铝合金附着式升降防护平台防坠装置优化研究
2023年8月28日 10:44前 言
脚手架是建筑施工中必须使用的重要设施,是为保证高处作业安全、顺利进行施工而搭设的工作平台或作业通道。传统脚手架主要包括脚手架架体结构、施工防护系统等。现代社会经济的快速发展带动高层建筑蓬勃发展,由于高层建筑对施工安全要求更高,传统脚手架频繁出现在施工期间因脚手架失稳、工人搭设不规范、监管不到位等原因发生诸多例如脚手架坍塌的安全生产事故,其逐渐不能满足现代施工的安全要求,为了响应绿色环保、高效节能的建筑施工理念,铝合金附着式升降防护平台应运而生。防坠装置作为整个平台在意外坠落突发工况下的最后保障,承担着将架体下坠与防坠摆块的冲击荷载传递给附墙支座进而传递给建筑并阻止架体继续下坠的任务,因此其防坠性能的优劣对防护平台的安全性至关重要。已有国内外学者对附着式防护平台防坠装置进行相关优化研究。
本文所研究的防坠装置由中铝南铝(福建)铝结构技术开发有限公司开发,属于附墙支座总成部件,主要由触发摆块和防坠摆块组成,其在自然状态下由于重力作用垂直悬挂在与附墙支座固定的杆上,并会绕其旋转。当防护平台架体坠落时与触发摆块接触,带动防坠摆块转动,因下坠速度快,摆块无法在自身重力作用下回转至垂直状态,而是转至与固定在防护平台架体上的导轨防坠孔接触并被固定在附墙支座上的杆挡住。架体下落与防坠装置碰撞的冲击载荷通过防坠摆块传递至附墙支座,最终架体被卡住停止下坠。本文采用动力学仿真分析软件ADAMS对此模型进行动力学分析并对防坠装置优化,对防坠优化设计提供了一定参考。
1 动力学仿真模型
1.1 基本结构
本文所研究的架体结构参数来自于中铝南铝(福建)铝结构技术开发有限公司所研发的铝合金附着式升降防护平台,具体参数参考文献[6]所给出的铝合金附着式升降防护平台结构参数。简化防坠装置及架体结构,将对机构运动无影响的结构省略(如图1(b)所示),在ADAMS中建立模型。由于将整个架体放进几何模型中,会导致计算网格和计算时间的增加,为了计算的简便,本文仅建立部分导轨模型,将不同工况下整个架体受力与架体自重相加后除以导轨的体积,换算后得到的密度增加在原先的导轨材料密度上,总体重量与实际相同。根据《建筑施工用附着式升降作业安全防护平台》JGT546-2019相关规定,防护平台在施工使用时发生坠落状态的受力分析计算,应按正常使用工况下的施工荷载布设在平台顶部各作业层上,应只有一个附墙防坠支座为有效防坠支座,其余支座视为可滑动支座,即竖向方向不受力。因此本文选择对在最不利工况下单个附墙防坠支座的受力情况进行仿真并获取最大冲击力进行分析。不同工况受力具体如下:
使用工况下单个附墙支座所承受的竖向荷载标准值:
升降工况下单个附墙支座所承受的竖向荷载标准值:
1.2 基本参数设置
1.2.1材料参数设置
对模型进行材料参数设置,导轨采用铝合金型材,其他采用钢铁材料。
1.2.2连接副及碰撞接触设置
为真实模拟各部件运动情况,根据运动真实情况设置边界条件约束以及各部件连接副。附墙支座连接处固定端约束,即对应位置施加X、Y、Z三个方向位移为0的固定约束边界条件,导轨设置重力Y方向平移副,防坠摆块与触发摆块分别与旋转中心杆设置旋转副。
ADAMS有补偿法和函数冲击法两种方法定义碰撞力,补偿法参数较难准确确定,因此本文选择函数冲击法计算碰撞力,通过Impact函数模拟计算两实体在运动过程中接触碰撞。碰撞力通过两物体弹性力和阻尼力的叠加计算,弹性力是物体之间相互挤压穿透产生,阻尼力是两物体相对运动产生,可通过设置材料刚度、碰撞指数、穿透深度、阻尼等使仿真模拟结果更准确。本文中的接触碰撞力,包括导轨与触发摆块、防坠摆块之间的相互接触碰撞,防坠摆块与固定挡杆的接触碰撞等。具体碰撞参数参见表4。
1.3 动力学分析基本原理
ADAMS是集建模、求解、可视化技术于一体的虚拟样机软件,采用多刚体系统动力学理论中的拉格朗日方程方法建立系统的动力学方程。
ADAMS的动力学求解算法包括I3、SI2以及SI1积分格式。I3积分格式能计算位移等微分方程,但速度、加速度和约束反力计算精度较差;SI2积分格式能计算速度约束方程并控制误差,小步长不会发生奇异,但其比I3积分格式慢,有些大波动驱动输入可能导致积分失败。SI1积分格式能计算速度约束方程,但不能计算加速度约束方程,比SI2精度高,但是当模型涉及到摩擦或接触时很敏感。
