高分子材料的流变特性简介

高分子材料的流变特性简介

                      ■苏州诚模精密 / 孙同杰经理&韩强检测工程师

高分子材料的黏弹性

高分子熔体或溶液具有黏弹性,即在变形时会有黏性损耗,流动时也会产生弹性记忆效应。从概念上来说,这种黏弹性可以分为线性黏弹性和非线性黏弹性。其中,非线性黏弹性也是高分子材料流变学的主要研究内容。值得注意的一点是高分子熔体或溶液的弹性,与我们常规意义上所说的高分子的本体弹性有些不同。比如橡胶类材料交联后,在常温下具有高弹性,这种高弹性来自于高弹态下高分子的链段运动,并且因为交联网络的,形变可以完全恢复。而高分子熔体或溶液的弹性,或者处于黏流态下的高分   子的弹性,其发生总是伴随不可逆的黏性流动,也因此称之为黏弹性;其原理与高分子缠结形成的不完善的网络结构有关,这种网络也不同于交联橡胶网络。
 所谓线性黏弹性,是指高分子在小变形下的流变行为。比如,用旋转流变仪测试高分子的动态黏弹性(交变的   应力、应变),就是测试其在小振幅、小形变下的线性黏弹性。这里提到的动态黏弹性的测试,与稳态剪切流场中的流变测试有差异。动态黏弹性的测量通常采用的是转子型流变仪,比如锥板式流变仪、同轴圆筒流变仪等,测试采用的是振荡模式,即设定一个应变,以不同的振荡频率对材料进行动态频率扫描,这里不同的振荡频率类似于稳态扫描时的剪切速率。此应变值的确定通常是通过固定扫描频率后对材料进行应变扫描得到的,所取的应变值应处于线性黏弹区,即熔体结构未发生破坏的区域。动态黏弹性的测量可以同时得到黏性行为参数和弹性行为参数,包括储能模量、损耗模量、复数黏度和动态黏度等;除此以外,运用时温等效原理可以扩大测量的频率范围。转子型流变仪测试的剪切速率范围约为10   -3~10   -2 s   -1之间,而毛细管流变仪可测试的剪切速率范围一般在10   -1~10   4 s   -1之间。
非线性黏弹性研究的是   大变形、长时间的应力作用下高分子液体的流变行为,如毛细管流变仪测试剪切黏度,研究的就是非线性黏弹性中的黏性行为,且属于稳态黏弹性。大多数高分子液体属于假塑性   流体,其流动过程中存在剪切变稀现象。关于高分子液体非线性黏弹性的另一个重要组成部分──弹性效应,其表现更为多样,原理也更为复杂。高分子液体的弹性效应可以用一些特定的物理量来定量描述,比如挤出胀大比、口型出口压力降、入口压力降、法向应力差、拉伸黏度等。此外,高分子熔体流动不稳定性也主要与熔体弹性效应密切相关,比如毛细管挤出过程中的入口压力振荡或毛细管压力振荡、挤出物表面畸变等。

高分子材料的剪切变稀

高分子液体的黏度和牛顿流体黏度不同,是随着剪切速率而变化的,称作   非牛顿流体,又可以分为宾汉塑性体、假塑性流体和胀流性流体等。大多数的高分子液体属于假塑性流体。在发生剪切变稀之前,剪切黏度为常数,称为零剪切黏度。零剪切黏度是高分子材料的一个很重要的常数,与材料的平均分子量相关联,并且由零切黏度可以求得材料的黏流活化能。一般情况下,链柔顺性越好,黏流活化能越小,高分子黏度变化对于温度的敏感性越小,对于剪切的敏感性越高,如PE、POM等材料均属于此类材料。零切黏度常常难以由实验得到,特别是毛细管流变仪通常很难测得很低的剪切速率。此时,可以通过转子流变仪来测试。假塑性流体除了具有一个重要参数──零切黏度值以外,其黏度曲线上由牛顿区转入非线性牛顿区的临界剪切速率值也非常重要。此临界值反应了高分子液体的两个性质:非牛顿性强弱以及松弛时间长短。关于非牛顿流动区内剪切变稀现象的解释,有不同的理论,比如高分子构象改变说和类橡胶液体理论。简言之,是高分子构象的改变(取向)或解缠结导致高剪切下流动时黏度的下降。

