学术分享 | 用于定量分析的外圈故障滚动轴承的振动响应机理
2023年6月28日 16:06论文标题:
Vibration response mechanism of faulty outer race rolling element bearings for quantitative analysis
论文作者:
Lingli Cui a, Yu Zhang a, Feibin Zhang b,*, Jianyu Zhang a, Seungchil Lee c
作者单位:
a. Beijing University of Technology
b. Engineering College of Jiangxi Agricultural University
c. Ulsan National Institute of Science and Technology
发表期刊:
Journal of Sound and Vibration
见刊时间:
2016.3.3
论文DOI:
10.1016/j.jsv.2015.10.015
+ + + + +
✦ +
+
1 文章摘要
为了对滚动轴承进行定量的故障诊断,本文建立了一个用于滚动轴承故障严重程度评估的非线性振动模型。在动态模型中引入了外圈缺陷尺寸参数,并模拟了不同故障尺寸下滚动轴承的振动响应信号。对这些信号进行了定量分析,以观察振动响应与故障尺寸之间的关系。从振动响应信号中确定了滚动体滚动到缺陷上和离开缺陷时的冲击点。接下来,从两个冲击点之间的时间间隔得到反映滚动体轴承故障严重程度的冲击特性。当轴承故障的宽度较小时,信号呈现为清晰的单一冲击。随着缺陷大小的增加,信号逐渐变成双重冲击。在不同的外圈故障尺寸下,测量了一个滚动轴承试验台的振动信号。实验结果与模拟结果十分一致,可以看出该结果对于理解不同故障严重程度滚动轴承的振动响应机理是有效的。
✦ +
+
2 主要工作与贡献
1、 分析了滚动体进入轴承外圈缺陷和离开轴承外圈缺陷造成的冲击成分,构造了外圈故障滚动轴承的振动响应。
2、 讨论了轴承故障尺寸对振动响应的影响,描述了滚动轴承外圈故障出现的双冲击现象,研究了缺陷尺寸变化与双冲击成分之间时间间隔的变化规律。
3、 通过对实验信号的分析,验证了所提振动响应机理对于滚动轴承定量分析的有效性。
✦ +
+
3 方法流程
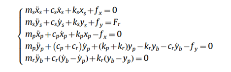
1、 普通滚动轴承的动力学模型
该模型是基于以下假设建立的:
(1)采用集中质量法,忽略转动惯量和轴承滚道表面波纹度的影响;
(2)假设除了局部误差之外,在运动接触面上不存在其他几何误差,滚动体与滚道之间的弹性接触满足赫兹理论;
(3)所有的阻尼都是线性的。
图1 滚动轴承的动力学模型
基于运动学和动力学的相关知识,列出动力学微分方程如下:
2、具有局部外圈故障的滚动轴承模型
在正常的滚动元件轴承系统中,内圈与旋转轴固定在一起并与其一起旋转,而外圈通常固定在轴承座上,滚珠在滚道上进行纯滚动运动。在滚动轴承运行期间,滚道根据径向载荷的范围被分成轴承区和非轴承区。进入轴承区的滚珠变形,产生不同的弹性振动。
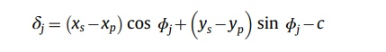
第j个滚动体的总变形是内圈和外圈之间相对位移的函数,第j个滚动体的角位置和轴承间隙c,由以下等式表示:
只有当球位于轴承区时,球才会变形,从而产生接触力。因此,引入一个开关函数γj如下:
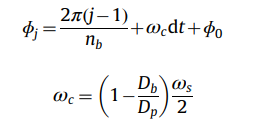
第j个滚动体的角位置ɸj是一个关于周期dt、轴承保持架初始角位置ɸ0和轴承保持架角速度ωc的函数。ɸj和ωc定义如下:
根据赫兹接触理论,第j个滚珠和滚道之间的接触力由下式给出:
根据上述等式,轴承在x和y方向上的总非线性接触力分别为:
图2为外圈故障的模型及其几何关系。
图2 外圈的缺陷描述
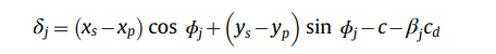
当球移过局部缺陷的位置时,球释放变形。此时,从第j个滚动元件进入故障位置的变形表示为:
✦ +
+
4 仿真及分析
滚动轴承6307被用于当前模拟。轴承参数和故障参数见表1。对于每次模拟,外圈故障的宽度L设置为0.5毫米、2毫米、3.5毫米和5毫米。当球滚过缺陷时的四个响应信号如图3所示。
表1 用于滚动轴承6307的几何和物理参数
图3 不同缺陷尺寸下的模拟响应信号: (a) L=0.5 mm; (b) L=2 mm; (c) L=3.5 mm; (d) L=5mm.
