尾流是影响风电场设计,运行控制和电缆布置的重要因素,经过和梁工的交流,我发现之前对垂直轴风力机的尾流的文献阅读比较少,而这是风力涡轮机的一个特重要的参数。原文可点击原文链接(文章为开源)。
文章原题:W
ind-Tur
bine and Wind-Farm Flows: A Rev
ie
w,英国杜伦大学

随着水平轴风力机的发展,以及空气动力学的进步,现代的水平轴风力机实现了约0.5的功率系数,非常接近贝茨极限(0.593),但对实际的风力机以及风场的性能预测仍然是一个比较复杂的事,这是由于风力涡轮机与大气边界层(atmospheric boundary layer)之间的复杂相互作用。
本文总结了影响风能的四个不同尺度,从翼形尺度到宏观尺度。如图1,

近年来,研究人员主要通过以下四种方法分析湍流,大气边界层与风力涡轮机以及风场的相互作用:分析模型(analytical modelling),计算机流体动力学(CFD),风洞实验(wind tunnel experients),现场实验(field experiments)。
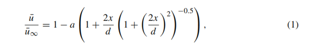
风力发电机对流场的影响包括上游(也称为感应区域)和下游(即涡轮机前方,及涡轮机后方),且对上游的影响主要是降低风速,
x代表流向方向,风轮处为0,逆风方向为负,d为转子直径,a表示转子感应系数。
涡轮机的下游区域,也就是尾流,通常分为两个区域,分别为:1近尾流(长度为2~4个转子直径)2远尾流,如图2,
近尾迹区域会受到叶片,叶片形状,轮毂,机舱形状的影响,所以流场非常复杂,相反,远尾迹区域受风力机的影响较小。
风轮近尾迹区域最重要的特点,是叶尖与叶根脱落的周期性螺旋涡结构,也就是图2中蓝色的圈圈,在文献中已得到广泛证明。图2的时间平均图中,来流风由于地面剪切力的影响成高斯分布,涡轮机之后的平均速度失去了高斯形状,因为涡轮机的存在,尾流分布有了速度缺陷,距离越远,速度缺陷越小。
这些螺旋涡是转子叶片吸力侧与压力侧之间的压力差产生的,它们的脱落频率为旋转频率的3倍(3叶片时)。
图
3中,从涡轮流场可视化的实验中也能清晰看到该螺旋涡的存在,且随着叶尖速比的提高螺旋涡的间距减小。螺旋涡的间距减小加大了螺旋涡之间的互感以及不稳定性,因此在高叶尖速比下,涡的击穿(breakdown)发生得更快。

对近尾流区域的长度,存在不同的模型,其中2015年Sørensen等人提出的模型如下:

与近尾流相比,远尾流区域拥有更大的影响范围,且普遍性更强,因为其受转子的详细特征影响较小。
对于经典的阻流问题,尾流剪切产生的湍流是其恢复的原因,这一结果在层流条件下被实验证明。但是在现实情况下,也就是当环境湍流(ambient turbulence)存在时,尾流的恢复与上述理论有很大偏差,研究结果表明尾流的恢复率,对于较高湍流强度的边界层要更大,也就是说在粗糙边界层中的涡轮机尾流比在光滑边界层中的涡轮机尾流恢复更快,如图4.这个也解释了,海上风电场的容量密度要小于陆上风电场。

尾流沿着其中心线随机非定常振荡即尾流蜿蜒。其随机的振荡会对后面的风机产生巨大的非定常负载。接下来文章介绍了一些尾流蜿蜒的预测模型。
为了减少尾流对下一个风机的影响,需要开发新的有效减缓尾流影响的策略。实现这一目标的一个方法是,主动阻碍单个风力机的性能,换取整个风电场的发电量。具体表现为,风力机的叶片桨距角(blade pitch)、倾斜角(tilt angle)、及偏航角度(yaw angle)的调整。其中偏航角的控制被认为是使尾流原理下一个风机机的有效策略,且最近的研究表明,合适的偏航角控制可以提高整体发电场的发电量。但其伴随的缺点为,需要更多关于解决偏航错位下单风力机的结构载荷的研究。
当偏航角小于10°时,尾迹受偏航角度的影响较小,偏航角度过大时(大于20°),尾流会发生根本变化,及存在反向旋转的涡流对。且尾流除了横向位移外,还具有垂直位移。
一个兆瓦级的垂直轴风力机,转子直径约为50米,转子高度约为100米。Shamsoddin and Porté-Agel(2016)通过计算100多种不同的叶尖速比、叶片弦长(就是组合成不同的实度)参数下的功率系数,模型基于大气层边界,最佳功率系数下的实度与叶尖速比的组合为0.18与4.5,此时的功率系数有0.47。

垂直轴风力机的尾流与水平轴风机不同的一点是,其尾流在平均速度与湍流强度的展向剖面上具有不对称性,图中为双叶片的垂直轴风力机俯视图。最大的流速点的位置在向叶片的迎风一侧移动,也就是叶片速度的流向分量和来流风速具有相同方向的那一侧,在图中右侧为背风侧,左叶片为迎风侧,这是因为在迎风一侧,叶片相对于流场的相对速度更大,因此叶片对流体施加的力就越大。
垂直轴风力机的尾流中,水平湍流强度有两个局部的峰值,一个在迎风侧,一个在背风侧,在大多数的实验中,背风侧的峰值要高于迎风侧的峰值,这主要是由于背风侧的失速的影响。然而在实度更高的研究中却发现了完全相反的结论,这个主要原因是迎风侧在低实度的风轮中,剪切力较高,易产生更高的湍流强度。在垂直轴风力机中,这些不对称性很大程度上取决于风机运行时的叶尖速比值,随着叶尖速比的提高,这些不对称性会减小。在Shamsoddin and Porté-Agel (2016)的研究中,结果显示了相对较小的不对称性,其叶尖速比值为5.2016。
最后,本文在展望中也提到了,研究新的风力机技术,包括不同类型的垂直轴风力机,以及多转子(水平轴风力机与垂直轴风力机)的风电场。这或许是垂直轴风力机的另一条出路:和水平轴风机相互作用。
文章来源:今夜你不必盛装