离散元对加固尾砂在干湿循环作用下的细观力学分析
离散元对加固尾砂在干湿循环作用下的细观力学分析
禹雪阳1,刘邦瑶1,田亚坤1,2,伍玲玲1,2,张志军1,2*
(1.南华大学 资源环境与安全工程学院,湖南 衡阳 421001;2.湖南省矿山岩土工程灾害预测与控制工程技术研究中心,湖南 衡阳 421001)
摘 要:为探究加固尾砂在干湿循环作用影响下力学性能、力链和尾砂颗粒运动的变化,通过对加固尾砂进行三轴试验和离散元颗粒流(PFC2D)模拟试验,分析其力学性能变化趋势,并且探究尾砂颗粒间受力传力和颗粒运动的演变。试验结果表明:加固尾砂峰值应力随着干湿循环次数增加而逐渐递减,但是其峰值应力相较于原状尾砂至少提升2.13倍;在干湿循环作用下,加固尾砂内部力链逐渐加粗,网状粗力链区域增多,且网状粗力链区域发生位置变化;试样破坏碎片数量随循环次数增加而增加,碎片集中区随着循环进行,从试样下部向上部移动;干湿循环造成尾砂颗粒位移情况发生改变,颗粒不同位移区域增加,并在试样上端产生大量不同位移区域,造成试样上端更容易被破坏。
关键词:干湿循环;力学性能;PFC;力链;颗粒位移
0 引 言
因世界各国尾矿库安全问题频发,如2019年巴西布鲁马迪纽溃坝事件,造成了严重的安全事故,给经济带来了不可挽回的损失。为了解尾矿库坝体的特性和治理尾矿库安全问题,世界各国学者在不同种类的土体物理力学性能和微生物土体加固方面展开了大量研究。
微生物加固是土体绿色治理方案,它能有效填充土体孔隙,增强土体力学性能[1]。微生物加固能显著提升土体物理性能和土体强度,并且在短时间内能数倍提升土体抗剪强度[2]。且微生物加固能有效降低土体导水率,从而降低土体累积侵蚀量和侵蚀速度[3]。通过微生物加固技术加固土体,还能有效降低土体开裂甚至修复土体裂缝[4]。但是在自然界中,土体不可避免地受到干湿循环的影响,使土体内部孔隙尺寸和孔隙分布产生很大差异[5],造成土体密度下降、孔隙率增加,且土体内部微裂纹的密度和连通性随湿干循环的增加而增加[6]。最终使得土体内摩擦角、黏聚力等物理性能降低,使得土体力学性能劣化[7-8]。随着技术发展,人们开始采用数值模拟来对土体力学特性演化进行研究[9],通过离散元颗粒流(particle flow code,PFC)来进行剪切试验[10]、拉伸试验[11],并且观测对裂缝发展阶段进行研究[12]。
对此,本文以加固尾砂为研究对象,在三轴试验的基础上开展PFC2D(particle flow code 2 dimensions,PFC2D)试验,通过PFC2D来对加固尾砂各干湿循环阶段力学性能进行模拟,以揭示在各循环次数下,加固尾砂各阶段颗粒间受力变化和位移的演变,为后续模拟监测加固尾砂在干湿循环的劣化情况提供理论依据。
1 试验尾砂与微生物
1.1 尾砂
在湖南省某铅锌矿尾矿坝取得实验所使用尾砂,将尾砂烘干处理,使用2 mm筛网对烘干的尾砂进行初筛,去除大体积杂物,并通过参考《土工试验方法标准》(GB/T 50123—2019)所记录的实验方法,对尾砂进行颗粒筛分分析试验和土工试验。除杂后取200 g尾砂,分别过1、0.5、0.25、0.1、0.075和0.05 mm孔径的标准筛网,得到尾砂颗粒级配。并由此得到其曲率系数、不均匀系数和其他物理参数(如表1所示),由于Cu小于5且Cc小于1,可知该尾砂级配不良。
表1 尾砂物理参数和级配参数
Table 1 Tailings physical parameters and gradation parameters
1.2 微生物和胶结溶液
本试验使用的微生物为巴氏芽孢杆菌(编号ATCC11859),来自于美国细菌菌种保藏中心。它以尿素为原材料,并通过其代谢活性产生大量的高活性脲酶。液体培养基由15 g/L酪蛋白胨、20 g/L尿素、5 g/L大豆蛋白胨、5 g/L氯化钠组成。混合前液体培养基先经过高压灭菌釜121 ℃灭菌20 min。在250 mL锥形瓶中盛放100 mL液体培养基,在无菌操作台内的酒精灯旁进行巴氏芽孢杆菌接种,从种库中取出1 mL巴氏芽孢杆菌用移液枪注入液体培养基,将接种好的培养基放入转速为150 r/min、温度为30 ℃左右的摇床中振荡10 h,经过3~5次传代后,测量菌液D600数值,数值范围为0.8~1.2。胶结液为相同体积的1 mol/L氯化钙溶液与1 mol/L尿素溶液混合而成。
