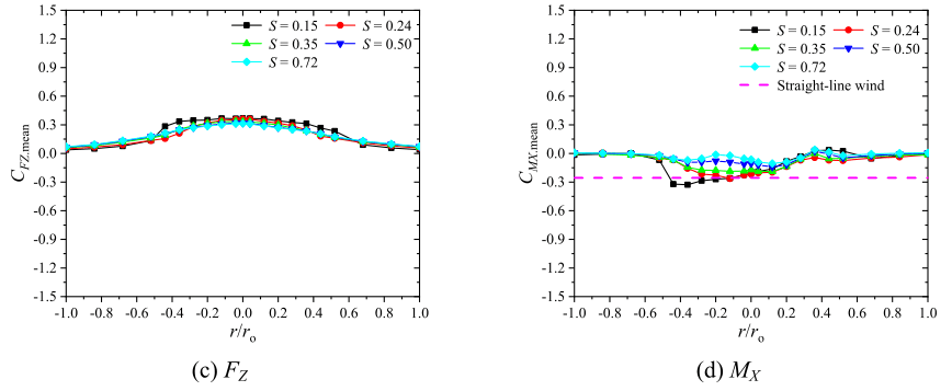
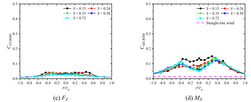
图4、图5分别给出了五种涡流比的平均气动合力系数随冷却塔与龙卷风涡核中心相对距离r的变化,并同时给出了龙卷风致气动合力随相对距离r的波动变化。
图4 与龙卷风中心不同距离的气动合力平均值变化规律
由以上结果可知,当冷却塔位于龙卷风涡核半径以内时,较少受龙卷风荷载效应影响。当冷却塔位于龙卷风涡核内部时,低涡流比龙卷风的荷载效应大于高涡流比结果,而当冷却塔位于龙卷风涡核外部时,高涡流比龙卷风的荷载效应大于低涡流比结果。
受龙卷风涡旋影响的冷却塔局部风压也与边界层良态气候条件的结果显著不同。局部风压系数定义如下:
龙卷风引起的塔壳内表面压力通常是均匀和稳定的,基于Rankine模型,内压系数可以表示为:
图6给出了冷却塔与龙卷风之间4个相对距离的净平均压力系数分布曲线。对比相同的设计风速,风荷载规范在边界层风作用下的建议取值可以比较准确的估计龙卷风引起的迎风点正压和侧面负压,但低估了背风面的负压取值。
龙卷风致倒塌
由于结构倒塌涉及到材料的非线性和结构的非连续破损失效,在物理风洞试验中难以模拟,因此本文对冷却塔在龙卷风作用下的倒塌过程进行了数值仿真模拟。首先通过对比冷却塔在地震作用和其他意外荷载作用下的物理模型试验和数值模拟结果,验证了所采用有限元模型的精度和可靠性。
图7 冷却塔三维有限元分层壳和钢筋网精细化模型
龙卷风加载与倒塌过程模拟
龙卷风加载过程如下:
图8 冷却塔加载龙卷风气流条件测压试验
倒塌过程动画演示如下:
图9 冷却塔三维有限元倒塌数值仿真模拟
龙卷风致冷却塔倒塌与切向气流作用的迎风区域周向裂缝出现和发展密切相关。此外,龙卷风的旋涡效应导致塔壳出现斜裂缝,导致整个塔壳的结构破坏。当冷却塔位于龙卷风涡核半径位置时,更容易坍塌(如图10)。
破坏过程中裂缝的产生和发展会导致结构整体刚度的退化。图11显示了初始冷却塔和开裂过程冷却塔前十阶固有频率的对比。
稳定性分析
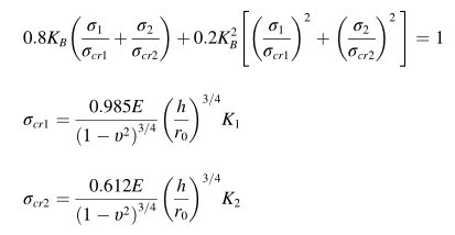
由于冷却塔壳体结构的薄壁特性,结构屈曲失稳曾经被认为是引发冷却塔在强风作用下倒塌的决定性因素。屈服应力状态法(BSS)的稳定性验算公式如下:
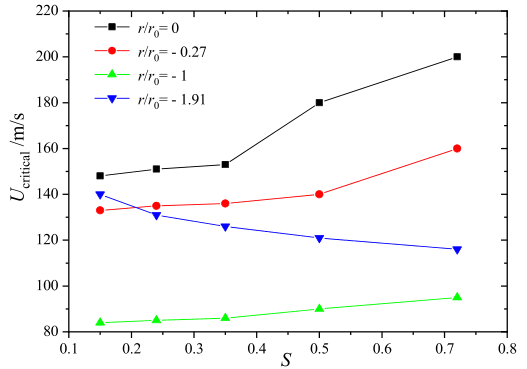
