余能回收水轮机叶片参数化设计与性能研究
2023年7月24日 11:38导 言
本文针对余能回收水轮机转轮叶片的参数化设计进行研究,克服保角变换法设计过程繁琐以及Bezier曲线查看参数分布不直观的缺点。首先建立转轮叶片的参数化表达式,然后将轴面流线离散,对微元段进行计算得到叶片骨线的参数分布曲线,控制参数分布曲线便于根据CFD计算结果完成改型,最后通过试验检验余能回收水轮机的性能。研究成果为余能回收水轮机的设计提供一种新的思路。
具体内容
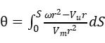
公式(1)为转轮叶片轴面流线积分方程,
(1)
式中:S为轴面流线长度,m;ω为旋转角速度,rad/s;Vu为绝对速度的圆周分量,m/s;Vm为轴面流速,m/s;r 为轴面流线上控制点到中轴线的半径,m;θ 为叶片翼型骨线包角,rad。
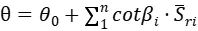
对式(1)进行离散,将轴面流线分为若干微元段,针对单个微元段建立叶片骨线包角、安放角和轴面流线微元段的归一化长度之间的关系。将微元段包角累加即可得到叶片骨线的包角θ。
(2)
式中:为叶片进水边的起始包角,为叶片骨线的安放角;为轴面流线微元段的半径归一化长度。
微元段的端点组成了轴面流线的控制点,通过式(2)进行设计,将叶片骨线的包角、安放角与控制点一一对应起来。设计过程中通过改变包角曲线实现叶片骨线的控制,变化幅度可定量设定。叶片骨线参数化设计流程见图1,计算过程见表1。
图1 参数化设计流程
表1 参数化设计计算表
为降低微型余能回收水轮机的生产难度和成本,对过流部件适当地进行了优化,余能回收水轮机全流道仿真模型仅包括蜗壳、活动导叶、转轮和尾水管,如图2所示。
图2 余能回收水轮机全流道模型
某输水管网末端压力较高,经测量可利用压头约31m,平均流量为720/h,采用余能回收水轮机进行发电回收富裕的能量。基于一元理论得到轴面流线并分为若干段,然后按照参数化设计方法对每个微元段进行计算,最终得到叶片骨线坐标。按等厚度规律对骨线加厚并对翼型进出口边倒圆得到叶片翼型如图3,设计得到的叶片骨线包角曲线如图4。
图3 参数化设计流程
图4 参数化设计流程
水轮机转轮出口速度矩分布对性能有影响,为达到降低出口平均速度矩的目的,拟增加叶片出口边靠近上冠侧骨线包角。修改前、后叶片骨线参数曲线变化如图5,不同流面层上叶片骨线的包角是均匀变化的,改后叶片骨线仍然保持光滑,见图6。对比改变叶片参数前后出口速度矩分布曲线如图7,改后出口边平均速度矩从0.091㎡/s减小至-0.005㎡/s。
图5 改变叶片骨线包角分布曲线
图6 叶片骨线变化对比
图7 出口速度矩分布曲线
对余能回收水轮机内部流场进行分析,速度矢量与压力梯度分布见图8,蜗壳内部流场分布均匀。水流经活动导叶后形成与转轮进口相匹配的流场,叶片进口靠近压力面一侧具有低速流动区,并随着流动发展在叶道内部流场逐渐趋于均匀。过多的叶片数会造成出口流道狭窄限制过流能力,最终选择13个叶片。
图8 速度矢量与压力梯度分布
在流体机械通用试验台上进行真机测试,整体铸造的转轮如图9,试验系统组成见图10,试验过程中由循环泵提供带压水流,并通过变频和阀门联合调节以稳定水轮机进口水头,通过电磁流量计测量流量,发出的电能直接并入电网。
图9 整铸转轮
图10 试验系统组成
作者简介
李延频,论文第一作者,华北水利水电大学教授,博士生导师,主要从事流体机械理论研究。
刘安然,论文第二作者,华北华水水电大学博士研究生,主要从事水轮机设计。
陈德新,论文第三作者,华北水利水电大学教授,主要从事水轮机理论研究与设计。
文章来源:节水灌溉编辑部
工程师必备
- 项目客服
- 培训客服
- 平台客服
TOP




