1.3 试样制备及试验方法
将取回的尾砂放置100 ℃烘箱内烘烤36 h,待尾矿砂完全烘干后将砂样压碎,将尾砂过一遍2 mm筛网以过滤尾矿砂中的杂质,并重新调配尾矿砂含水率为初始含水率,将调配好含水率的尾砂置入密封袋密封放置24 h,使水分在尾砂中更均匀地扩散。在实验模具内加入有韧性的内套筒,以保证试样脱模后的完整性。单个试样为直径R=39.1 mm、H=80 mm、重量m=201 g的圆柱形尾砂三轴试样。尾砂试样分三层击实,每层尾砂重量一致,每层之间需进行凿毛处理,并用吹气球对其进行吹扫,使得层与层之间连接更紧密,防止层与层之间出现断裂。并采用渗透法制作加固尾砂,用注射器对原状尾砂进行加固,依次向试样中注入20 mL菌液、40 mL尿素溶液、40 mL氯化钙溶液,每日对尾砂试样进行一次加固,加固周期为14 d。试样分为A、B两组如图1所示,A组为n(0~7)次循环的原状尾砂,B组为n(0~7)次循环的加固尾砂。
图1 原状尾砂与加固尾砂
Fig.1 Undisturbed tailings and reinforced tailings
将制作好的A、B两个尾砂试样组进行吸湿-脱湿试验。将两个对比组尾砂含水率烘干至1%以下,待试样冷却至室温后,将试样置于足量的水中浸泡24 h,使得试样吸水至含水率饱和,待循环完成后将试样烘干至1%以下。采用全自动三轴仪(TKA-TTS-1S)对完成循环的尾砂试样进行剪切试验,通过三轴试验数据得出建模所需参数,建立PFC2D模型。
2 模型建立与分析
2.1 尾砂应力分析
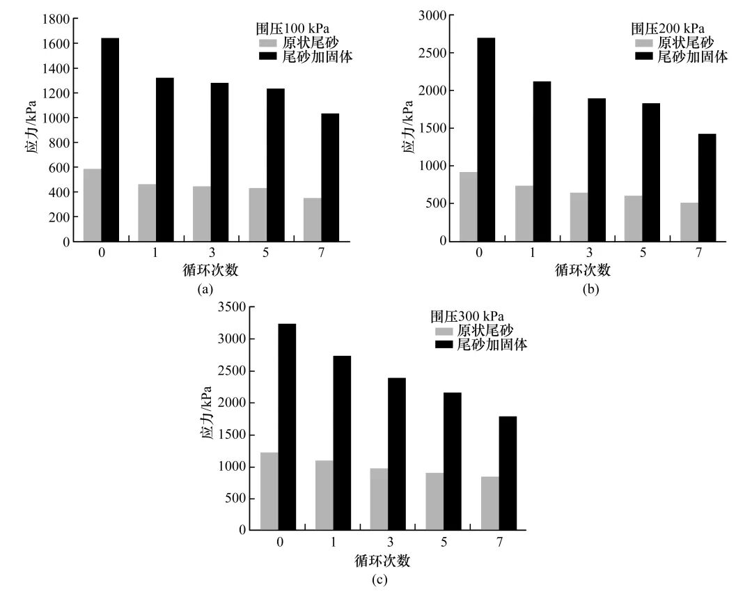
通过三轴试验,得到不同条件下原状尾砂与加固尾砂的峰值应力柱状图(如图2所示)。在干湿循环作用下,加固尾砂峰值应力呈逐渐递减趋势。加固尾砂峰值应力虽然有所降低,但是其峰值应力依旧高于原状尾砂,在100 kPa条件下经历n(0~7)次循环的加固尾砂应力峰值分别提升至原状尾砂的2.80、2.85、2.88、2.87和2.96倍。在200 kPa条件下加固尾砂应力峰值分别提升至2.96、2.89、2.95、3.30和2.80倍。在300 kPa条件下加固尾砂应力峰值分别提升至2.65、2.50、2.45、2.39和2.13倍。加固尾砂峰值应力得到了有效提升,且经历循环后依旧能保持较好的提升效果。
图2 尾砂应力柱状图
Fig.2 Tailings stress histogram
由图2可知,在围压为100、200和300 kPa的条件下,7次循环后加固尾砂峰值应力分别是原状尾砂的1.76、1.56和1.46倍。
通过分析不同干湿循环次数下加固尾砂应力变化,发现相同次数下的加固尾砂与原状尾砂相比,力学性能得到大幅提升,抵抗干湿循环作用能力更强,虽然加固尾砂的应力峰值在干湿循环作用下呈下降趋势,但是在经历7次循环后,其应力峰值依旧高于原状未循环尾砂。
2.2 模拟分析
为了更好地了解干湿循环对加固尾砂微观结构变换影响规律,在简单物理实验基础上,结合离散元软件PFC2D进行分析。根据真实尾砂试样尺寸进行建模,尾砂加固体模型边界尺寸为高 H=80.0 mm、宽B=39.1 mm,软件会根据输入的建模数据建立好模型边界,并根据试样面积、颗粒直径和颗粒级配分布概率,在模型边界均匀的随机生成若干颗粒。在模型颗粒生成之后,赋予模型参数(见表2),施加胶结,生成模型和胶结如图3所示。
图3 尾砂模型
Fig.3 Tailings model
表2 模型建立参数
Table 2 Model establishment parameters
