基于PSO优化LSSVM的时序预测MATLAB实战
2023年8月25日 16:05今天给大家分享PSO优化LSSVM的时序预测代码实战,主要从算法原理和代码实战展开。需要了解更多算法代码的,可以点击文章左下角的阅读全文,进行获取哦~需要了解智能算法、机器学习、深度学习和信号处理相关理论的可以后台私信哦,下一期分享的内容就是你想了解的内容~
一、算法原理
支持向量机是针对小样本问题,基于结构风险最小化,较好地解决了以往机器学习模型中的过学习、非线性、维数灾难以及局部极小值等问题,具有较好的泛化能力;然而,该方法在大规模训练样本时,存在训练速度慢、稳定性差等缺陷,从而制约了其使用范围(学习过程中需要求解二次规划问题)。为加快支持向量机的训练速度和简化计算复杂度,最小二乘支持向量机(Least Square Support Vector Machine, LSSVM)被提出。最小二乘支持向量机(LSSVM)是标准支持向量机的一种扩展,该算法将支持 向量机的求解从二次规划问题转化为线性方程组。它与支持向量机的不同之处在于它把不等式约束改成等式约束,并把经验风险由偏差的一次方改为二次方。
本文分享的实战为时序预测问题是一类回归问题,因此接下来介绍的算法原理为最小二乘支持向量回归算法(LSSVR)。
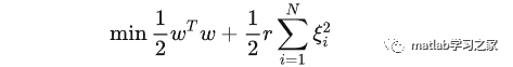
(1)构建LSSVR的优化问题的目标函数:
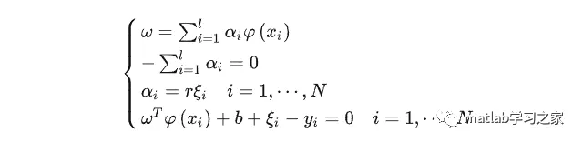
(2) 将传统SVM的不等式约束转换为等式约束:
(3)构造拉格朗日函数:
(4)进行KKT转换,得到最优对应的约束条件:
(5)得到对应的线性方程系统为:
(6)最终求解得到:
二、代码实战
%% 文件说明
% main.m : 主文件,进行预测,将生成的网络保存到 'nets.mat'中
% main_back.m : 使用'nets.mat'重现结果
% nets.mat : 保存 3 * 48 个grnn网络,用于结果重现
% QLD1.csv : 原始数据(用的什么时候的数据你点开看一下就明白了)
% QLD1.mat : 导成matlab格式的数据
% adaboost : 组合算法, 输出结果的第一个数是组合后的mape
%% 原理
% 输入前一个周7个相同时间点的数据 得到本周7个相同时间点的数据
% 不用执行本文件,运行`main_back.m`即可看到结果
% net1MeanMape =
% 0.0165 <- grnn1
% net2MeanMape =
% 0.0168 <- grnn2
% net3MeanMape =
% 0.0168 <- grnn3
% combineMeanMapes =
% 0.0157 <- adaboost
clc;
close;
clear;
testWeekNum = 1;
%% 训练数据周数
trainWeekNum = 228;
load QLD1;
QLD1 = reshape(QLD1, 48, length(QLD1)/48);
testWeekInd = 1;
trainWeekInd = 1 + (1:trainWeekNum);
testWeekX = [];
testWeekY = [];
for yWeekInd = testWeekInd
yWeekDayInd = (yWeekInd*7-6):(yWeekInd*7);
xWeekDayStart = yWeekInd * 7 + 1;
xWeekDayEnd = (yWeekInd + 1) * 7;
xWeekDayInd = xWeekDayStart:xWeekDayEnd;
yDayData = QLD1(:, yWeekDayInd);
xDayData = QLD1(:, xWeekDayInd);
testWeekY = [testWeekY yDayData'];
testWeekX = [testWeekX xDayData'];
end
trainWeekX = [];
trainWeekY = [];
for yWeekInd = trainWeekInd
yWeekDayInd = (yWeekInd*7-6):(yWeekInd*7);
xWeekDayStart = yWeekInd * 7 + 1;
xWeekDayEnd = (yWeekInd + 1) * 7;
xWeekDayInd = xWeekDayStart:xWeekDayEnd;
yDayData = QLD1(:, yWeekDayInd);
xDayData = QLD1(:, xWeekDayInd);
trainWeekY = [trainWeekY yDayData'];
trainWeekX = [trainWeekX xDayData'];
end
nets = {};
netMapes = [];
for time = 1:48
disp([' time:', num2str(time)]);
testInd = (0:(testWeekNum-1)) * 48 + time;
trainInd = (0:(trainWeekNum-1)) * 48 + time;
global trainX trainY xmap ymap testX testY;
