飞行器尾舵纯模态试验
PART.1
引言
伴随科学技术的发展,临近空间成为了现代战争中一块新的战场,是海、陆、空、天、电、网多维一体化战场的重要组成部分,也是国家安全体系中不可或缺的一环。由于其独特的环境和地理优势,加之临近空间飞行器的应用,使得临近空间在未来空-天联合作战中扮演至关重要的角色。
有别于常规的飞机和航天器,临近空间飞行器具有其自身的显著特点及难点。在临近空间区域,尽管大气浓度已相对较低,但仍有一部分气动升力和大气层中的氧可供使用, 且长时间飞行空气阻力尚不能完全忽略不计,因此,难以完全实现离心力平衡重力的轨道力学原理飞行。考虑到以上问题,工程师在设计之初就为其增加了操纵尾舵,以保证飞行器能够保持高升阻比以及较好的稳定控制能力。
图1 不同飞行器的尾舵
尾舵一般由舵机、舵轴和舵面三部分构成,在系统工作时,舵机根据所接收到的指令驱动舵面旋转到指定的工作位置,从而实现对飞行器飞行姿态、方向的有效控制,增强飞行器的稳定性,改善飞行器的操纵性能。尾舵的工作动力学特性不仅关系到飞行状态质量与制导精度,还直接影响飞行器的可靠性及安全性。
图2 尾舵装配示意图
随着设计水平的不断提高,飞行器的飞行速度也愈加快速,其气动弹性问题也日益突出。在不同的飞行状态下,尾舵会受到不同的激励,产生不同的振动模态,导致尾舵产生不同形式、程度的形变,进而影响尾舵的工作特性及稳定性。在飞行控制中,尾舵控制系统的颤振问题是一个备受关注、亟待解决的问题。因此,尾舵系统颤振分析是飞控设计的重要一环,而颤振的发生与尾舵系统振动特性密切相关,由此可以得知,尾舵系统模态参数是尾舵控制系统中的一个重要指标。藉由分析结果,工程师可以确定尾舵系统的设计参数是否合理,并对其进行优化,保证飞行器在不同的飞行状态下的稳定性和可靠性。
PART.2
什么是颤振
随着飞行技术的发展,气动弹性问题已经成为现代飞行器设计中首要考虑的问题之一。在众多的气动弹性问题中,颤振是一个十分突出的问题。颤振是指在气流中运动的结构,在空气动力、惯性力和弹性恢复力的相互作用下而产生的一种自激振动。当结构的飞行速度低于颤振速度时,振动是衰减的;等于颤振速度时,保持等幅振动;大于颤振速度时,振动系统从气流中吸取的能量大于结构阻尼力引起的能量耗损,会发生动力响应耦合、气动弹性耦合,结构会由于振幅不断扩大而迅速破坏,从而诱发颤振。
颤振发生时,副翼或舵面会有很大的偏转,机翼或机身发生振动,振幅很大,频率很高,极易发生危险。为避免由于颤振导致的飞行事故,颤振分析是飞行器结构设计中必须考虑的问题。
进行颤振分析时,需要通过模态测试分析精确获得尾舵结构在颤振中起重要作用的频率范围内的每一阶固有频率、结构阻尼和振型等参数。
PART.3
模态测试试验分析
尾舵系统的模态参数是有限元模型修改、颤振特性分析及气动伺服弹性分析的依据,如何获得准确有效的模态参数,提高试验效率和精度,是飞行器尾舵颤振分析中的关键问题。
图3 尾舵有限元模型某阶模态振型
模态分析试验的种类
数值模态分析:有限元仿真,提高产品研发效率,但是往往需要试验模态分析验证结果和修正模型。
试验模态分析:用试验的方法直接获取结构的模态参数,真实的材料属性、边界条件,是模态参数准确性的衡量标准。
运行模态分析:相较于试验模态分析,往往应用于不容易激励的大型结构,如桥梁、大楼等。
尾舵系统的复杂性
系统建模复杂:由舵面、传动轴、舵机等多个部件组成,其边界条件复杂,而各部件间连接关系复杂,刚度分布和质量分布无法精确分配,难以进行精确的动力学仿真分析。
阻尼特性:尾舵系统的阻尼特性相当复杂,迄今尚未建立起一种完备而有效的阻尼模型能确切地反映实际结构的阻尼特性。
非线性严重:尾舵转动机构中必定会存在一定间隙,而且在尾舵旋转过程中必定会存在舵轴与其轴承之间相对旋转面之间的摩擦,间隙和摩擦是尾舵运动系统中两个典型的非线性因素。
尾舵的模态试验是通过振动响应获得尾舵结构的动态特性参数,主要包括固有频率、振型和阻尼。基于尾舵系统的自身特点及其结构的复杂性,经过多次比较、综合考虑,工程师决定通过试验模态测试的方法来确定其模态参数,同时,针对尾舵的非线性特性,采用渐进加载法来克服由非线性特性产生的影响,通过增加激振力的方式来绘制出激振力-频率曲线,将大激振力下模态指示函数较高并且稳定的频率、振型作为其固有振动特性,并将其应用于颤振分析中。