2.2.1 模型误差分析
利用PFC2D调整不同参数,以此对经历了不同循环次数加固尾砂进行三轴剪切试验模拟,并得出各状态下的应力峰值。并通过模拟得出的数据与实际三轴试验数据相比较,以实际试验数据为基准,得出数值模拟与实际试验数据之间的误差,如表3所示。模拟选用围压为100 kPa时的尾砂模型为主要研究对象。
表3 模型峰值应力及误差
Table 3 Model peak stress and error
由表3所得与实际物理实验所比较,其最大误差为-1.21%,而大多数据偏差低于0.50%,数值模拟的峰值应力误差较小。因此可以使用离散元PFC2D进行加固尾砂的三轴剪切模拟试验。
2.2.2 加固尾砂力链分析
如图4(a)所示,加固尾砂未经历循环时,加固尾砂内部力链分布和力链粗细较均匀,仅在破坏面交点有少量粗力链。然而,在加固尾砂经历干湿循环后,加固尾砂颗粒间传力和受力情况发生了改变,颗粒间传力受力变得大,使得力链慢慢加粗,尤其在破坏面交点处,且粗力链产生区域也在增加。随着干湿循环次数的不断增加,加固尾砂内部细力链也开始变粗,内部颗粒受力传力更大而发生劣化破坏,使得粗力链区域不断扩大,并且在破坏面交点处产生网状粗力链,由此说明在加固尾砂破坏面交点处,即网状粗力链区域产生了不利应力集中。如图4所示,粗力链始终存在于加固尾砂破坏面,随着循环进行粗力链不断增多,逐渐遍布破坏面,且网状粗力链随着破坏面的改变而发生移动。
图4 尾砂力链分布
Fig.4 Tailings force chain distribution
2.2.3 加固尾砂破坏分析
如图5(a)可知,加固尾砂在未经历循环时,破坏后的碎片较少,碎片较为完整,碎片分布于右倾裂缝的两侧。当加固尾砂经历干湿循环后,左下角碎片不再完整,而是演化出更多小碎片,并且在右倾裂缝周围也出现了更多的碎片,这时右倾裂缝两侧主要大碎片面积变小,且小碎片开始沿右倾裂缝向上发展。
图5 尾砂破坏模式
Fig.5 Tailings failure mode
由图5(d)和5(e)所示,当干湿循环进行到5~7次时,加固尾砂破坏形貌发生变化,加固尾砂试样上部出现破碎片,而右下部破碎片较为完整,并且干湿循环次数越多,上部破碎片越小越多。加固尾砂试样在干湿循环的影响作用下,颗粒间连接能力减弱,试样上部受力变大,试样上部更容易发生破坏,由于试样整体性变差,最终使得破碎的部位发生了改变。
2.2.4 尾砂颗粒位移分析
加固尾砂在未经历循环时,破坏面两侧颗粒位移方向较为一致如图6(a)所示。
图6 尾砂颗粒位移
Fig.6 Tailings particle displacement
当加固尾砂试样开始经历干湿循环时,尾砂颗粒位移开始出现变化,如图6(b)所示,在试样左下角出现三角形位移区。随着干湿循环次数增加,三角形位移区逐渐向加固尾砂试样右上角移动,最终在加固尾砂试样上部出现了不同方向的三角形位移区,当试样位移区越多越集中时,使得加固尾砂试样更容易在位移集中区过早的形成破坏。
3 结 论
1)以加固尾砂为实验主要对象,通过开展三轴试验,探究加固尾砂在不同干湿循环次数作用下力学性能的变化。加固尾砂的峰值应力相较于原状尾砂有了大幅提升,在100、200和300 kPa条件下,各循环次数下加固尾砂的峰值应力提升至2.80~2.96、2.80~3.30和2.13~2.65倍。且经历7次循环的加固尾砂力学特性,在100、200和300 kPa条件下依旧是原装状未循环尾砂的1.46~1.76倍。
2)通过PFC2D对加固尾砂进行数值模拟实验,模拟数据与实际数据误差在0.50%~1.21%。在干湿循环作用下,加固尾砂试样内部力链发生变化,干湿循环次数越多,力链越粗,粗力链数量越多,并且会在破坏面形成更多网状粗力链区。
3)随着干湿循环次数增加,加固尾砂试样破坏碎片数量和破碎程度逐渐增加,碎片集中位置也由左下角慢慢移动到右上角;尾砂颗粒位移情况也在干湿循环作用下发生变化,三角形位移区逐渐移动到试样上端,在试样上端产生不同方向位移场集中区,加固尾砂试样更容易在位移集中区过早地形成破坏。