在观察和比较了图3中的每个响应信号之后,可以观察到,当球滚过缺陷时,触发了一系列的步进冲击。当缺陷较小时,冲击表现为单次冲击的一系列振荡衰减,固定周期为To=0.01325 s (fo=75.45 Hz),这与外圈故障特征周期的理论值一致。随着缺陷尺寸的增加,出现双台阶冲击现象。两次阶跃冲击之间的时间间隔随着缺陷尺寸的增加而增加。两次相邻撞击之间的时间间隔仍然是外圈缺陷的特征周期。
如图4所示,选择并放大图3中每组响应信号的第二冲击。去分析缺陷宽度的影响,冲击曲线上的第一和第二台阶点分别标为A和B。第一个最大值点标记为C。点A出现在x= 0.013257 s。第六个滚动体开始接触缺陷的时间可以通过模拟期间内圈的初始位置和旋转速度来计算。
图4 不同缺陷尺寸下的放大单一响应: (a) L=0.5 mm; (b) L=2 mm; (c) L=3.5 mm; (d) L=5mm.
相对于A点横坐标值的误差为0.023%。因此,当球滚入缺陷区域时,可以确定点A是临界点。
在滚动轴承旋转过程中,滚珠与保持架一起绕轴旋转。因此,当球滚过缺陷时的角速度等于保持架的角速度ωc。因此,球滚入和滚出缺陷的时刻之间的经过时间可以表示如下:
不同缺陷宽度下的响应信号中AB段和BC段之间的时间间隔以及球滚过缺陷所需的时间列于表2。
从表2的数据可以看出,AB段的计算结果与公式计算结果一致;误差小于0.3%。然而,当将从BC段计算的结果与该公式进行比较时,发现误差太大,结果明显不准确。可以验证B是球滚出缺陷的临界点。
表2 AB和BC与理论结果的比较
当L=0.5 mm时,阶跃冲击信号被局部放大,如图5所示。可以观察到冲击信号的最大值点不是在B而是在C,C位于B的右侧,结合系统的动力学方程和故障模型可以分析其原因。当断层宽度较小时,滚珠刚好滚到缺陷区域,轴承上非线性接触力的阶跃减小。系统的振动加速度信号触发向下的台阶冲击(从A点开始)。当滚珠刚刚滚离缺陷时,轴承上的非线性接触力的阶跃增加。向上的台阶冲击(从B点开始)被触发。由于缺陷宽度较小,B点位于台阶冲击第一个衰减信号的第一个上升阶段。这两个步骤在相同的振动方向上影响增益和重叠。接下来,加速度幅度继续增加,直到达到峰值点C。
图5 小故障尺寸下的单脉冲.
图6 故障尺寸下的双脉冲.
