基于射出机的聚合物流变参数在线测试技术
2023年7月7日 16:57■北京化工大学 / 谢鹏程 教授
前言
聚合物的流变特性参数,可以用来判断材料及配方体系选择的正确性,确定合理的加工工艺条件,还可以指导射出机设备的参数设计,从而提高产品质量。因此,获得聚合物流变参数的准确数据,对于射出过程实际成型和CAE 模拟都具有十分重要的意义。目前实验室已经具有多种流变测试仪,但是基于射出装备的流变在线测试研究很少,也没有成熟的在线设备。为此,本文基于射出机提出了聚合物流变参数在线测试系统,包括测试装置和测量系统等;然后利用此系统对典型聚合物的流变特性进行了在线测试,并用黏度模型拟合了聚合物的黏度曲线;最后对本在线测试技术进行了总结。
装置
开发了一种(首图)所示的特殊测试装置,用于在线测量聚合物的流变性能。移去喷嘴后,将该装置组装到射出机中,以在正常加工条件下测量流变量据。
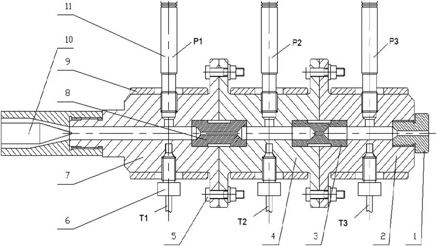
图1:聚合物流变参数在线测试装置示意图(1:塞盖、2:后机体、3:短毛细管、4:中机体、5:螺栓连接组件、6:热电偶、7:前机体、8:长毛细管、9:加热圈、10:螺杆、11:压力传感器)
装置结构如图1 所示,本在线流变测试装置主要包括毛细管、压力传感器、热电偶以及机体和塞盖等,其结构不同之处在于本流变测试装置的测试物料是由射出机的塑化系统预塑化和射出的,并且物料连续通过两个串联的毛细管,这种结构实现了物料在射出工况下的流变性能测试,而且严格保证了Bagley 校正所要求的在同一流体速率下选择不同长度的毛细管。测试时把射出机塑化好的聚合物熔体注入到加热好的流变仪中,待流变仪中充满熔体后,利用射出机的射出动作使高聚物熔体在毛细管中流动,同时对压力、温度和射出速度信号进行采集,传送到计算机中进行处理,由计算机屏幕直接显示高聚物流动曲线和流变曲线及其方程式,从而实现对高聚物流变性能参数的测量。压力传感器型号选用的是PT124B-121T-160MPa-M14传感器(上海朝辉压力仪器有限公司);热电偶选用的是普通K 型镍铬—镍硅材料热电偶,精度为1℃;数据采集卡来自美国NI 公司,其Labview 数据采集系统程序为自行编制;射出机为Allrounder 270s 500-60(德国Arburg 公司)。
为了消除入口效应对聚合物黏度测量的影响,本流变仪采用公认的Bagley 校正。在一定的流体速率下选择不同长度的毛细管,测量入口压力降,并画出压力降与长径比的关系图。研究发现入口压力降与长径比的关系是线性的,但不是成正比的,可以使用截距法对剪切应力进行校正。由于其呈线性关系,故只需两毛细管串联就能实现校正。
其中:T为毛细管壁面上剪切应力,单位为Pa;L1为长毛细管8 的有效长度,单位为m;R1为长毛细8 的半径,单位为m;△P1为长毛细管8 的压力降,其值等于 ; P1-P2;e为压力降与长径比关系图的截距,当采用两根等直径的毛细管时,
式中P1、P2和P3分别为图1 三点处的压力,L1和L2 分别为长毛细管8 和短毛细管3 的有效长度。
图1:聚合物流变参数在线测试装置示意图(1:塞盖、2:后机体、3:短毛细管、4:中机体、5:螺栓连接组件、6:热电偶、7:前机体、8:长毛细管、9:加热圈、10:螺杆、11:压力传感器)
牛顿流体毛细管壁面上的剪切速率为:
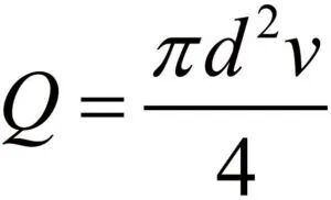
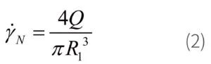
其中:YN为牛顿流体毛细管壁面上的剪切速率,单位为S-1 ;Q 为体积流量,单位为m3/s ,
式中,d为射出机螺杆直径(单位为 ),V为射出速率(单位为m3/s),其余符号含义同式(1)。
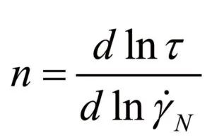
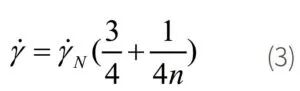
考虑到非牛顿的影响,一般使用拉宾诺维奇方程式,即壁面上非牛顿流体的剪切速率为:
其中:n为流动指数,
