特斯拉阀协同毛细微栅栏结构热沉
2023年7月18日 10:53
背景介绍
微通道流动沸腾传热是一种较为理想的气液两相散热技术,具有散热效率高、均温性好等独特优势,在100W/cm2以上量级高热流密度功耗元器件冷却散热领域具有广阔的应用前景。但是,微通道流动沸腾在实际应用中长期存在着两相逆流不稳定性和流型混沌无序等瓶颈问题,严重影响其散热能力和工作稳定性。因此,如何抑制两相逆流不稳定性、形成定向有序的高效传热流型,已成为微通道流动沸腾传热强化的前沿热点问题。
02
成果掠影
东南大学陈永平教授、李文明教授与香港理工王钻开教授研究团队受到“流体二极管”—特斯拉阀的启发,原创性地开发了一种新型微通道流动沸腾散热热沉。该热沉通道采用周期性特斯拉阀结构流道充分抑制气液两相逆流,同时配合侧壁毛细微栅栏结构诱导形成稳定持久的侧壁面薄液膜,实现了气液两相工质的定向有序流动和稳定高效的薄液膜蒸发传热,显著提升了微通道流动沸腾的稳定性和传热性能。相较传统光滑平直微通道热沉,该型热沉在总流量为0.36kg/h条件下的流动沸腾换热系数和散热热流密度分别提高了6倍和5倍,可达175 kW/cm2K和830 W/cm2。同时,研究还探明了该型热沉换热性能的跃升现象,并发现通道出口蒸汽干度0.25是其沸腾换热性能跃升的阈值。这项工作为开发更为高效稳定的微通道气液两相散热冷却技术提供了崭新思路。研究成果以“Tesla valves and capillary structures-activated thermal regulator”为题发表于《Nature Communications》。
如图1所示,采用深反应离子刻蚀方法加工了特斯拉微通道协同毛细栅栏结构,与耐热玻璃阳极键合形成热沉。该热沉的长度为10mm,每个通道包括18个周期性串联的特斯拉单元结构。侧壁加工了超亲水性圆柱栅栏毛细结构,毛细压力可达到19.2 kPa,显著强化了液态工质的全域供应和通道壁面的局部再润湿能力。
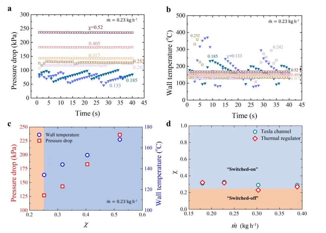
为了阐述特斯拉阀和侧壁毛细栅栏结构的强化机理,研究团队首先实验测量了单相流动下正向、反向压降和流动二极管特性(正向与反向压降比值)。如图2所示,单相流动二极管特性随着雷诺数(Re)增加而增加。均匀分布在主通道内的特斯拉结构逐级放大了其对蒸汽回流的抑制作用,进而诱导工质定向有序地流动。
图2 特斯拉微通道协同毛细微栅栏结构调节两相流动
图3 高换热性能热沉的启动条件
此外,团队还研究了该型热沉在正向流动下的流动沸腾传热性能,探明了该型热沉换热性能的跃升现象,并发现通道出口蒸汽干度0.25是其沸腾换热性能跃升的阈值(图3d所示)。当新型热沉为“关闭”状态(χ<0.25)时,压降和壁温在短时间内出现周期性波动,这是由于持续的蒸汽回流阻碍了液体进入,导致压降和壁面温度的波动幅值增大。当新型热沉呈现“打开”状态(χ>0.25)时,呈现典型的稳定两相流特征,壁面温度和压降的振幅明显减小。此时壁面过热度下降,即使在高热流密度下,壁面的过热度也能保持相对低值。另外,流动沸腾的整体HTC曲线呈现出独特的平方根形。
相较于传统微通道热沉难以控制壁温,该新型热沉首次实现了流动沸腾性能的可切换性,如图4a所示。
研究进一步发现该型热沉可以根据沸腾条件切换工作状态,实现换热系数和临界热流密度的巨大提升。如图4显示,相较于传统光滑平直微通道热沉,该型热沉在总流量为0.36 kg/h条件下的流动沸腾换热系数和散热热流密度分别提高了6倍和5倍,可达175 kW/m2K和830 W/cm2。另外在总流量为0.18 kg/h时,出口蒸汽干度达到了0.8,表明了该型热沉的高热传输效率。需要注意的是该型热沉换热系数和临界热流密度的增强是在不牺牲两相压降情况下实现的。最后,图5显示了并行微通道流动沸腾换热的基准图,展示了新型热沉的高效换热性能。
图5 并行微通道中流动沸腾性能的基准图
END
工程师必备
- 项目客服
- 培训客服
- 平台客服
TOP




