毛细管流变仪测试高分子材料的剪切黏度

前面已经提到,毛细管流变仪是测试高分子材料剪切黏度的有力手段。在苏州诚模精密科技有限公司的材料实验室内,毛细管流变测试已成为表征材料流动性的最常用手段。毛细管流变仪可以测定不同剪切速率和温度下塑料黏度的变化,可以得到在接近塑料射出成型的温度和剪切速率下,塑料熔体的流动性能。测试标准为ISO 11443和ASTM D3835。毛细管流变仪的测试原理是,在设定的剪切速率下,测定塑料熔体被挤压通过固定尺寸的毛细管口模时的压力,通过压力和口模的尺寸,可以计算出在该剪切速率下,塑料熔体所受的剪切应力,剪切应力除以剪切速率就得到了黏度。此时得到的黏度为表观剪切黏度而非真实的黏度,因为毛细管流变仪测定的是塑料熔体通过毛细管口模时的入口压力,我们需要用Bagley校正得到塑料熔体通过毛细管口模时的压力损失,从而得到塑料熔体的出口压力,通过出口压力和口模尺寸,计算出该塑料熔体的真实剪切应力。由于塑料为非牛顿流体,因此在管壁处的剪切速率要比牛顿流体更高,所以我们需要用Rabinowitsch-Weissenberg校正来修正剪切速率,从而得到真实的剪切速率。校正后的剪切应力除以校正后的剪切速率就得到了塑料熔体真实的剪切黏度。
 剪切黏度除了可以表征不同材料的流动特性以外,也是Moldex3D   模流仿真软件所用的材料数据包中重要的数据之一。在诚模精密的材料应用研究中心,我们研究了大量的PCR材料的流变特性,如图1展示了不同PCR含量的ABS材料的剪切黏度曲线。
高分子材料的流变特性简介的图1

图1:不同PCR含量的ABS的剪切黏度曲线


从曲线中可以看出,尽管三种牌号的熔体流动速率值是一样的,但剪切黏度曲线却有不同。随着PCR含量的增加,剪切黏度呈现出下降的趋势。因此,为了更准确的预测含有PCR的高分子材料在模具型腔中的充填过程,诚模精密的材料实验室会对每一批PCR来料(同一牌号不同批次)的剪切黏度进行测试,以确保所形成的mtr数据包是准确无误的。
除了含有PCR的材料,如果是同一牌号的不同颜色,我们也会分别测试其剪切黏度。
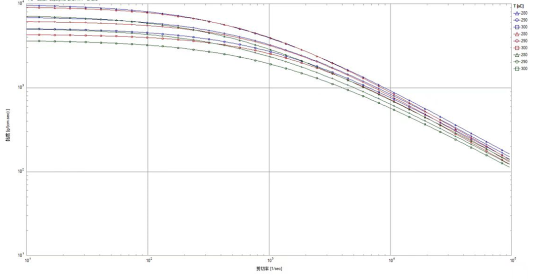
高分子材料的流变特性简介的图2

图2:不同颜色的EXL1414的剪切黏度曲线


如图2所示,三种材料均为EXL1414,分别为本色料、黑色料和白色料,其剪切黏度也呈现出不同的变化。■


高分子材料的流变特性简介的图3

更多技术资讯,欢迎联系/关注:  
微信号  / ACMT2016  

公众号/  ACMT  



未经同意,请勿转载

登录后免费查看全文
立即登录
App下载
技术邻APP
工程师必备
  • 项目客服
  • 培训客服
  • 平台客服

TOP

2