基于ANSYS的多层堆叠模块焊接残余应力分析及选材优化
摘 要:分析了某多层堆叠模块的焊接残余应力,讨论了各功能层不同选材、焊接顺序对模块残余应力的影响,并给出了优化方案。利用ANSYS软件进行有限元分析计算,采用ANAND本构模型描述焊锡的黏塑性行为,采用基于接触的多点约束( Multi-point Constraint,MPC) 算法实现焊锡层与功能层的跨尺度自由度耦合。计算结果表明,焊接顺序对模块残余应力影响较小,各功能层的选材需要综合考虑模块变形及应力安全裕度。刚度较大的底板层可以同时降低模块变形和高温共烧陶瓷( High Temperature Co-fired Ceram-ic,HTCC) 层应力。热膨胀系数较小的盖板层可以降低HTCC层应力,但会增大模块整体变形。底板选用Al /SiCp( 65%) ,盖板采用可伐合金,可以得到变形及应力安全裕度均满足要求的方案。
关键词:ANAND; 多层堆叠; 残余应力
Abstract: The residual stress of a multilayer stacked module is investigated.The influences of layer material and welding sequence on the residual stress of the module are discussed and the optimization recommendations are given.The ANAND model is adopted to describe the viscoplastic behavior of solder with the help of ANSYS finite element analysis.The multi-scale coupling between the soldering layer and the function layer is realized by the contact-based multi-point constraint ( MPC) algorithm. Results show that the welding sequence has little effect on residual stress and the layer material selection should consider both the module deformation and the stress safety factor.The higher stiffness of the base plate layer can reduce both the overall deformation and the stress of the high temperature co-fired ceramic ( HTCC) layer.The lower thermal expansion coefficient of the cover plate layer can reduce the stress of the HTCC layer,but the overall deformation increases.By adopting Al /SiCp( 65%) base plate and kovar cover plate,the requirements of module deformation and stress safety factor can be both satisfied.
Key words: ANAND; multilayer stack; residual stress
现代有源相控阵雷达向着轻薄化、微系统化、积木式的方向发展。瓦片式模块是有源相控阵雷达的核心部件,由不同材料、不同结构形式的功能器件、功能结构通过层叠的形式,采用胶接、焊接、压接等手段组合而成。瓦片式模块集成度高、不同材料多层堆叠的特性导致其内部不同层之间热膨胀系数失配,由此产生的热应力和热变形问题较为复杂,同时也显著影响模块的精度和可靠性。