图12(a)给出了水工规范BSS方法计算结果,图12(b)给出了基于分岔屈曲分析的五种涡流比下临界屈曲切向风速随相对距离的变化情况。临界切向风速随相对距离和涡流比的变化趋势与BSS方法相似。两种稳定性分析方法的结果表明,位于龙卷风涡核半径位置时更容易发生失稳。当冷却塔位于龙卷风涡核内时,涡流比低的龙卷风更容易引起结构屈曲;而当冷却塔位于龙卷风涡核外时,涡流比大的龙卷风更容易造成结构屈曲。图12还表明了分岔屈曲分析得到较高的临界风速,而BSS方法得到相对较低的临界风速。这种差异是由于BSS方法一定程度上考虑了结构的非线性效应,而分支屈曲分析只针对线弹性结构实施计算。
图12 临界屈曲切向风速
失效机理
长期以来,对于冷却塔风致结构破坏是由于失稳还是材料破坏,一直缺乏共识。基于上述倒塌数值模拟和稳定性分析,龙卷风作用下结构破坏临界风速对比如图13所示。结果表明,在不考虑相对距离和涡流比的情况下,分岔屈曲分析和倒塌数值模拟分别得到了最大和最小临界速度,而BSS方法得到了介于最大值和最小值之间的临界速度。结构倒塌对应的临界速度小于失稳对应的临界速度,这意味着龙卷风作用下冷却塔的结构破坏是由倒塌损伤引起的,而不是冷却塔弹性失稳引起的。稳定性分析和倒塌数值模拟得到的临界切向风速的差异是由于倒塌模拟考虑了材料非线性和裂纹的出现,而稳定性分析仅针对线弹性结构进行。因此,基于倒塌数值模拟的结构失效分析相比较于分叉屈曲分析或BSS方法更合理。
根据倒塌过程的模拟结果,在迎风区域,初始裂缝的出现直接触发了冷却塔的倒塌。裂缝的发展显著影响了冷却塔结构损伤,导致结构动力特性的变化和风致振动效应的恶化。倒塌数值模拟的后处理分析结果表明,随着裂缝的发展,塔筒内侧子午向钢筋达到极限拉应变,发生受拉破坏。此外,内侧子午向钢筋的损伤早于外侧子午筋,可以得出龙卷风作用下冷却塔的破坏是由于材料强度的损失而非稳定性损失。结合上述分析过程,对于冷却塔抵御强风侵袭而言,裂缝发展对结构破坏行为的影响更适合采用倒塌数值模拟研究方法,而非BSS方法和线弹性分叉屈曲分析算法。
结论
利用同济大学龙卷风模拟装置对不同涡流比的龙卷风场进行了物理模拟,通过测量大型冷却塔模型上的龙卷风致气动载荷,将其应用到三维有限元模型上,进行倒塌数值模拟和稳定性分析,从而揭示冷却塔倒塌模式和破坏机制。总结以下结论:
5)龙卷风作用下的冷却塔结构破坏是由于材料强度损失而非弹性屈曲失稳,通常缘于塔壳内侧子午向钢筋受拉破坏引发;结构破坏数值模拟比BSS方法和分叉屈曲分析更加合理,可以综合考虑材料非线性和裂缝发展对结构破坏行为的影响。
文章来源:同济风工程
工程师必备
- 项目客服
- 培训客服
- 平台客服
TOP




