故测试聚合物的剪切黏度为:
其中:n为剪切黏度,单位Pa*s;y为毛细管壁面上剪切速率;T为毛细管壁面上剪切应力。
测试实验
测试材料选用通用聚合物聚丙烯,牌号为K8303,密度0.9g/cm3,生产厂家为中国石油化工股份有限公司北京燕山分公司。
利用研发的流变参数在线测试装置,对聚丙烯(PP)的流变性能进行了测试,并用黏度模型拟合出了黏度曲线。
测试熔体黏度的实验基本程序
(1) 将测试装置安装在射出机中,并通过扩展的射出机控制系统,热电偶和加热环调节模具温度。
(2) 将塑料材料放入射出机中,并将熔体保持在适合于加工的恒定定温度下。
(3) 设定用于射出成型的加工参数,并在手动操作模式下以恒定定的射出速度将熔体射出到测试装置中,同时记录温度和压力数据。
(4) 在相同的测试温度下以不同的恒定定速度注入熔体,并记录相应的数据。
(5) 在不同温度下重复上述操作。
(6) 通过计算器处理数据以获得黏度曲线。
测试结果数据分析
利用Arburg 射出机,将其喷嘴卸下,安装上自行设计的测试装置,其中测试装置的熔体温度由射出机的模温控制系统扩展端口过程控制,三点的压力数据经采集卡送入自行编制的labview 程序。对PP 进行测试,然后利用公式(1) 和(2) 计算出剪切应力和剪切速率,在运用统计软件spss 计算出流动指数n,最后利用公式(3) 和(4) 计算出聚合物的剪切黏度。图2 为PP 的黏度数据。
图2:PP 流变量据(不同温度和不同剪切速率下的黏度数据)散点
测试结果Cross-WLF 黏度模型拟合
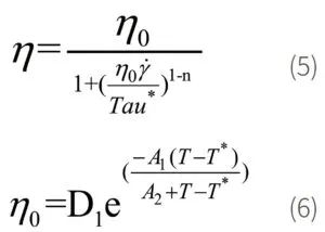
聚合物的流变特性可通过Cross-WLF 黏度模型描述:
其中,n是在温度为T、剪切速率y为下的剪切黏度,n0为剪切速率为0 时的剪切黏度。Tau*是与材料的松弛时间有关的参数, D1与玻璃化转变温度Tg相关A1和A2与材料的热膨胀系数有关。T*=D2+D3P,A2=A2~+D3P,P为压力。该黏度模型中, 七个未知参数为:D1D2D3A1A2~Tau*n。利用CAE 仿真仿真软件将七个参数与温度 ,剪切黏度和剪切速率的数据输入拟合,结果如表1和图3 所示。
图表1:Cross-WLF 黏度模型的流变参数
图3:PP(在线)流变曲线
作为对上述一般实验程序的验证,以另一种商品名为Propathene GWE 23,密度为0.92889g/cm3 的PP 进行了流变测试,该聚丙烯来自英国制造商Ineos。
图4:PP(CAE 仿真仿真软件)流变曲线
表1 和图4 显示了使用不同测试方法对同一系列材料的测试结果。与在线测量相比,流变曲线的趋势是一致的,这可以证明新的在线测量是可行的,尽管材料是由不同公司制造的。
结论
本文提供一种基于射出机的典型聚合物流变性能在线测试的技术,它适用于各种高分子聚合物。利用Cross-WLF 黏度模型拟合实验数据,可以得到材料不同温度和剪切速率下的剪切黏度。和传统流变测试技术相比,基于射出装备的聚合物流变参数在线测试极富潜力。本文的流变参数在线测试方法与传统的在线技术和脱机测量技术相比,具有以下特点:
(1) 聚合物的塑化直接利用实际加工的射出机的塑化系统,能够真实反映射出成型工艺下材料的热历程和受力历程;
(2) 测试时充分利用了射出机的模具温度控制扩展端口控制流变仪的温度,并且能够直接在射出机控制面板上设置工艺参数,操作方便;
(3) 测试时物料连续通过两个等直径不同长径比的毛细管,可以严格保证Bagley 校正的要求,即物料在相同的流体速率下选择不同长度的毛细管进行测试;
(4) 测试装置设计、制造和测试流程简单易行,操作方便。通过此项技术可以建立新的聚合物流变量据库,以帮助进一步开发商业塑料加工软件包。这些流变量据可以帮助塑料行业更好地预测和了解其产品的加工行为,并优化射出参数。■
更多技术内容请扫码观看
欢迎关注型创科技_ACMT技术课堂
未经同意,请勿转载
相关文章:
工程师必备
- 项目客服
- 培训客服
- 平台客服
TOP




















