晶体塑性每日文章推荐(八)
文章名称:《Multi-scale simulation of nanoindentation on cast Inconel 718 and NbC precipitate for mechanical properties prediction》
doi:10.1016/j.msea.2016.03.081
推荐理由:作者使用宏观拉伸实验和RVE方法确定了in718基体的晶体塑性参数,使用第一性原理确定了NbC的弹性属性和屈服应力,并根据对应的参数分别模拟了基体和NbC夹杂的纳米压痕结果,其中关于纳米压痕的实验和仿真介绍十分详细,提出的多尺度分析思路对于夹杂物力学性能的确定很有启发意义。
理论部分
硬化方程(位错密度模型):
流动方程(唯象幂律流动):
in718材料参数确定(代表性体积元方法)
NbC力学性能确定基于第一性原理
确定其弹性参数为:
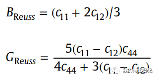
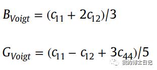
并基于Voigt-Reuss-Hill (VRH) 均匀化方案确定体积模量剪切模量以及杨氏模量,泊松比
Voigt 和 Reuss bounds:
由此确定杨氏模量和泊松比:
NbC对应的力学性能为:
根据得到NbC的硬度以及硬度和屈服应力的关系,得到NbC的屈服强度,在后续分析时认为NbC为理想弹塑性材料,根据标定的本构参数分别模拟了基体和NbC对应的纳米压痕结果:
其研究结果表明
基于第一性原理计算得到的弹性性能与纳米压痕实验具有良好的一致性
晶体取向对荷载-位移曲线的影响有限,但对堆积形态的影响较大。峰值负荷只有1.2%的变化
另外该作者提出的CPFE模拟与第一性原理研究相结合的解决方案显示出研究多晶材料和沉淀物力学性能的巨大潜力。从模拟中可以生动地获得在实验中无法轻易观察到的材料行为,如应力、应变和堆积模式。此外,析出物的杨氏模量和屈服应力等力学性能
工程师必备
- 项目客服
- 培训客服
- 平台客服
TOP




