对于复杂系统的热失配问题,目前主要通过理论分析、有限元模拟结合试验的方法进行计算分析。文献[1]以理论分析结果验证了有限元模型的有效性,并基于有限元计算结果预测了绝缘栅双极型晶体管( Insulated Gate Bipolar Transistor,IGBT) 功率模块的疲劳寿命。文献[2]讨论了堆叠结构各层的厚度对模块可靠性的影响。文献[3]分析了IGBT 功率模块的热应力分布,并讨论了焊料厚度、空洞率对模块传热性能的影响。文献[4]基于ANSYS二次开发技术对汽车功率模块在热循环条件下的失效问题进行了模拟分析。文献[5]采用ANSYS分析了IGBT模块的封装热应力,并讨论了热应力与分层率之间的关系。以上工作只考虑了多层堆叠结构的层厚对模块热应力的影响,尚未涉及各层的选材和焊接顺序。
多层堆叠模块的内部热应力、热变形与模块内各层选材、结构形式、焊料选用、装联顺序密切相关。本文以某高集成瓦片式模块为研究对象,在常用工艺、材料范围内,基于 ANSYS 讨论了不同选材、焊接方案对焊接残余应力的影响,并给出了优化方案。
典型的瓦片式模块包含环氧板、泡沫、钛合金、可伐合金、高温共烧陶瓷( High Temperature Co-fired Ceramic,HTCC) 、低温共烧陶瓷( Low Temperature Co-fired Ceram-ic,LTCC) 、Al/SiCp 和连接层(焊锡、环氧胶),提取其焊接主体结构,如图1所示。考虑到实际应用中材料的机械加工性、焊接性、密度要求以及底板层、盖板层与 HTCC层的热膨胀系数匹配要求,底板层备选材料为Al/SiCp ( 65%) 和 TC4,盖板层备选材料为可伐合金和TC4,各层之间采用焊锡焊接。各材料参数如表1所示。
采用六面体单元Solid45、Solid185和壳单元shell63 对各层结构及连接层进行网格划分。由于每层特征各异,且焊锡层特征尺寸( 0.1 mm)与主体结构尺寸( 10 mm)存在量级上的差距,因此各层之间的网格匹配比较困难。本文采用基于接触的多点约束( Multi-point Constraint,MPC) 算法耦合不同尺度且特征各异的主体层和焊锡连接层,以实现结果准确与计算经济之间的平衡。
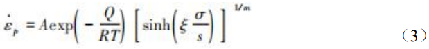
焊锡材料一般采用黏塑性带蠕变的ANAND本构模型进行描述,对于焊锡本构的详细描述可以参考文献[6]中的公式:
式中: σ 为等效应力; s 为变形阻抗; c 为材料参数。
在恒定应变速率下:
式中: A为常数; Q为气体激活能;R为气体常数; T为绝对温度;εp 为塑性应变速率; m 为应变敏感指数; ξ为应力乘子。由式( 2) 可得:
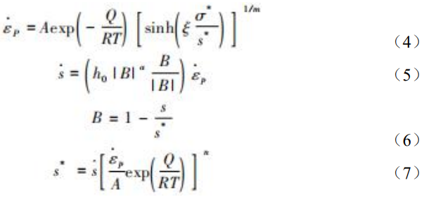
稳态的 ANAND 塑性流动可以描述为:
式中: s* 为给定温度应变速率下的内部变量饱和值; σ* 为饱和等效应力值; s^ 为系数; h0 为硬化/软化系数;
n 为指数; a 为循环应变硬化指数[2,6-10]。
本文涉及的 2 种焊锡材料的参数取值如表 2 所示。
注: s0 为初始变形阻抗。
焊接共有 3 种方案: 1) 先焊接盖板层与 HTCC 层,再将焊好的模块与底板层进行第 2 次焊接; 2) 先焊接HTCC 层与底板层,再将焊好的模块与盖板层进行第 2次焊接; 3) 所有层同时焊接。
根据焊接方案的不同,可以将加载过程划分为 3种方案,每种方案的边界条件约束及载荷施加顺序见图 2。需要注意的是,采用不同的焊接方案,焊锡连接层的材料也会不同,先焊的步骤需要选择熔点高的SAC305,后焊的步骤选择熔点低的63Sn37Pb。
穷举不同的焊接方案和选材方案,共计12种工况,选取6种典型工况,如表3所示。在6种工况下,各层最大Mises应力及全局最大法向变形如表4所示。