参考文献:
[1]王绪民,崔芮,王铖.微生物诱导碳酸钙沉淀胶结加固泥岩试验研究[J].科学技术与工程,2020,20(25):10372-10378.
[2]蚁曼冰,王延宁,刘东,等.基于微生物诱导碳酸钙沉淀技术加固滨海软土的试验研究[J].汕头大学学报(自然科学版),2020,35(3):47-54.
[3]JIANG N J,SOGA K.The applicability of microbially induced calcite precipitation (MICP) for internal erosion control in gravel-sand mixtures[J].Géotechnique,2017,67(1):42-55.
[4]LIU B,ZHU C,TANG C S,et al.Bio-remediation of desiccation cracking in clayey soils through microbially induced calcite precipitation (MICP)[J].Engineering geology,2020,264:105389.
[5]PARDINI G,GUIDI G V,PINI R,et al.Structure and porosity of smectitic mudrocks as affected by experimental wetting-drying cycles and freezing-thawing cycles[J].Catena,1996,27(3/4):49-165.
[6]CAI X,ZHOU Z L,TAN L H,et al.Fracture behavior and damage mechanisms of sandstone subjected to wetting-drying cycles[J].Engineering fracture mechanics,2020,234:107109.
[7]袁志辉,唐春,杨普济,等.干湿循环下红土力学性质劣化的多尺度试验[J].水力发电学报,2022,41(2):79-91.
[8]安然,孔令伟,张先伟,等.干湿循环效应下花岗岩残积土结构损伤的多尺度研究[J].岩石力学与工程学报,2022,42(3):1-10.
[9]蒋明镜,廖优斌,刘蔚,等.考虑胶结强度正态分下砂土力学特性离散元模拟[J].岩土工程学报,2016,38(增刊2):1-6.
[10]GHAZVINIAN A,SARFARAZI V,SCHUBERT W,et al.A study of the failure mechanism of planar non-persistent open joints using PFC2D[J].Rock mechanics and rock engineering,2012,45(5):677-693.
[11]WANG Z,JACOBS F,ZIEGLER M.Visualization of load transfer behaviour between geogrid and sand using PFC2D[J].Geotextiles and geomembranes,2014,42(2):83-90.
[12]ZHOU S,ZHU H,YAN Z,et al.A micromechanical study of the breakage mechanism of microcapsules in concrete using PFC2D[J].Construction and building materials,2016,115:452-463.
文章来源:南华大学学报自然科学版
工程师必备
- 项目客服
- 培训客服
- 平台客服
TOP




