testX = testWeekX(:, testInd);
testY = testWeekY(:, testInd);
trainX = trainWeekX(:,trainInd);
trainY = trainWeekY(:,trainInd);
[trainX, xmap] = mapminmax(trainX, 0.0000001, 1);
[trainY, ymap] = mapminmax(trainY, 0.0000001, 1);
testX = mapminmax('apply', testX, xmap);
[bestGam, bestSig2] = optimizeLSSVM();
rand('seed', 2);
net = initlssvm(trainX', trainY', 'function estimation', bestGam, bestSig2, 'RBF_kernel');
net = trainlssvm(net);
ySim = simlssvm(net, testX')';
ySim = mapminmax('reverse', ySim, ymap);
mape_ = mape(testY, ySim);
nets{time, 1} = net;
netMapes = [netMapes mape_];
end
meanMape = mean(netMapes)
save nets nets;
%% 48 7 -> 7
clc;
close;
clear;
testWeekNum = 1;
trainWeekNum = 228;
load QLD1;
load nets;
QLD1 = reshape(QLD1, 48, length(QLD1)/48);
netMapes = [];
testWeekInd = 1;
trainWeekInd = 1 + (1:trainWeekNum);
testWeekX = [];
testWeekY = [];
for yWeekInd = testWeekInd
yWeekDayInd = (yWeekInd*7-6):(yWeekInd*7);
xWeekDayStart = yWeekInd * 7 + 1;
xWeekDayEnd = (yWeekInd + 1) * 7;
xWeekDayInd = xWeekDayStart:xWeekDayEnd;
yDayData = QLD1(:, yWeekDayInd);
xDayData = QLD1(:, xWeekDayInd);
testWeekY = [testWeekY yDayData'];
testWeekX = [testWeekX xDayData'];
end
trainWeekX = [];
trainWeekY = [];
for yWeekInd = trainWeekInd
yWeekDayInd = (yWeekInd*7-6):(yWeekInd*7);
xWeekDayStart = yWeekInd * 7 + 1;
xWeekDayEnd = (yWeekInd + 1) * 7;
xWeekDayInd = xWeekDayStart:xWeekDayEnd;
yDayData = QLD1(:, yWeekDayInd);
xDayData = QLD1(:, xWeekDayInd);
trainWeekY = [trainWeekY yDayData'];
trainWeekX = [trainWeekX xDayData'];
end
for time = 1:48
disp([' time:', num2str(time)]);
testInd = (0:(testWeekNum-1)) * 48 + time;
trainInd = (0:(trainWeekNum-1)) * 48 + time;
global trainX trainY xmap ymap testX testY;
testX = testWeekX(:, testInd);
testY = testWeekY(:, testInd);
trainX = trainWeekX(:,trainInd);
trainY = trainWeekY(:,trainInd);
[trainX, xmap] = mapminmax(trainX, 0.0000001, 1);
[trainY, ymap] = mapminmax(trainY, 0.0000001, 1);
testX = mapminmax('apply', testX, xmap);
net = nets{time, 1};
ySim = simlssvm(net, testX')';
ySim = mapminmax('reverse', ySim, ymap);
mape_ = mape(testY, ySim);
netMapes = [netMapes mape_];
end % end time
meanMape = mean(netMapes)
figure(1)
plot(ySim,'r');
hold on
plot(testY,'b');
结果显示
文章来源:matlab学习之家
工程师必备
- 项目客服
- 培训客服
- 平台客服
TOP




