工况1~3选材相同,仅采用不同的加载方案,用于考察焊接顺序对焊接残余应力的影响。比较工况1~3的最大法向变形和各功能层应力可以看出:各功能层应力相差不大,但焊锡层应力相差较大。因此可以推断,不同的焊接方案对模块各功能层的应力分布影响不大,主要影响焊锡层的应力。产生该现象的主要原因在于: 不同焊接方案中焊锡层1与焊锡层2采用的焊锡不同,不同焊锡的饱和应力值不同。由于63Sn37Pb的饱和应力值大于SAC305,因此工况1的焊锡层1应力大于工况2,焊锡层2应力小于工况2,工况3的焊锡层1应力与工况1相当,焊锡层2应力与工况2相当。
工况2和工况5采用相同的盖板材料和焊锡材料,仅底板采用热膨胀系数相近但弹性模量不同的Al /SiCp和TC4。比较工况2和工况5的计算结果可知:工况5的法向变形比工况2大27.7%,HTCC层的应力水平大13.4%,仅底板层应力有6%的降低。其主要原因在于:Al /SiCp比TC4刚度更好,因此Al /SiCp材料底板的变形也更小,而HTCC层与底板层是变形协调的,HTCC层内部应变也更小,因此HTCC层应力也更小。比较工况4和工况6也可得出相同结论。因此可以推断,提高底板材料刚度有助于降低HTCC层应力,同时减小模块的残余变形。
工况5与工况6采用相同的底板材料和焊锡材料,仅盖板采用不同的可伐合金和TC4。比较工况5与工况6的计算结果可知:工况6的法向变形比工况5小37%,各功能层应力均比工况5大,其中底板层应力大26%,盖板层应力大36%。工况6盖板采用的材料TC4与工况5的可伐合金相比,热膨胀系数更高,弹性模量更低。盖板层选用更低弹性模量的材料,理论上模块法向变形应该更大,但是工况6的法向变形却小于工况5。其原因在于,工况6中盖板材料TC4与HTCC的热膨胀系数差较大,产生的反向变形更大,抵消了更多的底板变形。工况6中各层应力水平均大于工况5也佐证了以上推断。因此可以推断: 盖板层采用热膨胀系数较大的材料可以减小模块的法向变形,但会引起模块内部应力水平的提升。比较工况2与工况4也可以得出同样的结论。
综上所述,底板层采用弹性模量相对较大的Al /SiCp 可以减小模块的法向变形,同时减小HTCC层的应力水平。盖板材料选用热膨胀系数较小的可伐合金可以减小HTCC层的应力水平,但盖板层对模块法向变形的反向抑制效应会减小,模块法向变形会变大。
因此,模块各层的选材搭配需要针对模块允许残余法向变形和各层应力安全系数来综合考虑。
对于本文讨论的模块,最大法向变形要求为0.25 mm,各功能层应力安全系数应不小于1.5。同时满足以上要求的是工况1、2和3。工况4虽然法向变形满足要求,但HTCC层应力安全裕度不够。各功能层应力安全系数如表5所示。
以工况1为例,模块的法向变形云图与Mises应力云图如图3、图4所示。在焊接完成后的降温过程中,与HTCC层相比,底板层收缩量更大,因此模块呈现中间凸两边凹的微拱形。应力最大值集中在HTCC层边缘与焊锡层接触的尖角处,属于典型的局部应力集中。
采用工况1的选材方案及焊接方案进行实物试制,经测量实物最大法向变形为0.2 mm,与仿真结果基本一致。此外还对实物进行了200次温度冲击摸底实验,各层未发现明显裂纹。在后继工作中,计划采用仿真试错与试验验证相结合的方法,对该多层堆叠模块进行疲劳耐久性分析和验证。
本文以某多层堆叠模块为对象,讨论了模块各层选材、装配中的焊接顺序选择对模块残余应力和焊接变形的影响。
从文中分析结果可以看出,焊接顺序的选择对各层残余应力和焊接变形的影响不大,因此在实际工程应用中可选用焊接工艺要求较低的焊接方案。各层材料热膨胀系数和刚度与模块的残余应力、焊接变形存在耦合关系。盖板层热膨胀系数大,模块变形也大,但是HTCC层应力小。底板材料的刚度越好,模块的变形越小,HTCC层应力水平越低。通过比较底板层及盖板层不同的选材组合的优劣,得到了满足变形和应力安全裕度要求的优化方案:底板采用Al /SiCp( 65%),盖板采用可伐合金。按此选材获得了残余变形和可靠性满足使用要求的实物。
文章来源:表面贴装与微组装工艺技术
工程师必备
- 项目客服
- 培训客服
- 平台客服
TOP




