对于刚体仿真,ADAMS中包含Gstiff、Wstiff、Dstiff以及Constant_BDF求解器可供选择。Gstiff求解器可直接求解DAE方程,有I3、SI2、SI1三种积分格式,计算速度快,位移精度高,I3格式时速度会产生误差,小步长可能会出现奇异,SI2及SI1积分格式时,步长很小时也基本可以保持稳定。Wstiff求解器可直接求解DAE方程,步长大小状态变化不会影响其求解精度,但所需仿真时间较长。Dstiff求解器只有I3一种积分格式,会根据步长大小状态变化控制改变相应系数,计算稳定但仿真时间比较长。Constant_BDF求解器可直接求解DAE方程,有I3、SI2、SI1三种积分格式,SI2积分格式在步长很小时也非常稳定,但是处理很多问题没有使用Gstiff、Wstiff求解器快,综合考虑,本文选择Gstiff求解器及I3积分格式算法。
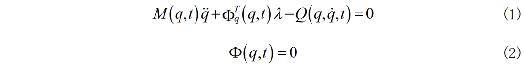
多体系统动力学的核心问题是建模和求解,后者主要集中于微分-代数方程组的求解。多刚体系统采用笛卡尔方法建模生成的微分-代数方程为:
对于微分-代数方程的求解,ADAMS中DAE求解器求解DAE方程采用了BDF刚性积分法。预估阶段将使用预估-校正算法,根据当前系统状态矢量值通过泰勒级数预估下一时刻的状态矢量值。预估阶段的计算结果往往不那么准确,于是我们采用Geark+1阶积分求解进行结果校正。在进行动力学分析之前,ADAMS会自动进行初始条件分析,保证系统满足所有的约束条件。模型上不会添加驱动,让其在重力下运动,计算中将会考虑构件的惯性力,求解动力学方程。
1.4 仿真结果
验证虚拟样机模型的正确性之后,对仿真结果输出进行设置,包括积分器的选择、设置误差、积分最大、最小步长、初始步长、校正误差修改、校正迭代最高次数等。
1.4.1导轨与防坠摆块冲击力仿真
ADAMS后处理器中可提取导轨在重力作用下运动与防坠摆块碰撞并停止运动过程中所造成的碰撞冲击力,如图2所示。
从图2可分析与防坠摆块碰撞冲击力有以下特点:当导轨在重力作用下自然下坠时由于速度过快,触发摆块与防坠摆块来不及在自身重力作用下回到垂直悬挂状态,导轨与触发摆块接触,触发摆块旋转碰撞防坠摆块并带动防坠摆块旋转造成图中第一次受力峰值;而后防坠摆块旋转至挡杆处并卡住导轨与导轨第一次接触碰撞,造成图中第二次冲击力峰值即碰撞接触冲击力最大值约325.5kN;导轨受到碰撞反作用力回弹远离防坠摆块一定距离造成冲击力最大值后短暂归于零;导轨在重力作用下下坠再次与防坠摆块碰撞冲击,形成图中第三次峰值,此时冲击载荷在碰撞过程中因动量损失减小,导轨反弹暂离防坠摆块并再次下坠,冲击载荷逐渐减小直到被防坠摆块卡住停止下坠,防坠摆块最终受稳定荷载约40.9kN。
1.4.2连接副最大冲击力仿真
ADAMS后处理器中可提取整个运动仿真过程中各部件及连接副受到的最大冲击力曲线。由于此旋转副在旋转中心轴处,因此旋转中心轴处受力最大,其受力曲线如图3所示。
从图3可分析与防坠摆块碰撞冲击力有以下特点:由于导轨防坠孔与触发摆块有一定距离,这段下坠时间内中心轴受冲击力为零;触发摆块受到导轨碰撞带动防坠摆块绕旋转中心轴旋转,造成中心轴受力第一次峰值后因导轨暂时还未与防坠摆块接触旋转副处所受冲击力短暂归于零;导轨继续下坠因速度过快与防坠摆块接触碰撞造成防坠摆块与旋转中心轴处的旋转副受到主要冲击力,其旋转副中心在旋转中心轴处,因此中心轴处为主要受力构件,图中第二次峰值即机构所受最大冲击力约521.5kN;接触碰撞反作用力造成导轨回弹暂离防坠摆块,旋转副暂时不受冲击力归于零而后导轨在重力作用下继续下坠仍被防坠摆块卡住,但由于动量损失其重力势能减小,因此接触碰撞力减小;导轨继续因碰撞反力回弹、下坠并被卡住,冲击力逐渐减小直至导轨停止下坠,中心轴最终受稳定荷载约71.3kN。
1.4.3 防坠摆块与挡杆碰撞仿真
防坠装置主要靠导轨的防坠孔在防坠摆块与固定挡杆的作用下卡住使导轨停止下坠,因此挡杆也是主要受力部件,其碰撞冲击力曲线如图4所示。
