CFD|共轭传热
2023年9月4日 11:24共轭传热Conjugate heat transfer
本文介绍了midas NFX CFD共轭传热的计数原理及结合示例了解整个流程
传热分析与线性静力分析的比较
需要研究,对象周围的流体的分布及对周边环境的影响,自然或强制冷却需采取流固耦合分析。
技术原理
均匀物质中的热传递
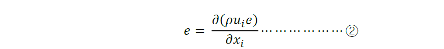
热传递控制方程可以从能量守恒定律中推导出来,即外部供应的能量,以及对流和传导流出的能量量是恒定的。
对流是通过流体的运动传递能量的现象,是强制对流(forced convection)和自然对流(natural convection)。强制对流是指流体的运动是由外部运动量引起的,而自然对流是由温度引起的密度差引起的流动。对流在微小区域的能量变化量如下所示:
可以从上面公式中的传导、对流和输入热能的守恒定律中求出以下一般的热传递控制方程:以下公式中省略了流体粘性引起的能量耗散项,速度𝐮 如果为0,则为固体的热传递方程。
:比热(specific heat at constant volume)
Q ∶ 热源(heat source)
-
固体固体热传递:接触热阻
宏观热阻效应可以通过接触两个物体的温度分布来测量。接触热阻𝑅𝑐银降温Δ𝑇𝑐和通过热流速之比。
通过粗糙接触面的热流速和温度分布
下表列出了常用金属的接触热阻。周围的流体是空气。(“铜[真空]”为真空状态)
上表摘自ENGINEERS EDGE网站
https://www.engineersedge.com/heat_transfer/thermal_contact_conducta nce_13849.htm
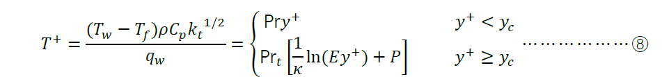
流体-固体热传递:热边界层
热边界层(Thermal boundary layer)发生在特定温度的流体在不同温度的固体表面上流动时。热边界层是指流体温度沿表面垂直方向急剧变化的流动区域。通常从表面到温差(表面流体温度和自由流流体温度差)达到99%。
热边界层可与流动边界层进行比较,其媒介的无维数为普朗特数(Pr;Prandtl number)。普朗特数的定义如下:
:无量纲温度
𝑇𝑤,𝑇𝑓 :壁面/流体温度
𝑞𝑤:壁面热流速
𝑘𝑡 :湍流动能
𝑦+: 无维壁面距离
κ: Karman常数,0.4187
E: 3.793
-
根据相邻边界设置方式的热传递特征
节点合并方式的节点组成和解析温度分布
接触条件–恒定热阻
由于壁面上流体产生的热边界层与常用的计算流体力学中使用的元素大小相比非常薄,因此在不使用相当稠密的元素网的情况下,很难数值求解温度分布。此时,可以使用热边界层模型,它利用壁面流动物理量计算并应用流体和固体之间的热流速作为热壁函数(式⑨)。
即使使用切点合并方法,也可以应用考虑热边界层的热流速,但由于与壁面接触的流体的温度梯度很大,也可能会扭曲流体区域内的温度分布。所以通过改变接触条件,区分壁面处固体温度和流体温度,就像应用接触热阻一样,使用计算出的对流热传递系数(h;heat transfer coefficient)的倒数作为热阻的方法更准确。
接触条件的节点配置和热边界层应用时的解析温度分布
文章来源:midas机械事业部
工程师必备
- 项目客服
- 培训客服
- 平台客服
TOP




