舵面的实际工作状态的工况载荷主要为:弯矩和扭矩,在试验过程中通过在舵面的不同位置施加预紧力,模拟飞行过程中受到的弯矩或扭矩。
图4 通过在舵面的不同位置施加预紧力,模拟飞行过程中受到的弯矩或扭矩
图5 一阶扭转振型
图6 一阶弯曲振型
尾舵的一阶扭转和一阶弯曲模态容易激发,而尾舵系统的颤振分析影响最大的为尾舵系统的一、二阶频率,即对应的舵面一阶扭转和一阶弯曲模态。
模态试验方法的选择
锤击法
由于减速、传动机构的间隙,舵系统是典型的非线性系统。力锤激励的信号是脉冲信号,不能通过平均的方法减轻非线性,且人为因素较大(力不可控),测试结果误差很大。如图7所示,经过多次平均后,仍无法从频率响应函数中识别出关心的低阶模态。
图7 FRF与相干分析
激振器法
相较于锤击法,虽然激励的能量可控制,由于尾舵结构的间隙、摩擦等非线性因素较强的影响,往往会识别出虚假模态,且无法绘制力-频曲线,无法为颤振计算提供可靠的数据结果。从图8中可以发现,几乎相同的振型,对应不同的模态频率,且频率之间相差较大,无法为颤振提供可靠的数据支撑。
图8 不同频率下几乎完全相同的模态振型
纯模态试验
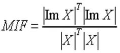
当结构受到外部正弦激励并按照某阶固有频率振动时,此时结构的惯性力与弹性力平衡,激振力与结构的阻尼力平衡,且响应的实部趋于零,结构呈现单一模态的相位特征。因此,通过反复调节激振力与频率,使结构上各个测点加速度响应与激励相位差为90°,即相位共振,即可得到结构在某一固有频率下的振型。为更好指示和识别模态,将所有响应相位归纳为一个总体目标函数,即MIF函数,并称此标量为模态指示函数,数学表达式如下:
其中X为测点加速度响应,ImX表示为测量点加速度响应的虚部,当结构呈共振状态时,此时所有响应点的实部趋于零,虚部呈极大值。即当MIF→1 时,认为结构呈现单一的“固有频率模态”,即纯模态。
在纯模态调谐时,通过调节频率的变化,使得MIF值达到0.8以上,测得尾舵系统的模态频率和振型,并改变激振力的幅值,测得模态频率、结构振动幅值和激振力幅值的曲线,进行最终的模态参数确认。
图9 纯模态调谐绘制的力-频曲线(一阶弯曲模态)
在对尾舵系统进行分析时,可使用汉航Hunter MF12硬件以及NTS.LAB软件进行纯模态测试分析,获得其准确动力学特性。
图10 试验流程图
使用汉航NTS.LAB纯模态测试分析软件研究尾舵结构在一定预紧力下,通过增加激振力,模态参数变化的变化规律,为进行非线性尾舵结构振动模态参数识别提供了试验数据。此基础上获取不同激振力对应的不同工况的约束,输入至有限元模型进行仿真计算得到模态参数,并与试验模态结果进行比较,指导、修正各种工况对应的有限元模型,确保有限元模型具有一定的合理性和准确性,可进而为进一步优化设计、制造提供依据。
PART.4
结论
飞行器在飞行过程中,可能会受到多重极端的气动加热效应,引起飞行器结构的热物理参数和力学性能的变化,造成结构弯曲、扭转刚度的衰减,以及颤振安全边界的降低,严重威胁着飞行器结构的安全性及可靠性。因此,准确、可靠地获取飞行器尾舵系统的动态特性参数对工程师进行颤振特性分析及气动伺服弹性分析来说,具有重要的工程意义。
依托汉航丰富的工程实践经验及坚实的理论基础,使用汉航Hunter MF系列高精度数据采集硬件,结合NTS.LAB模态测试软件,对尾舵系统进行纯模态试验,可以帮助工程师快速、高效地评估尾舵系统在不同工况和飞行条件下的稳定性和可靠性,最大程度地降低时间成本和经济成本。通过分析尾舵系统的振动模态和频率响应,可以确定系统的频率、阻尼特性和模态耦合情况,从而评估系统是否满足设计要求,并对系统的参数进行调整和优化,确保飞行器在各种飞行动作下的稳定性和操控性。
点击下方蓝色字体“阅读原文”,了解更多信息。
工程师必备
- 项目客服
- 培训客服
- 平台客服
TOP




