从图4可分析与防坠摆块碰撞冲击力有以下特点:导轨下落至与触发摆块接触,触发摆块旋转带动防坠摆块旋转至固定在附墙支座上的挡杆,由于导轨下坠速度过快防坠摆块来不及回正配合挡杆将导轨卡住造成图中第一次峰值,即挡杆最大受力值约199.8kN;随着导轨受到碰撞反力向远离重力的方向回弹,防坠摆块也因自身重力自然向重力方向回转,远离挡杆,从而挡杆受力暂时归于零;导轨在重力作用下继续下坠,接触到防坠摆块带动其接触碰撞挡杆并被卡住,造成图中第二次峰值并由于重力势能的减小碰撞冲击力也减小;导轨继续回弹,防坠摆块随之远离挡杆,再次下坠被卡住,挡杆再次受力,直到导轨最终被防坠摆块及挡杆卡住停止下坠,挡杆最终受稳定荷载约30.3kN。
2 优化设计
优化结构时,有些部件的设计参数可以在一定范围内变化,如本文的附着式升降防护平台防坠摆块的形状结构。设计参数的变化对设计目标有一定的影响,如何选择可变参数的值,以便使设计目标能够达到最优,这些问题可以通过参数化设计与优化分析解决[9]。针对防坠摆块的结构,本文选择了防坠摆块几个方向上的尺寸作为设计参数(见图5),对这些参数进行设计研究并分析哪些参数对优化目标影响较大。
本文主要研究该防坠装置的力学特性并通过改变防坠摆块结构达到优化防坠性能的目的,在对防坠装置的冲击过程中,最大冲击力是一个很重要的物理量。若冲击力过大,则可能造成摆块或者导轨断裂,进而失去防坠作用,架体会继续下坠,导致安全事故。因此,本文选择整个防坠支座在整个碰撞过程中所受的最大冲击力作为优化目标。结合《建筑施工用附着式升降作业安全防护平台》JGT546-2019规定,本文选取导轨制动距离不超过80mm作为约束条件。
2.1 优化方法
优化设计之前,根据所需优化目标参数化相关变量并建立模型,这些参数化点可根据设定范围改变大小。参数化点的改变带动模型的变化,因此虚拟样机模型也会自动更新。
在完成在设计变量参数化的基础上ADAMS可以进行优化设计,以设计变量d1,d2,...,dn作为变量,优化目标g与d1,d2,...,dn构成g=G(d1,d2,...,dn)函数关系,设计变量应该要满足一定的约束方程ƒj(d1,d2,...,dn)≤(j=1,2,...,m),优化过程就是在设计变量满足约束方程和取值范围内,使目标设计达到最优、最小或最大。
2.3 优化结果
首先研究本文选取的几个参数变量分别对优化目标的影响度大小,挑选其中敏感度最大的参数以减小仿真时长。由设计研究变量结果可知,设计变量a、b、c三个变量对优化目标影响度较大,因此我们针对这三个变量进行优化。
通过ADAMS多目标函数优化迭代计算,得出优化后的设计变量值分别为51.51mm、122.45mm、36.90mm,优化计算之后防坠摆块的几何形状具体如图6所示。
ADAMS自动更新模型之后验证其模型正确且进行仿真,可得到其各主要受力部件受力曲线图,与优化前相同部件受力曲线对比图如下所示,根据仿真结果对比分析可知,整个机构运动过程所受最大冲击力由521.5kN减小至395.0kN,下降约24.26%;导轨与防坠摆块的冲击力由325.5kN减小至247.1kN,下降了约24.09%;防坠摆块与挡杆的冲击力由199.8kN减小至150.2kN,下降了约24.82%,各主要受力部件所受冲击力均有不同程度的减小,因此可以有效提升防坠结构的安全性能。
3 结论
本文主要对一种铝合金附着式升降防护平台防坠支装置的力学特性进行研究,并利用虚拟样机动力学仿真软件ADAMS多目标函数优化设计功能进行对此结构进行仿真分析并优化。
根据仿真结果可知,在整个制动过程中,防坠结构主要受力部位在防坠摆块、旋转中心轴以及挡杆处,由于导轨坠落与防坠摆块的碰撞冲击直接传递给旋转中心轴并承受冲击载荷,因此中心轴的受力最大,为521.5kN。我们以最不利工况下的最大冲击力为优化目标,以制动距离不超过80mm为约束条件。通过设计研究防坠摆块几个方向上的尺寸对优化目标的影响度,选取影响度最大的几个参数进行优化设计,最终选取了a、b、c三个变量,经过优化设计之后,三个变量分别为51.51mm、122.45mm、36.90mm。优化仿真结果表明,整个机构运动过程最大冲击力由521.5kN减小至395.0kN,整体下降了约24.26%,优化效果明显,能提升防坠安全性能,有效了提升架体安全性。
(第一作者:刘阿晴 福建工程学院机械专业硕士研究生研究方向为数字化设计与分析)
来源:福建省金属协会
工程师必备
- 项目客服
- 培训客服
- 平台客服
TOP




