当L=5mm时,阶跃冲击信号被局部放大,如图6所示。阶跃点A和B之间的时间间隔很大。换句话说,当球滚出缺陷区域触发阶跃冲击时,球滚进缺陷区域时产生的冲击已经被严重衰减了。因此,信号显示出典型的双冲击的显著振荡衰减。在也就是说,通常选择图6中CB部分的时间间隔来分析和确定故障的大小。然而,根据表2,使用AB段结果比使用CB段结果更精确。从表1的误差分析也可以看出,以A为起点的结果比以C为起点的结果更准确。
总之,当球滚入和滚出缺陷时,将触发阶跃冲击,但是冲击的方向不同。当缺陷较小时,第一次冲击的衰减淹没在第二次冲击的衰减中;该信号类似于单一冲击。当缺陷较大时,第一次冲击和第二次冲击之间的时间间隔较长。第一个没有被淹没,信号显示双重撞击。
✦ +
+
5 实验验证
为了更有效地验证故障外圈滚动轴承仿真模型的准确性,使用6307轴承故障试验台在实验室获得实验数据。轴承试验台(图7)有一个三相异步电动机①,它通过一个弹性联轴器②与装有转子④的主轴相连。主轴是由两个6307轴承支撑;③是正常轴承;⑤是不同单点点蚀故障的轴承。电机转速1500转/分,轴承较大直径D=80 mm,轴承较小直径d=5 mm,滚动体个数Z=8,接触角是0。
图7 轴承试验台
轴承故障的宽度分别设定为0.5毫米、2毫米、3.5毫米和5毫米。实验系统由轴承实验台、HG3528A加速度传感器数据采集器和笔记本电脑组成。进行了实验并采集了振动信号。在该系统中,采样频率为15,360 Hz,采样点数为8192。实验信号如图8所示。
由于噪声,周期性和冲击特性不如模拟信号那样显著。时域振动信号中的故障周期很难被发现,尤其是当故障尺寸较小时。
如图8所示,时域信号放大后,在5 mm缺陷振动信号中可以观察到清晰的双重冲击现象。可以观察到,这些特征类似于图4(d)中5mm宽缺陷的模拟信号。第一步撞击对应于滚动体在故障位置点上,第二步撞击对应于滚动体离开故障位置时的临界点。当故障较小时,由于噪声,很难获得相似的特征。
从图9中可以观察到,当轴承故障的宽度较小时,信号表现为清晰的单一冲击。当缺陷宽度较大时,可以观察到明显的双重撞击现象。根据所介绍的方法对信号进行定量诊断,并将它们与仿真结果进行比较,如表3所示。从表中可以看出,实验信号和模拟信号之间的误差在可接受的范围内。从而验证了轴承定量机理分析和定量故障诊断方法的准确性。
图8 不同缺陷尺寸下的实验振动信号:(a) L=0.5 mm; (b) L=2 mm; (c) L=3.5 mm; (d) L=5mm.
图9 不同缺陷尺寸下放大的实验振动信号:(a) L=0.5 mm; (b) L=2 mm; (c) L=3.5 mm; (d) L=5mm.
表3 模拟结果与实验结果的比较
✦+
+
6 结论
通过一个非线性滚动轴承振动模型,模拟不同外圈故障严重程度下的滚动轴承振动响应信号,分析振动信号特征与故障大小之间的关系。本文的分析为滚动轴承故障的定量诊断提供了理论依据。得到的结论如下:
理论分析和仿真结果表明,当球进入或离开缺陷区时,将分别激发跃阶冲击。外圈故障滚动轴承的振动响应是一系列冲击信号。当轴承故障的宽度较小时,信号呈现为清晰的单一冲击。随着缺陷尺寸的增加,信号逐渐变成双重冲击,但是在相同方向上的双重冲击的峰值之间的时间间隔不等于球在缺陷上滚动经过的时间,因为两次冲击的开始方向相反。
在对实验数据的分析中,我们发现大规模故障冲击信号的能量要大得多,并且可以不受实验室噪声的影响。因此,它可以用于根据直接来自原始实验信号的双重冲击的时间间隔来诊断缺陷的大小。当缺陷宽度较小时,产生的冲击信号能量严重降低,很难通过原始实验信号提取定量信息。提取早期故障定量特征的有效去噪算法和诊断方法值得进一步研究。
+ + + + + + + + + + +
7 阅读心得
滚动轴承作为机械设备中广泛使用的通用部件,直接影响到整个设备的动态性能、运行精度、可靠性和使用寿命。因此,有必要对滚动轴承的故障进行诊断和检测,以防止早期失效。滚动轴承的故障发展通常是一个动态过程,故障程度从低水平逐渐增加。早期损伤检测不仅对于高精度机器而且对于一般工程设备都是需要的,因为小的故障经常会导致大的故障或灾难性的结果。但是,当故障达到一定程度时,应该更换滚动元件轴承。因此,通过对滚动轴承故障程度的定量诊断,可以延长机械设备的使用寿命,降低生产成本,具有十分重要的理论意义和实际工程应用价值。
+ + + + +
文章来源:苏大轨道交流学院研会
工程师必备
- 项目客服
- 培训客服
- 平台客服
TOP




















