一种用于热管理的液态金属基PCMs复合材料
2023年8月7日 10:02
背景介绍
相变材料(PCMs)在特定温度下的相变时吸收或释放潜热,被认为是各种系统的有效被动热管理的有前途的材料。然而,固-固转变通常只吸收或释放少量的潜热,而且固-气和液-气转变都伴随着显著的体积变化,这对于大多数实际应用是不适合的因此,具有相对高的潜热、可控制的体积变化和实际相关的相变温度的固-液PCM得到了广泛的研究。各种有机和无机材料已被用作固体-液体PCMs,有机PCMs包括石蜡、脂肪酸和聚乙二醇,而无机PCMs包括几种盐和盐水合物。
通常研究的固体-液体PCMs的主要缺点是它们的导热系数(k)低,例如,石蜡和盐水合物的k值分别为~ 0.2和1 W/mk,这些值明显低于金属、陶瓷或碳基材料的k值,它们的k值范围从几十到几百W/mk。提高PCM的k值的一种方法是在PCM基体中分散具有高k值的金属、陶瓷或碳基微或纳米颗粒。然而,通过这种方法改善k的程度是有限的。而且,通过这种方法制备的复合材料具有低加工性,这限制了它们在任意形状因素系统中的易于应用。
02
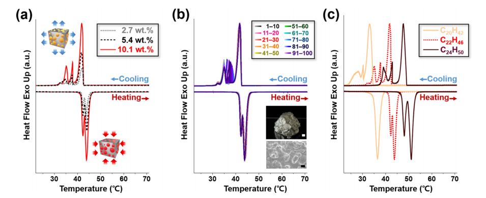
近期,韩国Joohyung Lee教授在开发用于热管理且具有可加工性的相变材料取得新进展。该团队在所提出的配方中,共晶Ga−In被用作高导热性和高流动性的液体基质,其中悬浮着具有不同固-液相变温度的石蜡PCM微粒作为填料。PCM-LM (C22H46@TiO2-in-EGaIn)复合材料被证明是一种新型的潜热储存系统,具有高导热、高导电性和独特的粘弹性。纳米级无机氧化物(二氧化钛)吸附在填料-基体界面上,实现了填料与基体的良好相容性。因此,复合材料是通过简单的涡流混合产生的,不需要繁琐的预处理或后处理。复合材料表现出独特的权衡效应,即弹性模量、屈服应力、密度、导热系数和熔融或结晶焓,可以很容易地通过改变悬浮填料的含量来控制。由于复合材料的高导电性和潜热储存能力之间的协同作用,含有该复合材料的焦耳加热装置表现出改善的电热性能。所提出的平台可用于合理设计和简易制造高性能无形状因素潜热存储系统,用于各种潜在应用,如电池热管理和柔性加热器。研究成果以“Novel Latent Heat Storage Systems Based on Liquid Metal Matrices with Suspended Phase Change Material Microparticles”为题发表于《ACS Applied Materials Interfaces》。
END
工程师必备
- 项目客服
- 培训客服
- 平台客服
TOP




















